chevron_left
chevron_right
Todo
Apuntes
Ejercicios
Exámenes
Otros
Prácticas
Test
Trabajos
chevron_left
chevron_right

apuntes

-

Apuntes últimos temas FFI

Resúmenes de los últimos temas de FFI

TEMA-10.pdf
TEMA-7.pdf
TEMA-8.pdf
TEMA-9.pdf
TEMA-6.pdf

apuntes

-

Fundamentos Físicos de la Informática 1º

He publicado nuevos apuntes de 1º Fundamentos Físicos de la Informática: Fundamentos Físicos de la Informática 1º

Tema-1-Carga-electrica.pdf
Tema-2-Potencial-electrico.pdf
Formulario-Carga-Electrica.pdf
Formulario-Potencial-electrico.pdf
Formulario-Campo-electrostatico.pdf
Formulario-Capacidad-electrica-y-condensadores.pdf

apuntes

-

APUNTES RESUMEN EXAMEN PRÁCTICAS LAB FFI 2025/2026

Apuntes resumen de todas las prácticas realizadas este cuatrimestre, con fórmulas, fotos, guías, gráficas y todo lo necesario para preparar el examen.

PRACTICA-7.pdf
PRACTICA-8.pdf
PRACICA-0-Y-1.pdf
PRACTICA-2.pdf
PRACTICA-4.pdf
PRACTICA-3.pdf

He publicado nuevos apuntes de 1º Fundamentos Físicos de la Informática: RESUMEN-1er-y-2o-parcial.pdf

12 páginas

Apuntes UT4 de Fundamentos Físicos de la Informática

4 páginas

Apuntes UT3 de Fundamentos Físicos de la Informática

6 páginas
Anónimo

@Anónimo

apuntes

-

Fundamentos Físicos de la Informática T1, T2 y T3

Electroestática, propiedades de los conductores y dieléctricos (Condensadores), y Corriente Continua.

T3-Corriente-Continua.pdf
T1-Electroestatica.pdf
T2-Conductores-y-Dielectricos-Condensadores.pdf

Parcial 1 completo con actividades paso a paso y bastante completo

52 páginas

Fundamentos Físicos de la Informática Guía docente 2025-2026

4 páginas

apuntes

-

Midterm 2 FFI English

Apuntes para el Segundo Parcial de FFI en Inglés: temas 5, 6, 7 y 9. (Incompleto porque en mi año no entró todo)

5-Networks-Analysis.pdf
6-Magnetic-Forces.pdf
7-Sources-Of-Magnetic-Field.pdf
9-Electromagnetic-Induction.pdf

apuntes

-

Midterm 1 FFI English

Apuntes del Primer Parcial en Inglés: temas 1, 2, 3 y 4.

1-Electroctastics-Of-Point-Charges.pdf
2-Electrostatic-Properties-Of-Conductors-And-Dielectrics.pdf
3-Direct-Current-And-Electric-Resistance.pdf
4-Direct-Current-Energy-And-Power.pdf

Resumen de cada práctica de FFI para el examen

3 páginas

He publicado nuevos apuntes de 1º Fundamentos Físicos de la Informática: Formulas-temas-1-2-3-4.pdf

1 página

He publicado nuevos apuntes de 1º Fundamentos Físicos de la Informática: Resumen-tema-9.pdf

1 página

He publicado nuevos apuntes de 1º Fundamentos Físicos de la Informática: Resumen-tema-7.pdf

1 página

He publicado nuevos apuntes de 1º Fundamentos Físicos de la Informática: Resumen-tema-6.pdf

1 página

He publicado nuevos apuntes de 1º Fundamentos Físicos de la Informática: Resumen-tema-5.pdf

1 página

He publicado nuevos apuntes de 1º Fundamentos Físicos de la Informática: Resumen-tema-4.pdf

1 página

He publicado nuevos apuntes de 1º Fundamentos Físicos de la Informática: Resumen-tema-3.pdf

1 página

He publicado nuevos apuntes de 1º Fundamentos Físicos de la Informática: Resumen-tema-2.pdf

2 páginas

He publicado nuevos apuntes de 1º Fundamentos Físicos de la Informática: Resumen-tema-1.pdf

2 páginas

Apuntes y ejercicios de ambos parciales de Fundamentos Físicos de la Informática (UPV)

26 páginas

He publicado nuevos apuntes de 1º Fundamentos Físicos de la Informática: PRACTICA-No3-FISICA.pdf

4 páginas

He publicado nuevos apuntes de 1º Fundamentos Físicos de la Informática: PRACTICA-No1-FISICA.pdf

1 página

He publicado nuevos apuntes de 1º Fundamentos Físicos de la Informática: FISICA-PARCIAL-2-TEORIA--EJERCICIOS.pdf

20 páginas

apuntes

-

Parcial 2 FFI

Temas 5-7 y 9

Tema5.pdf
Tema6.pdf

apuntes

-

Parcial 1 FFI

Temas 1-4.

Parcial-1.pdf
Tema4.pdf
Tema3.pdf
Tema2.pdf
Tema1.pdf

apuntes

-

Fundamentos Físicos de la Informática

Formularios y Esquemas

MacroResumenPrimerParcial.pdf
MacroResumenSegundoParcial.pdf
Esquema-Circuitos.pdf

Apuntes del primer y segundo parcial de física

80 páginas
Anónimo

@Anónimo

test

-

TestPoliformaT

He publicado nuevos test de 1º Fundamentos Físicos de la Informática: TestPoliformaT

Test1Electrocstatics.01.pdf
Test1Electrocstatics.02.pdf
Test1Electrocstatics.03.pdf
Test2Conductors-and-Capacitors.01.pdf
Test2Conductors-and-Capacitors.02.pdf
Test2Conductors-and-Capacitors.03.pdf

Señores y señoritas, tenemos ya un resumen express explicando lo que entra del tema 9. Mirad a ver si os convence

7 páginas

Os traigo la explicación de las unidades 6 y 7 de física. La 5 ya la teníais por ahí y la 9 no me da tiempo por ahora.

13 páginas

He publicado nuevos practicas de 1º Fundamentos Físicos de la Informática: FFI-apuntes-practicas.pdf

6 páginas

Fórmulas FFI

3 páginas

He publicado nuevos examenes de 1º Fundamentos Físicos de la Informática: Test5.Magnetismo-Induccion-flujo.pdf

6 páginas

He publicado nuevos examenes de 1º Fundamentos Físicos de la Informática: TestMagnetismoETSINF.docx

word
Anónimo

@Anónimo

He publicado nuevos apuntes de 1º Fundamentos Físicos de la Informática: Tema-7-Magnetismo.pdf

3 páginas
Anónimo

@Anónimo

He publicado nuevos apuntes de 1º Fundamentos Físicos de la Informática: Tema5Kirchhoff.pdf

2 páginas
Anónimo

@Anónimo

He publicado nuevos apuntes de 1º Fundamentos Físicos de la Informática: Tema-6-Electromagnetismo.pdf

2 páginas

definiciones más relevantes y a tener en cuenta del tema 1 al 4

3 páginas

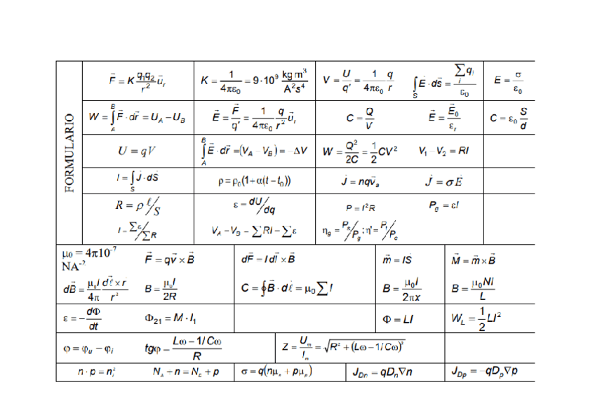
He publicado nuevos apuntes de 1º Fundamentos Físicos de la Informática: FORMULARIO-FFI.pdf

1 página

DIODOS EJERCICIOS EXAMEN Desde 2013 hasta 2023

5 páginas

CORRIENTE ALTERNA EJERCICIOS EXAMEN Desde 2013 hasta 2023

6 páginas

Desde 2010 hasta 2023

5 páginas

TODA la electrostática y electricidad en 34 páginas. Tenéis absolutamente TODA las fórmulas, junto con una explicación amena, fácil y lo más breve que he podido.

34 páginas

Caballeros, ya podéis disfrutar de una explicación amena, entretenida y fácil de entender de los temas 1 y 2. Tenéis fórmulas explicadas, teoremas, leyes y fenómenos detallados para petarlo en el examen. Los siguientes temas los iré subiendo si puedo.

18 páginas

test

-

Test 345 Corriente contínua y circuitos (Safe Exam Browser)

Todas las respuestas con correctas

Pregunta1.jpg
Pregunta2.jpg
Pregunta3.jpg
Pregunta4.jpg
Pregunta5.jpg
Pregunta6.jpg
Anónimo

@Anónimo

Formulario completo para el parcial, con deducciones

9 páginas

He publicado nuevos practicas de 1º Fundamentos Físicos de la Informática: Practica4FFICondensadores.pdf

2 páginas

He publicado nuevos examenes de 1º Fundamentos Físicos de la Informática: RECOPILATORIO-EJERCICIOS-EXAMEN-PRIMER-PARCIAL-EXAMENES-2011-2023.pdf

16 páginas

He publicado nuevos apuntes de 1º Fundamentos Físicos de la Informática: Apuntes-FFI.pdf

15 páginas
Anónimo

@Anónimo

test

-

Tests FFI poliformat

He publicado nuevos test de 1º Fundamentos Físicos de la Informática: Tests FFI poliformat

111.-Test-1-Electrostatics-2.pdf
111.-Test-1-Electrostatics-1.pdf
111.-Test-2-Conductors-and-Capacitors-2.pdf
111.-Test-10-Alternating-current-3.pdf
111.-Test-10-Alternating-current-2.pdf
111.-Test-10-Alternating-current-1.pdf

He publicado nuevos apuntes de 1º Fundamentos Físicos de la Informática: resumen-teoria-1er-parcial.pdf

3 páginas
Anónimo

@Anónimo

He publicado nuevos apuntes de 1º Fundamentos Físicos de la Informática: ejercicioscondensadordeexamen.pdf

9 páginas

He publicado nuevos apuntes de 1º Fundamentos Físicos de la Informática: tema-10-alternating-current.pdf

2 páginas

He publicado nuevos apuntes de 1º Fundamentos Físicos de la Informática: tema-9-electromagnetic-induction.pdf

2 páginas

He publicado nuevos apuntes de 1º Fundamentos Físicos de la Informática: tema-7-sources-of-magnetic-field.pdf

2 páginas

He publicado nuevos apuntes de 1º Fundamentos Físicos de la Informática: tema-6-magnetic-forces.pdf

2 páginas

He publicado nuevos apuntes de 1º Fundamentos Físicos de la Informática: tema-5-networks-analysis.pdf

2 páginas

He publicado nuevos apuntes de 1º Fundamentos Físicos de la Informática: tema-4-direct-current-circuits-energy-and-power.pdf

2 páginas