Todo
Apuntes
Exámenes
Trabajos
chevron_left
chevron_right

He publicado nuevos apuntes de 1º Fundamentos del Periodismo: Periodismo.pdf

71 páginas

Temario completo

42 páginas

He publicado nuevos apuntes de 1º Fundamentos del Periodismo: APUNTES-desde-tema-6-8.pdf

22 páginas

apuntes

-

Fundamentos del Periodismo

Temas completos (se irán subiendo poco a poco).

Tema-1.-Construccion-periodistica-de-la-realidad.pdf
Tema-2.-Reglas-eticas-y-codigos-deontologicos.pdf
Tema-8.-Generos-de-opinion.pdf
Tema-7.-Generos-interpretativos.pdf
Tema-6.-Generos-informativos.pdf
Tema-4.-Las-fuentes.pdf

He publicado nuevos apuntes de 1º Fundamentos del Periodismo: Fundamentos del Periodismo.pdf

28 páginas

He publicado nuevos apuntes de 1º Fundamentos del Periodismo: Diferencias-titulares-generos-con-trucos.pdf

1 página

He publicado nuevos apuntes de 1º Fundamentos del Periodismo: Resumen-noticiabilidad-con-trucos.pdf

1 página

He publicado nuevos apuntes de 1º Fundamentos del Periodismo: Resumen-fuentes-con-trucos.pdf

1 página

Apuntes basados en los ppts e indicaciones de la profesora

1 página

He publicado nuevos apuntes de 1º Fundamentos del Periodismo: ERRORES-FRECUENTES-EN-LOS-MEDIOS-FUNDEU.pdf

16 páginas

Apuntes a partir de los ppt de la asignatura y las indicaciones de la profesor

4 páginas

Temario para el examen según indicaciones de la profesora. Basado en los ppt de la asigantura

4 páginas

Temario para el examen según indicaciones de la profesora. Basado en los ppt de la asigantura

2 páginas

He publicado nuevos apuntes de 1º Fundamentos del Periodismo: Fundamentos-del-Periodismo.pdf

22 páginas

He publicado nuevos apuntes de 1º Fundamentos del Periodismo: fundamentos-del-periodismo-apuntix-1.pdf

7 páginas

He publicado nuevos apuntes de 1º Fundamentos del Periodismo: TEMA-2-fundamentos-del-periodismo.pdf

17 páginas

He publicado nuevos apuntes de 1º Fundamentos del Periodismo: TEMA-8-Generos-de-opinion.pdf

3 páginas

He publicado nuevos apuntes de 1º Fundamentos del Periodismo: Tema-7-Generos-interpretativos.pdf

5 páginas

He publicado nuevos apuntes de 1º Fundamentos del Periodismo: PARTE-2Tema-6-Generos-informativos.pdf

2 páginas

He publicado nuevos apuntes de 1º Fundamentos del Periodismo: PARTE-1-Tema-6-Generos-informativos.pdf

6 páginas

He publicado nuevos apuntes de 1º Fundamentos del Periodismo: Tema-5-La-redaccion-en-los-Mass-Media.pdf

26 páginas

He publicado nuevos apuntes de 1º Fundamentos del Periodismo: Tema-4-Las-Fuentes.pdf

5 páginas

He publicado nuevos apuntes de 1º Fundamentos del Periodismo: Tema-3.pdf

6 páginas

He publicado nuevos apuntes de 1º Fundamentos del Periodismo: Tema-2.pdf

11 páginas
Anónimo

@Anónimo

He publicado nuevos apuntes de 1º Fundamentos del Periodismo: Tema-1.pdf

6 páginas

He publicado nuevos apuntes de 1º Fundamentos del Periodismo: TEMA-0-Preambulo-historico.pdf

4 páginas

apuntes

-

Apuntes completos Fund.Periodismo

He publicado nuevos apuntes de 1º Fundamentos del Periodismo: Apuntes completos Fund.Periodismo

Tema-1.pdf
TEMA-2-3.pdf
TEMA-3-2.pdf
TEMA-4.pdf
Tema-5.pdf
Deontologia.pdf

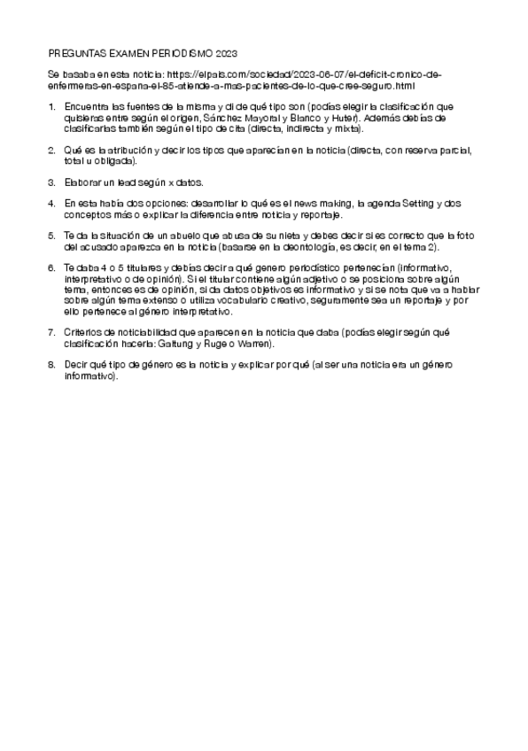
He publicado nuevos examenes de 1º Fundamentos del Periodismo: Preguntas-2024.pdf

1 página

He publicado nuevos examenes de 1º Fundamentos del Periodismo: Tipo-test.pdf

4 páginas

He publicado nuevos examenes de 1º Fundamentos del Periodismo: Test.pdf

5 páginas

He publicado nuevos apuntes de 1º Fundamentos del Periodismo: Tema-1.pdf

6 páginas

He publicado nuevos apuntes de 1º Fundamentos del Periodismo: Tema-5.pdf

9 páginas

He publicado nuevos apuntes de 1º Fundamentos del Periodismo: Tema-4.pdf

5 páginas

He publicado nuevos apuntes de 1º Fundamentos del Periodismo: Tema-2.pdf

12 páginas

He publicado nuevos apuntes de 1º Fundamentos del Periodismo: Tema-3.pdf

4 páginas

He publicado nuevos apuntes de 1º Fundamentos del Periodismo: Bloque-1-Fundamentos-del-Periodismo.pdf

3 páginas

apuntes

-

TEMARIO COMPLETO FUNDAMENTOS DEL PERIODISMO

He publicado nuevos apuntes de 1º Fundamentos del Periodismo: TEMARIO COMPLETO FUNDAMENTOS DEL PERIODISMO

T.2.-Objetividad-y-deotologia.pdf
T.1.-Construccion-periodistica-de-la-realidad.pdf
T.4.-Las-fuentes-informativas.pdf
T.5.-Generos-periodisticos.pdf

apuntes

-

2o cuatrimestre ENTERO (apuntes, examenes y prácticas)

He publicado nuevos apuntes de 1º Fundamentos del Periodismo: 2o cuatrimestre ENTERO (apuntes, examenes y prácticas)

REPORTAJE-FINAL.pdf
DEFINICIONES-DEFINITIVAS.pdf
Tema-3.-Criterios-de-noticiabilidad-y-agenda.pdf
Tema-4.-Las-fuentes-informativas..pdf
Tema-1.-La-Construccion-Periodistica-de-la-Realidad.pdf
Practica-4.-Reportaje.pdf

He publicado nuevos examenes de 1º Fundamentos del Periodismo: EXAMEN-FUNDAMENTOS-DEL-PERIODISMO-JUNIO-2024.pdf

1 página

apuntes

-

Fundamentos periodismo

He publicado nuevos apuntes de 1º Fundamentos del Periodismo: Fundamentos periodismo

T3-FUNDAMENTOS-DEL-PERIODISMO.pdf
TEMA-4-FUENTES-PERIODISTICAS.pdf
TEMA-5-GENEROS-PERIODISTICOS-FUNDAMENTOS-DEL-PERIODISMO.pdf
TEMA-2-FUNDAMENTOS-DEL-PERIODISMO.pdf

apuntes

-

apuntes periodismo

He publicado nuevos apuntes de 1º Fundamentos del Periodismo: apuntes periodismo

TEMA-1.pdf
TEMA-2.pdf
TEMA-3.pdf
TEMA-4.pdf
TEMA-5.pdf

He publicado nuevos apuntes de 1º Fundamentos del Periodismo: FUNDAMENTOS-DEL-PERIODISMO-t5-.pdf

21 páginas

He publicado nuevos apuntes de 1º Fundamentos del Periodismo: FUNDAMENTOS-DEL-PERIODISMO-t4.pdf

12 páginas

He publicado nuevos apuntes de 1º Fundamentos del Periodismo: FUNDAMENTOS-DEL-PERIODISMO-t3.pdf

5 páginas

He publicado nuevos apuntes de 1º Fundamentos del Periodismo: TEMA-2-pt2-deontologia.pdf

5 páginas

He publicado nuevos apuntes de 1º Fundamentos del Periodismo: FUNDAMENTOS-DEL-PERIODISMO-t2-PT1.pdf

4 páginas

He publicado nuevos apuntes de 1º Fundamentos del Periodismo: 2o-CUATRI-Temas-1-al-5.pdf

19 páginas

apuntes

-

Fundamentos del Periodismo 2024

He publicado nuevos apuntes de 1º Fundamentos del Periodismo: Fundamentos del Periodismo 2024

FundamentosDelPeriodismo-Tema1.pdf
FundamentosDelPeriodismo-Tema2.pdf
FundamentosDelPeriodismo-Tema3.pdf
FundamentosDelPeriodismo-Tema4.pdf
FundamentosDelPeriodismo-tema5.pdf

He publicado nuevos apuntes de 1º Fundamentos del Periodismo: REPASO-T2PART-1-PARA-EL-EXAMEN.pdf

1 página

He publicado nuevos apuntes de 1º Fundamentos del Periodismo: REPASO-T1-PARA-EL-EXAMEN.pdf

1 página

He publicado nuevos apuntes de 1º Fundamentos del Periodismo: Tema-2.Objetividad.pdf

6 páginas

He publicado nuevos apuntes de 1º Fundamentos del Periodismo: Tema-3.-Criterios-de-noticiabilidad-y-agenda.pdf

7 páginas

He publicado nuevos apuntes de 1º Fundamentos del Periodismo: TEMA-4.-FUENTES-PERIODISTICAS.pdf

11 páginas

He publicado nuevos apuntes de 1º Fundamentos del Periodismo: TEMA-5.-GENEROS-PERIODISTICOS.pdf

16 páginas

He publicado nuevos apuntes de 1º Fundamentos del Periodismo: TEMA-1.-CONSTRUCCION-PERIODISTICA-DE-LA-REALIDAD.-FUNDAMENTOS-DEL-PERIODISMO.pdf

8 páginas

He publicado nuevos apuntes de 1º Fundamentos del Periodismo: BLOQUE-2-DEONTOLOGIA.pdf

5 páginas

He publicado nuevos apuntes de 1º Fundamentos del Periodismo: Temario-completo-Fundamentos-del-periodismo.pdf

32 páginas

apuntes

-

TEMA 1_ CONSTRUCCIÓN PERIODÍSTICA DE LA REALIDAD

He publicado nuevos apuntes de 1º Fundamentos del Periodismo: TEMA 1_ CONSTRUCCIÓN PERIODÍSTICA DE LA REALIDAD

TEMA-1-CONSTRUCCION-PERIODISTICA-DE-LA-REALIDAD.pdf
TEMA-3-CRITERIOS-DE-NOTICIABILIDAD-Y-AGENDA.pdf
TEMA-4-FUENTES-PERIODISTICAS.pdf

He publicado nuevos apuntes de 1º Fundamentos del Periodismo: Tema-1-y-2-Fundamentos-del-Periodismo.pdf

6 páginas

He publicado nuevos apuntes de 1º Fundamentos del Periodismo: FUNDAMENTOS-DEL-PERIODISMO-Mis-apuntes-Tema-1.pdf

7 páginas