chevron_left
chevron_right
Todo
Apuntes
Ejercicios
Exámenes
chevron_left
chevron_right

Examen parcial CE2 25/11/2025

1 página

Examen parcial CE1 30/10/2025

1 página

ejercicios

-

Corriente y Resistencias

He publicado nuevos ejercicios de 1º Fundamentos Físicos de Electromagnetismo: Corriente y Resistencias

Ejercicios-asociacion-resistencias.pdf
Ejercicios-corriente-continua-inicio.pdf

He publicado nuevos apuntes de 1º Fundamentos Físicos de Electromagnetismo: Presentacion-ccALUD.pdf

35 páginas

ejercicios

-

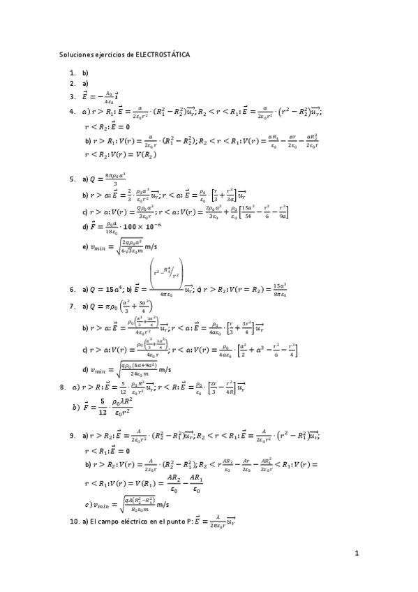
Ejercicios Electrostatica con soluciones

He publicado nuevos ejercicios de 1º Fundamentos Físicos de Electromagnetismo: Ejercicios Electrostatica con soluciones

Soluciones-ejercicios-de-ELECTROSTATICA1.pdf
Ejercicios-de-Electrostatica2.pdf

apuntes

-

Ejemplos Aplicaciones

He publicado nuevos apuntes de 1º Fundamentos Físicos de Electromagnetismo: Ejemplos Aplicaciones

EJEMPLO-APLICACION-DEL-TEOREMA-DE-GAUSSEsfericaDist-NO-uniforme.pdf
EJEMPLO-APLICACION-DEL-TEOREMA-DE-GAUSSCilindricaDist-NO-uniforme.pdf
EJEMPLO-APLICACION-DEL-TEOREMA-DE-GAUSSCilindricaDist-uniforme.pdf
EJEMPLO-APLICACION-DEL-TEOREMA-DE-GAUSSEsfericaDist-uniforme.pdf
¡Estás al día!

¡Estás al día!

Has visto todos los archivos