chevron_left
chevron_right
Todo
Apuntes
Ejercicios
Exámenes
chevron_left
chevron_right

Resumen completo de la asignatura Fundamentos Físicos de Ingeniería I. Contiene todas las fórmulas vistas en cada tema a lo largo del curso.

17 páginas

He publicado nuevos apuntes de 1º FUNDAMENTOS FISICOS DE INGENIERIA I: Temario-y-boletines.pdf

27 páginas

He publicado nuevos examenes de 1º FUNDAMENTOS FISICOS DE INGENIERIA I: Parcial-2.pdf

2 páginas

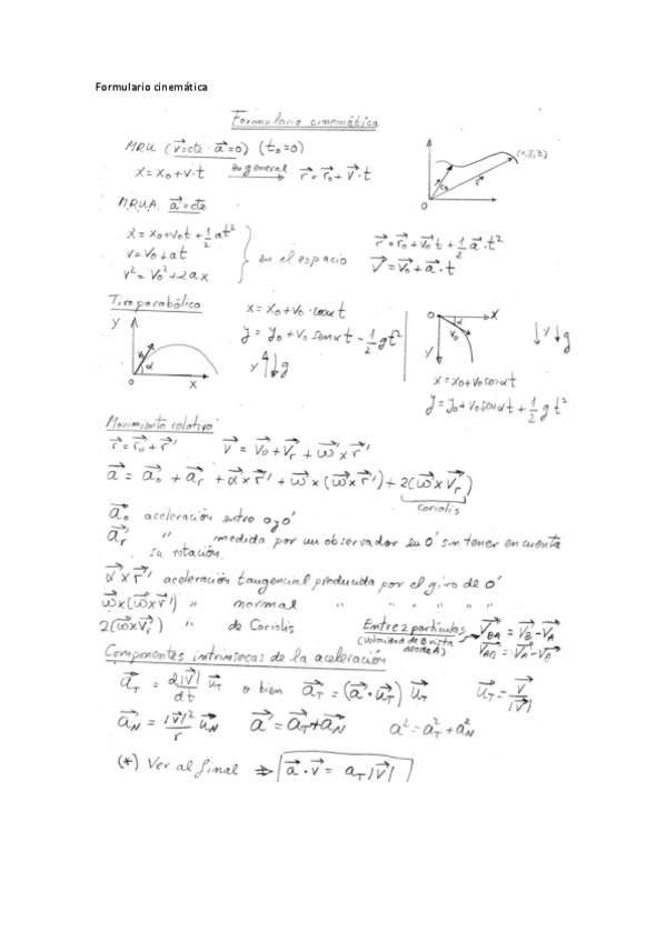
He publicado nuevos apuntes de 1º FUNDAMENTOS FISICOS DE INGENIERIA I: Formulario-t.10-13.pdf

2 páginas

He publicado nuevos examenes de 1º FUNDAMENTOS FISICOS DE INGENIERIA I: Parcial-1.pdf

2 páginas
Anónimo

@Anónimo

BOLETINES + EJERCICIOS DE EXAMENES PARCIALES

83 páginas

Resumen sobre sus apuntes

60 páginas
Anónimo

@Anónimo

He publicado nuevos apuntes de 1º FUNDAMENTOS FISICOS DE INGENIERIA I: mof-ejerc-lapiz-64.pdf

1 página
Anónimo

@Anónimo

He publicado nuevos apuntes de 1º FUNDAMENTOS FISICOS DE INGENIERIA I: mof-ejerc-lapiz-63.pdf

1 página
Anónimo

@Anónimo

He publicado nuevos apuntes de 1º FUNDAMENTOS FISICOS DE INGENIERIA I: mof-ejerc-lapiz-62.pdf

1 página
Anónimo

@Anónimo

He publicado nuevos apuntes de 1º FUNDAMENTOS FISICOS DE INGENIERIA I: mof-ejerc-lapiz-61.pdf

1 página
Anónimo

@Anónimo

He publicado nuevos apuntes de 1º FUNDAMENTOS FISICOS DE INGENIERIA I: mof-ejerc-lapiz-65.pdf

1 página
Anónimo

@Anónimo

He publicado nuevos apuntes de 1º FUNDAMENTOS FISICOS DE INGENIERIA I: mof-ejerc-lapiz-58.pdf

1 página
Anónimo

@Anónimo

He publicado nuevos apuntes de 1º FUNDAMENTOS FISICOS DE INGENIERIA I: mof-ejerc-lapiz-59.pdf

1 página
Anónimo

@Anónimo

He publicado nuevos apuntes de 1º FUNDAMENTOS FISICOS DE INGENIERIA I: mof-ejerc-lapiz-56.pdf

1 página
Anónimo

@Anónimo

He publicado nuevos apuntes de 1º FUNDAMENTOS FISICOS DE INGENIERIA I: mof-ejerc-lapiz-57.pdf

1 página
Anónimo

@Anónimo

He publicado nuevos apuntes de 1º FUNDAMENTOS FISICOS DE INGENIERIA I: mof-ejerc-lapiz-55.pdf

1 página
Anónimo

@Anónimo

He publicado nuevos apuntes de 1º FUNDAMENTOS FISICOS DE INGENIERIA I: mof-ejerc-lapiz-54.pdf

1 página
Anónimo

@Anónimo

He publicado nuevos apuntes de 1º FUNDAMENTOS FISICOS DE INGENIERIA I: mof-ejerc-lapiz-53.pdf

1 página
Anónimo

@Anónimo

He publicado nuevos apuntes de 1º FUNDAMENTOS FISICOS DE INGENIERIA I: mof-ejerc-lapiz-52.pdf

1 página
Anónimo

@Anónimo

He publicado nuevos apuntes de 1º FUNDAMENTOS FISICOS DE INGENIERIA I: mof-ejerc-lapiz-51.pdf

1 página
Anónimo

@Anónimo

He publicado nuevos apuntes de 1º FUNDAMENTOS FISICOS DE INGENIERIA I: mof-ejerc-lapiz-60.pdf

1 página
Anónimo

@Anónimo

He publicado nuevos apuntes de 1º FUNDAMENTOS FISICOS DE INGENIERIA I: mof-ejerc-lapiz-49.pdf

1 página
Anónimo

@Anónimo

He publicado nuevos apuntes de 1º FUNDAMENTOS FISICOS DE INGENIERIA I: mof-ejerc-lapiz-48.pdf

1 página
Anónimo

@Anónimo

He publicado nuevos apuntes de 1º FUNDAMENTOS FISICOS DE INGENIERIA I: mof-ejerc-lapiz-47.pdf

1 página
Anónimo

@Anónimo

He publicado nuevos apuntes de 1º FUNDAMENTOS FISICOS DE INGENIERIA I: mof-ejerc-lapiz-46.pdf

1 página
Anónimo

@Anónimo

He publicado nuevos apuntes de 1º FUNDAMENTOS FISICOS DE INGENIERIA I: mof-ejerc-lapiz-45.pdf

1 página
Anónimo

@Anónimo

He publicado nuevos apuntes de 1º FUNDAMENTOS FISICOS DE INGENIERIA I: mof-ejerc-lapiz-44.pdf

1 página
Anónimo

@Anónimo

He publicado nuevos apuntes de 1º FUNDAMENTOS FISICOS DE INGENIERIA I: mof-ejerc-lapiz-43.pdf

1 página
Anónimo

@Anónimo

He publicado nuevos apuntes de 1º FUNDAMENTOS FISICOS DE INGENIERIA I: mof-ejerc-lapiz-42.pdf

1 página
Anónimo

@Anónimo

He publicado nuevos apuntes de 1º FUNDAMENTOS FISICOS DE INGENIERIA I: mof-ejerc-lapiz-41.pdf

1 página
Anónimo

@Anónimo

He publicado nuevos apuntes de 1º FUNDAMENTOS FISICOS DE INGENIERIA I: mof-ejerc-lapiz-50.pdf

1 página

apuntes

-

TEORIA

He publicado nuevos apuntes de 1º FUNDAMENTOS FISICOS DE INGENIERIA I: TEORIA

TEMA1.pdf
TEMA5.pdf
TEMA3.pdf
TEMA7.pdf
TEMA2.pdf
TEMA0.pdf

apuntes

-

Ejercicios de examen

He publicado nuevos apuntes de 1º FUNDAMENTOS FISICOS DE INGENIERIA I: Ejercicios de examen

examen-5.pdf
examen-9.pdf
examen-6.pdf
examen-2.pdf
Examen-1.pdf
examen-4.pdf

apuntes

-

Ejercicios

He publicado nuevos apuntes de 1º FUNDAMENTOS FISICOS DE INGENIERIA I: Ejercicios

Ejercicios-de-Repaso.pdf
Repaso-1.pdf
ejercicios-propuestos.pdf
Ejercicios-de-examenes-de-anos-anteriores-Pagina-1.pdf
Ejercicios-de-dinamica-de-rotacion.pdf
Ejercicios-clase-3.pdf

apuntes

-

Ejercicios y formulario

He publicado nuevos apuntes de 1º FUNDAMENTOS FISICOS DE INGENIERIA I: Ejercicios y formulario

Fomulario.pdf
formulario-cinematica-con-apuntes.pdf
Ejercicios-Fisica-I-07-06-2021-09.pdf

apuntes

-

Ejercicios y formulario de Física I

He publicado nuevos apuntes de 1º FUNDAMENTOS FISICOS DE INGENIERIA I: Ejercicios y formulario de Física I

Formulario-cinematica.pdf
Clase-3.pdf
Clase-2.pdf
Clase-4.pdf
Clase-6.pdf
Clase-5.pdf

apuntes

-

EJERCICIOS ULTRA MEGA IMPORTANTES

He publicado nuevos apuntes de 1º FUNDAMENTOS FISICOS DE INGENIERIA I: EJERCICIOS ULTRA MEGA IMPORTANTES

Tema-2-Cinematica-de-la-particula.pdf
Tema-4-Leyes-de-conservacion.pdf
Tema-5-Dinamica-del-solido-rigido.pdf
Tema-3-Dinamica.pdf

apuntes

-

CUESTIONES TEMA 4-5

He publicado nuevos apuntes de 1º FUNDAMENTOS FISICOS DE INGENIERIA I: CUESTIONES TEMA 4-5

Cuestiones-Tema-4.pdf
Cuestiones-Tema-5.pdf
Anónimo

@Anónimo

He publicado nuevos apuntes de 1º FUNDAMENTOS FISICOS DE INGENIERIA I: Tratamiento-de-errores.pdf

11 páginas

He publicado nuevos ejercicios de 1º FUNDAMENTOS FISICOS DE INGENIERIA I: TEMA 6. OSCILACIONES.pdf

18 páginas

He publicado nuevos ejercicios de 1º FUNDAMENTOS FISICOS DE INGENIERIA I: Cuestiones Tema 2.pdf

3 páginas

He publicado nuevos ejercicios de 1º FUNDAMENTOS FISICOS DE INGENIERIA I: Cuestiones Tema 5.pdf

2 páginas

He publicado nuevos ejercicios de 1º FUNDAMENTOS FISICOS DE INGENIERIA I: TEMA 3. DINAMICA. LEYES DE NEWTON..pdf

3 páginas

He publicado nuevos ejercicios de 1º FUNDAMENTOS FISICOS DE INGENIERIA I: Cuestiones Tema 3.pdf

2 páginas

He publicado nuevos ejercicios de 1º FUNDAMENTOS FISICOS DE INGENIERIA I: Cuestiones Tema 4.pdf

2 páginas

He publicado nuevos ejercicios de 1º FUNDAMENTOS FISICOS DE INGENIERIA I: TEMA 4. LEYES DE CONSERVACION.pdf

2 páginas

He publicado nuevos ejercicios de 1º FUNDAMENTOS FISICOS DE INGENIERIA I: TEMA 5. SISTEMAS DE PARTICULAS.pdf

2 páginas

He publicado nuevos ejercicios de 1º FUNDAMENTOS FISICOS DE INGENIERIA I: TEMA 2. CINEMATICA DEL PUNTO.pdf

2 páginas

He publicado nuevos ejercicios de 1º FUNDAMENTOS FISICOS DE INGENIERIA I: Cuestiones Tema 6.pdf

2 páginas

He publicado nuevos ejercicios de 1º FUNDAMENTOS FISICOS DE INGENIERIA I: Tema 1 Introducción.pdf

14 páginas
¡Estás al día!

¡Estás al día!

Has visto todos los archivos