Fundamentos filosóficos de la enfermería

chevron_left
chevron_right
Todo
Apuntes
Ejercicios
Exámenes
chevron_left
chevron_right

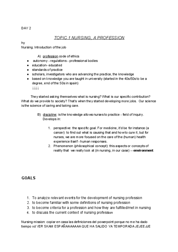
He publicado nuevos apuntes de 1º Fundamentos filosóficos de la enfermería: PHILOSOPHICAL-FUNDAMENTS-OF-NURSING-1.pdf

8 páginas

NOTAS DE CLASE PPTX PHILOSOPHICAL FUNDAMENTALS OF NURSING

15 páginas

Apuntes completos de la asignatura FUNDAMENTOS FILOSÓFICOS DE LA ENFERMERÍA del curso 25/26

31 páginas

He publicado nuevos apuntes de 1º Fundamentos filosóficos de la enfermería: FUNDAMENTOS-24-25.pdf

16 páginas
Anónimo

@Anónimo

He publicado nuevos apuntes de 1º Fundamentos filosóficos de la enfermería: Fundamentos-filosoficos-de-la-enfermeria.pdf

18 páginas

He publicado nuevos ejercicios de 1º Fundamentos filosóficos de la enfermería: Examen-2023.gdoc

Miniatura no disponible

He publicado nuevos examenes de 1º Fundamentos filosóficos de la enfermería: Preguntas-Fundamentos-Filosoficos-de-la-Enfermeria.pdf

2 páginas
Anónimo

@Anónimo

He publicado nuevos apuntes de 1º Fundamentos filosóficos de la enfermería: Copia-de-EXAMEN-DICIEMBRE-2020-SOLS.pdf

4 páginas
Anónimo

@Anónimo

He publicado nuevos apuntes de 1º Fundamentos filosóficos de la enfermería: Copia-de-FUNDAMENTOS-EXAMEN.pdf

9 páginas
Anónimo

@Anónimo

He publicado nuevos apuntes de 1º Fundamentos filosóficos de la enfermería: FdlF-unido.pdf

18 páginas
Anónimo

@Anónimo

He publicado nuevos apuntes de 1º Fundamentos filosóficos de la enfermería: Imp-Fundamentos.pdf

5 páginas

He publicado nuevos apuntes de 1º Fundamentos filosóficos de la enfermería: philosophical-fundaments-in-nursing.pdf

29 páginas
¡Estás al día!

¡Estás al día!

Has visto todos los archivos