Fundamentos Físicos de la Ingeniería
Examen final 15-01-2026 Parte 2 (Temas 6, 7, 8, 10) segunda convocatoria
Examen final 15-01-2026 Parte 1 (Temas 2, 3, 4, 5)
INICIO DE CURSO FUNDAMENTOS FÍSICOS DE LA INGENIERÍA Resumen de cada tema. Resolución de ejercicios y exámenes de convocatorias anteriores. Clases grabadas hasta el día del examen. Profesor a tu disposición en cualquier momento para dudas. INFÓRMATE SIN COMPROMISO Y DA UNA CLASE DE PRUEBA EN GRUPO.

ejercicios
-
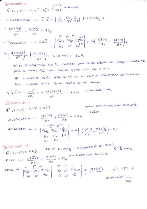
RELACIONES
He publicado nuevos ejercicios de 1º Fundamentos Físicos de la Ingeniería: RELACIONES
ejercicios
-
PRÁCTICAS
Prácticas resueltas
He publicado nuevos ejercicios de 1º Fundamentos Físicos de la Ingeniería: Fisica-II-Ejercicios-resueltos-Tema-3.pdf
apuntes
-
RESUMEN MECANICA
He publicado nuevos apuntes de 1º Fundamentos Físicos de la Ingeniería: RESUMEN MECANICA
apuntes
-
RESUMEN ELECTROMAGNETISMO
He publicado nuevos apuntes de 1º Fundamentos Físicos de la Ingeniería: RESUMEN ELECTROMAGNETISMO
examenes
-
EXAMENES RESUELTOS
He publicado nuevos examenes de 1º Fundamentos Físicos de la Ingeniería: EXAMENES RESUELTOS
Fundamentos físicos de la Ingeniería 1. Examen final 10-12-2025
Fundamentos físicos de la Ingeniería 1. Examen final 10-12-2025
He publicado nuevos apuntes de 1º Fundamentos Físicos de la Ingeniería: Fsicia-I-Resumen-Vectores.pdf
He publicado nuevos apuntes de 1º Fundamentos Físicos de la Ingeniería: Resumen-Tema-7-Elastica.pdf
He publicado nuevos apuntes de 1º Fundamentos Físicos de la Ingeniería: Fisica-I-Tema-7-Elasticidad.pdf
He publicado nuevos apuntes de 1º Fundamentos Físicos de la Ingeniería: Fisica-I-Apuntes-T2-Cinematica.pdf
He publicado nuevos apuntes de 1º Fundamentos Físicos de la Ingeniería: Fisica-I-Tema -1-Magnitudes-Fisicas-.pdf
He publicado nuevos apuntes de 1º Fundamentos Físicos de la Ingeniería: Resumen-Física-1-Tema-2-Cinemática.pdf
He publicado nuevos apuntes de 1º Fundamentos Físicos de la Ingeniería: Resumen-Fisica -I-Tema-3- Estática.pdf
He publicado nuevos apuntes de 1º Fundamentos Físicos de la Ingeniería: Fisica-I-Tema-3-Estática.pdf
GIE Fisika urtarrileko azterketa 2024-25. Irakaslearen ebazpena.
He publicado nuevos examenes de 1º Fundamentos Físicos de la Ingeniería: Examen-Convocatoria-Magnetismo-2025-SEGUNDO-CUATRI.jpeg
examenes
-
Examen Convocatoria FLUIDOS 2025 - SEGUNDO CUATRI
He publicado nuevos examenes de 1º Fundamentos Físicos de la Ingeniería: Examen Convocatoria FLUIDOS 2025 - SEGUNDO CUATRI
examenes
-
Examen extraordinaria Julio 2025 PRIMER CUATRI
Examen extraordinaria Julio 2025
apuntes
-
RESUMEN MECANICA
He publicado nuevos apuntes de 1º Fundamentos Físicos de la Ingeniería: RESUMEN MECANICA
apuntes
-
RESUMEN ELECTROMAGNETISMO
He publicado nuevos apuntes de 1º Fundamentos Físicos de la Ingeniería: RESUMEN ELECTROMAGNETISMO
examenes
-
EXAMENES RESUELTOS
He publicado nuevos examenes de 1º Fundamentos Físicos de la Ingeniería: EXAMENES RESUELTOS
apuntes
-
TEMAS RESUMIDOS FISICA
He publicado nuevos apuntes de 1º Fundamentos Físicos de la Ingeniería: TEMAS RESUMIDOS FISICA
examenes
-
EXAMENES RECOPILACION
He publicado nuevos examenes de 1º Fundamentos Físicos de la Ingeniería: EXAMENES RECOPILACION
He publicado nuevos apuntes de 1º Fundamentos Físicos de la Ingeniería: R-1Campo-y-potencial-elE9ctricos-ejercicios.pdf
He publicado nuevos practicas de 1º Fundamentos Físicos de la Ingeniería: CORRIENTE-ALTERNA.pdf
He publicado nuevos practicas de 1º Fundamentos Físicos de la Ingeniería: CIRCUITOS-CORRIENTE-CONTINUA.pdf
He publicado nuevos practicas de 1º Fundamentos Físicos de la Ingeniería: ARQUIMEDES-Y-RESISTENCIAS.pdf
practicas
-
Esfuerzo-deformación
He publicado nuevos practicas de 1º Fundamentos Físicos de la Ingeniería: Esfuerzo-deformación
He publicado nuevos practicas de 1º Fundamentos Físicos de la Ingeniería: Calculo-de-errores.pdf
He publicado nuevos practicas de 1º Fundamentos Físicos de la Ingeniería: InformeAceleracionSolidoRigidoPractica4G1.3.pdf
He publicado nuevos practicas de 1º Fundamentos Físicos de la Ingeniería: Informe-Carga-de-un-condensador-2.3..pdf
He publicado nuevos apuntes de 1º Fundamentos Físicos de la Ingeniería: ONDAS-informe.pdf
He publicado nuevos trabajos de 1º Fundamentos Físicos de la Ingeniería: INVESTIGATION-3-ACCELERATION-OF-GRAVITY.pdf
He publicado nuevos trabajos de 1º Fundamentos Físicos de la Ingeniería: INVESTIGATION-2-ELASTIC-FORCE.pdf
He publicado nuevos trabajos de 1º Fundamentos Físicos de la Ingeniería: INVESTIGATION-1-IDEAL-GASES-1.pdf
ejercicios
-
FÍSICA: guía de ejercicios resueltos
He publicado nuevos ejercicios de 1º Fundamentos Físicos de la Ingeniería: FÍSICA: guía de ejercicios resueltos
He publicado nuevos apuntes de 1º Fundamentos Físicos de la Ingeniería: Tema-6-fuerza-y-campo-magnetico.pdf
He publicado nuevos apuntes de 1º Fundamentos Físicos de la Ingeniería: Primer parcial tardes 2025.pdf
ejercicios
-
EJERCICIOS RESUELTOS + EXPLICACIÓN
Aunque no salga preview, cargan los PDFs. Estoy metiendo el turbo para sacar las relaciones adelante.
apuntes
-
APUNTES RESUMIDOS
He corregido unas cuantas erratas.
He publicado nuevos examenes de 1º Fundamentos Físicos de la Ingeniería: Ordinaria-2025ffi.pdf
apuntes
-
TEMA 2
He publicado nuevos apuntes de 1º Fundamentos Físicos de la Ingeniería: TEMA 2
apuntes
-
TEMA 1
He publicado nuevos apuntes de 1º Fundamentos Físicos de la Ingeniería: TEMA 1
apuntes
-
Formulario Física
He publicado nuevos apuntes de 1º Fundamentos Físicos de la Ingeniería: Formulario Física
examenes
-
controles FÍSICA resueltos
He publicado nuevos examenes de 1º Fundamentos Físicos de la Ingeniería: controles FÍSICA resueltos
He publicado nuevos practicas de 1º Fundamentos Físicos de la Ingeniería: Trabajo-previo-P4.pdf
He publicado nuevos practicas de 1º Fundamentos Físicos de la Ingeniería: Trabajo-previo-P2.pdf
He publicado nuevos practicas de 1º Fundamentos Físicos de la Ingeniería: Trabajo-previo-P3.pdf
He publicado nuevos practicas de 1º Fundamentos Físicos de la Ingeniería: Trabajo-previo-P1.pdf
He publicado nuevos examenes de 1º Fundamentos Físicos de la Ingeniería: Parcial-1-2025.pdf