Fundamentos en Matemáticas

chevron_left
chevron_right
Todo
Apuntes
Ejercicios
Exámenes
Prácticas
chevron_left
chevron_right

Apuntes tomados en clase durante la cuarta práctica de FM (ecuaciones diferenciales).

2 páginas
Anónimo

@Anónimo

He publicado nuevos apuntes de 1º Fundamentos en Matemáticas: Glosario-de-ecuaciones-diferenciales.docx

word
Anónimo

@Anónimo

He publicado nuevos apuntes de 1º Fundamentos en Matemáticas: Fundamentos-de-matematica1.docm

Miniatura no disponible

He publicado nuevos ejercicios de 1º Fundamentos en Matemáticas: Ejercicios-Leslie-examenes.pdf

7 páginas

He publicado nuevos apuntes de 1º Fundamentos en Matemáticas: Ejercicio-de-determinantes.pdf

1 página

He publicado nuevos apuntes de 1º Fundamentos en Matemáticas: Ejercicios-series.pdf

11 páginas

He publicado nuevos apuntes de 1º Fundamentos en Matemáticas: Tipos-de-series-numericas-y-criterios-generales.pdf

3 páginas

He publicado nuevos apuntes de 1º Fundamentos en Matemáticas: Teoria-Tema-2-Algebra-lineal.pdf

5 páginas

He publicado nuevos apuntes de 1º Fundamentos en Matemáticas: Teoria-Leslie.pdf

1 página

Apuntes completos de todos los vídeos del aula invertida, explicado paso a paso

8 páginas

Introducción a la matriz de leslie

5 páginas

He publicado nuevos apuntes de 1º Fundamentos en Matemáticas: Matematicas-. Tema 5.pdf

4 páginas

He publicado nuevos apuntes de 1º Fundamentos en Matemáticas: Matematicas- tema 4.pdf

1 página

He publicado nuevos apuntes de 1º Fundamentos en Matemáticas: Matematicas-. Tema 3.pdf

10 páginas

He publicado nuevos apuntes de 1º Fundamentos en Matemáticas: Matematicas-. Tema 2.pdf

22 páginas

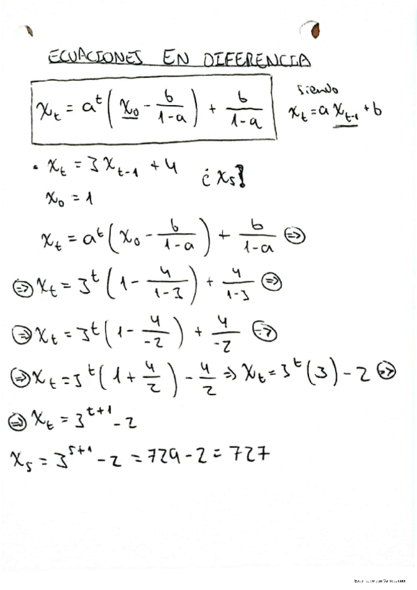
He publicado nuevos apuntes de 1º Fundamentos en Matemáticas: ECUACIONES DIFERENCIALES Y EN DIFERENCIA BV.pdf

4 páginas

He publicado nuevos apuntes de 1º Fundamentos en Matemáticas: SUCECIONES Y SERIES BV.pdf

9 páginas

He publicado nuevos apuntes de 1º Fundamentos en Matemáticas: INDETERMINACIONES BV.pdf

3 páginas

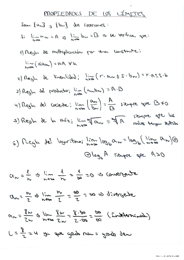
He publicado nuevos apuntes de 1º Fundamentos en Matemáticas: PROPIEDADES: LIMITES, LOGARITMOS Y POTENCIAS.pdf

2 páginas

He publicado nuevos apuntes de 1º Fundamentos en Matemáticas: SISTEMAS DE ECUACIONES LINEALES BV.pdf

8 páginas

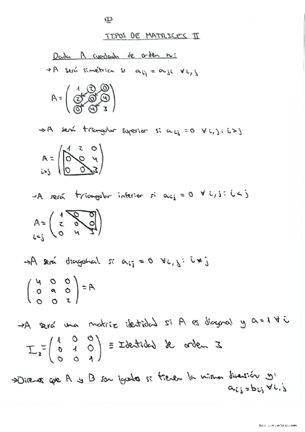
He publicado nuevos apuntes de 1º Fundamentos en Matemáticas: MATRICES BV.pdf

9 páginas

Resumen de los ejercicios importantes de cada tema

2 páginas

Apuntes de todos los temas, incluido los apuntes de todos los vídeos de ecuaciones diferenciales

20 páginas

He publicado nuevos apuntes de 1º Fundamentos en Matemáticas: Tabla-de-derivadas-e-integrales.pdf

2 páginas

He publicado nuevos apuntes de 1º Fundamentos en Matemáticas: tabla-de-derivada.pdf

1 página

He publicado nuevos apuntes de 1º Fundamentos en Matemáticas: integral.pdf

1 página

He publicado nuevos ejercicios de 1º Fundamentos en Matemáticas: Ejercicios-repaso.pdf

8 páginas

He publicado nuevos apuntes de 1º Fundamentos en Matemáticas: Matrices-y-Determinantes.pdf

27 páginas

He publicado nuevos apuntes de 1º Fundamentos en Matemáticas: Sistemas-de-Ecuaciones-Lineales.pdf

21 páginas

He publicado nuevos examenes de 1º Fundamentos en Matemáticas: Examenes-Mates.pdf

8 páginas

apuntes

-

Problemas Exámenes 2021. Bloque 2

He publicado nuevos apuntes de 1º Fundamentos en Matemáticas: Problemas Exámenes 2021. Bloque 2

problema32ene2021.pdf
problema41ene2021.pdf
problema42ene2021.pdf
problema31ene2021.pdf

apuntes

-

Modelos Exámenes 2021. Bloque 1

Primer llamamiento

2-examen.pdf
EneroIEj2.pdf
EneroIEj1.pdf
Leslie-2021-examen.pdf

apuntes

-

Modelos Exámenes Enero 2021. Bloque 1

Segundo llamamiento

EneroIIEj2.pdf
EneroIIEj1.pdf

He publicado nuevos apuntes de 1º Fundamentos en Matemáticas: Esquema-Mates.pdf

11 páginas

apuntes

-

Examen de septiembre 2020 + respuestas

He publicado nuevos apuntes de 1º Fundamentos en Matemáticas: Examen de septiembre 2020 + respuestas

Pregunta3.pdf
3.pdf
Pregunta1.pdf
1.pdf
Pregunta2.pdf
2.pdf

He publicado nuevos apuntes de 1º Fundamentos en Matemáticas: SUCESIONES-Y-SERIES.pdf

12 páginas

He publicado nuevos apuntes de 1º Fundamentos en Matemáticas: ALGEBRA-LINEAL.pdf

16 páginas

ejercicios

-

Tema 5

He publicado nuevos ejercicios de 1º Fundamentos en Matemáticas: Tema 5

Tema 5 - Problemas_15.pdf
Tema 5 - Soluciones_15.pdf
¡Estás al día!

¡Estás al día!

Has visto todos los archivos