Todo
Apuntes
Ejercicios
Exámenes
Prácticas
chevron_left
chevron_right

He publicado nuevos apuntes de 1º Fundamentos Físicos y Tecnológicos: Tema-2.-Corriente-continua.pdf

4 páginas

He publicado nuevos apuntes de 1º Fundamentos Físicos y Tecnológicos: Herramientas-matematicas.pdf

2 páginas

He publicado nuevos apuntes de 1º Fundamentos Físicos y Tecnológicos: Electronica-digital.pdf

3 páginas

He publicado nuevos apuntes de 1º Fundamentos Físicos y Tecnológicos: Campo-electrico-y-magnetico.pdf

1 página

He publicado nuevos apuntes de 1º Fundamentos Físicos y Tecnológicos: Dispositivos-semiconductores.pdf

2 páginas
Anónimo

@Anónimo

Informe de la práctica 3 (estudio de un circuito RC, filtro paso-baja). En general está bastante bien, pero no he comprobado que se haya realizado un correcto tratamiento de errores (no se ha exigido)

14 páginas
Anónimo

@Anónimo

He publicado nuevos apuntes de 1º Fundamentos Físicos y Tecnológicos: TEORIA-DIAGRMAS-DE-BODE.pdf

10 páginas
Anónimo

@Anónimo

He publicado nuevos apuntes de 1º Fundamentos Físicos y Tecnológicos: TEORIA-CMOS.pdf

3 páginas
Anónimo

@Anónimo

He publicado nuevos apuntes de 1º Fundamentos Físicos y Tecnológicos: TEORIA-MOSFETS.pdf

6 páginas
Anónimo

@Anónimo

FORMULAS Y RESUMEN TODOS LOS TEMAS

24 páginas
Anónimo

@Anónimo

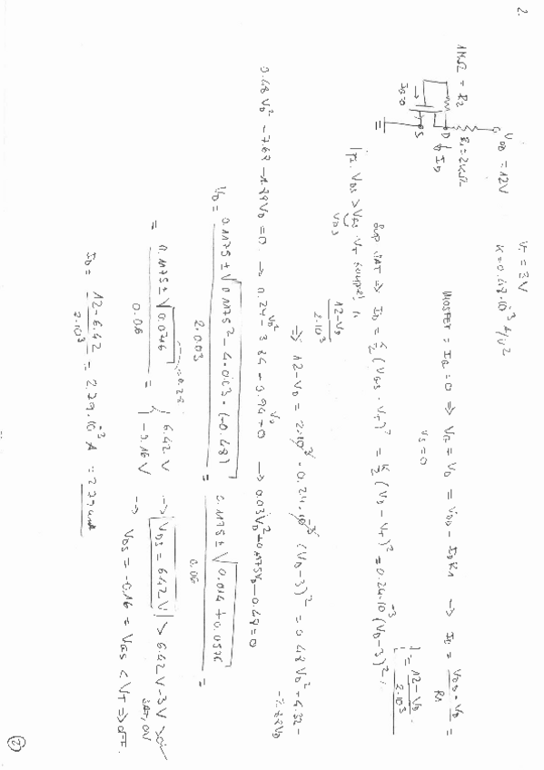
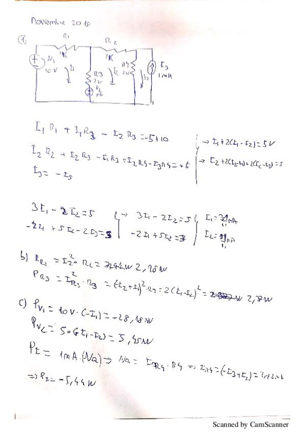
Examen de Enero 2018. Puede haber errores, aunque el 5 y 6 han sido resueltos casi al completo en clase. La imagen adjuntada es el diagrama de Bode (argumento). Hay una errata en el ejercicio 7. Me da I3 = 20 mA y Vo = -17 V

15 páginas
Anónimo

@Anónimo

He publicado nuevos examenes de 1º Fundamentos Físicos y Tecnológicos: Diagrama-Bode-Argumento.png

Imagen
Anónimo

@Anónimo

He publicado nuevos examenes de 1º Fundamentos Físicos y Tecnológicos: ENE-2018-Ejercicio-5.pdf

3 páginas
Anónimo

@Anónimo

He publicado nuevos examenes de 1º Fundamentos Físicos y Tecnológicos: ENE-2018-Ejercicio-4.pdf

3 páginas
Anónimo

@Anónimo

El ejercicio pedía enunciar la Ley de Lenz-Faraday y usarla para explicar el comportamiento de una bobina en corriente continua y en corriente alterna. El dibujo puede ser confuso

2 páginas
Anónimo

@Anónimo

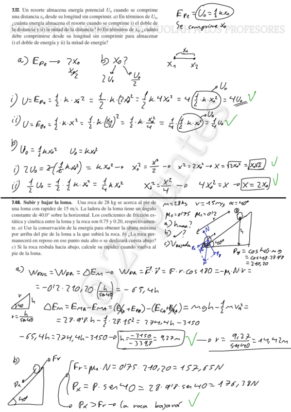
Los ejercicios los he hecho yo (en algunos casos con ayuda de ChatGPT), por lo que puede haber bastantes errores, especialmente en los últimos ejercicios

18 páginas
Anónimo

@Anónimo

En cada epígrafe del documento hay una parte para la práctica 4 (diodos) y otra para la práctica 5 (transistor MOSFET)

21 páginas

apuntes

-

Repaso

He publicado nuevos apuntes de 1º Fundamentos Físicos y Tecnológicos: Repaso

Resumen-teoria.pdf
Resumen-teoria.pdf
Maraton-de-ejercicios-de-examenes.pdf
Maraton-de-ejercicios-de-examenes.pdf
Examenes-finales.pdf
Examenes-finales.pdf

ejercicios

-

Problemas

He publicado nuevos ejercicios de 1º Fundamentos Físicos y Tecnológicos: Problemas

Tema-5.pdf
Tema-5.pdf
Tema-6.pdf
Tema-6.pdf

apuntes

-

Resúmenes

He publicado nuevos apuntes de 1º Fundamentos Físicos y Tecnológicos: Resúmenes

Tema-5.pdf
Tema-5.pdf
Tema-6.pdf
Tema-6.pdf
Anónimo

@Anónimo

examenes

-

EXAMENES TODOS

He publicado nuevos examenes de 1º Fundamentos Físicos y Tecnológicos: EXAMENES TODOS

examfeb2013.pdf
examfeb2013.pdf

He publicado nuevos examenes de 1º Fundamentos Físicos y Tecnológicos: EXAMEN-TEMA-1.pdf

2 páginas
Anónimo

@Anónimo

He publicado nuevos examenes de 1º Fundamentos Físicos y Tecnológicos: Prueba-TEMA-1-RESUELTA.pdf

2 páginas

practicas

-

Prácticas FFT

He publicado nuevos practicas de 1º Fundamentos Físicos y Tecnológicos: Prácticas FFT

memoria-practica4-FFT.pdf
memoria-practica4-FFT.pdf
memoria-practica3-FFT.pdf
memoria-practica3-FFT.pdf

ejercicios

-

Ejercicios FFT

He publicado nuevos ejercicios de 1º Fundamentos Físicos y Tecnológicos: Ejercicios FFT

ejercicios-relacion6-FFT.pdf
ejercicios-relacion6-FFT.pdf
ejercicios-diagramasbode-FFT.pdf
ejercicios-diagramasbode-FFT.pdf
ejercicios-numeroscomplejos-FFT.pdf
ejercicios-numeroscomplejos-FFT.pdf

He publicado nuevos examenes de 1º Fundamentos Físicos y Tecnológicos: examfeb2011resuelto.pdf

14 páginas

He publicado nuevos examenes de 1º Fundamentos Físicos y Tecnológicos: examfeb2011.pdf

2 páginas

He publicado nuevos examenes de 1º Fundamentos Físicos y Tecnológicos: Correccionexamen12feb.pdf

10 páginas

He publicado nuevos examenes de 1º Fundamentos Físicos y Tecnológicos: examsept2012.pdf

2 páginas

He publicado nuevos examenes de 1º Fundamentos Físicos y Tecnológicos: examsept2011.pdf

2 páginas

He publicado nuevos examenes de 1º Fundamentos Físicos y Tecnológicos: Febrero2007Resuelto.pdf

20 páginas

He publicado nuevos examenes de 1º Fundamentos Físicos y Tecnológicos: examen1feb2013soluciones.pdf

6 páginas

He publicado nuevos examenes de 1º Fundamentos Físicos y Tecnológicos: examen1feb2013.pdf

2 páginas

He publicado nuevos examenes de 1º Fundamentos Físicos y Tecnológicos: examsept2012.pdf

2 páginas

He publicado nuevos examenes de 1º Fundamentos Físicos y Tecnológicos: examfeb2012.pdf

2 páginas

He publicado nuevos apuntes de 1º Fundamentos Físicos y Tecnológicos: FundamentosFisicosyTecnologicos.pdf

9 páginas

He publicado nuevos examenes de 1º Fundamentos Físicos y Tecnológicos: ej2fftsep2011.pdf

1 página

He publicado nuevos examenes de 1º Fundamentos Físicos y Tecnológicos: Ordinaria FFT 2223 Solucion.pdf

14 páginas

He publicado nuevos apuntes de 1º Fundamentos Físicos y Tecnológicos: tema4semiconductores-5.pdf

58 páginas

He publicado nuevos ejercicios de 1º Fundamentos Físicos y Tecnológicos: RelacionFFTTema2.pdf

9 páginas

He publicado nuevos apuntes de 1º Fundamentos Físicos y Tecnológicos: Complejos-y-Bode.pdf

38 páginas

apuntes

-

Resumen FFT

He publicado nuevos apuntes de 1º Fundamentos Físicos y Tecnológicos: Resumen FFT

Diagrama-De-Bode.pdf
Diagrama-De-Bode.pdf
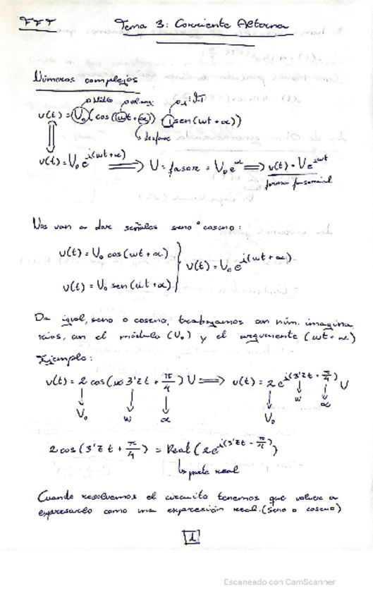
Corriente-Alterna.pdf
Corriente-Alterna.pdf
Dispositivos-Semiconductores.pdf
Dispositivos-Semiconductores.pdf

examenes

-

Exámenes resueltos

He publicado nuevos examenes de 1º Fundamentos Físicos y Tecnológicos: Exámenes resueltos

Ordinaria-2021-Informatica.pdf
Ordinaria-2021-Informatica.pdf
Ordinaria-2018-DGIIM.pdf
Ordinaria-2018-DGIIM.pdf

ejercicios

-

Ejercicios del libro

He publicado nuevos ejercicios de 1º Fundamentos Físicos y Tecnológicos: Ejercicios del libro

Ejercicios-Diodos-y-Transistores.pdf
Ejercicios-Diodos-y-Transistores.pdf
Ejercicios-Circuitos-Corriente-Continua.pdf
Ejercicios-Circuitos-Corriente-Continua.pdf
Ejercicios-Corriente-Continua-III.pdf
Ejercicios-Corriente-Continua-III.pdf

apuntes

-

Apuntes y Ejercicios

He publicado nuevos apuntes de 1º Fundamentos Físicos y Tecnológicos: Apuntes y Ejercicios

T2.pdf
T2.pdf
Ejercicios-Circuitos-Corriente-Continua.pdf
Ejercicios-Circuitos-Corriente-Continua.pdf
Tema-1.pdf
Tema-1.pdf

apuntes

-

FFT

He publicado nuevos apuntes de 1º Fundamentos Físicos y Tecnológicos: FFT

Apuntes-FFT-Tema-3.pdf
Apuntes-FFT-Tema-3.pdf
Apuntes-FFT-Tema-2.pdf
Apuntes-FFT-Tema-2.pdf
Apuntes-FFT-TEMA-1.pdf
Apuntes-FFT-TEMA-1.pdf

He publicado nuevos apuntes de 1º Fundamentos Físicos y Tecnológicos: FUNDAMENTOS-FISICOS-Y-TECNOLOGICOS-PRACTICAS.pdf

75 páginas

He publicado nuevos apuntes de 1º Fundamentos Físicos y Tecnológicos: FUNDAMENTOS-FISICOS-Y-TECNOLOGICOS-PRACTICAS.pdf

75 páginas

examenes

-

Examenes 2020 resueltos

He publicado nuevos examenes de 1º Fundamentos Físicos y Tecnológicos: Examenes 2020 resueltos

feb2020res.pdf
feb2020res.pdf
FFTEnero2020.pdf
FFTEnero2020.pdf

examenes

-

Examenes de otros años

He publicado nuevos examenes de 1º Fundamentos Físicos y Tecnológicos: Examenes de otros años

Exenero2019resuelto.pdf
Exenero2019resuelto.pdf
Finalsep2015.pdf
Finalsep2015.pdf
FinalSep2016.pdf
FinalSep2016.pdf

examenes

-

Examenes 2020 resueltos

He publicado nuevos examenes de 1º Fundamentos Físicos y Tecnológicos: Examenes 2020 resueltos

FFTEnero2020.pdf
FFTEnero2020.pdf
feb2020res.pdf
feb2020res.pdf

apuntes

-

APUNTES FISICA

He publicado nuevos apuntes de 1º Fundamentos Físicos y Tecnológicos: APUNTES FISICA

Cinematica-.pdf
Cinematica-.pdf
Dinamica-del-solido-rigido.pdf
Dinamica-del-solido-rigido.pdf
dinamica-de-rotacion.pdf
dinamica-de-rotacion.pdf

He publicado nuevos ejercicios de 1º Fundamentos Físicos y Tecnológicos: Ejercicios-tipo-EXAMEN.pdf

16 páginas

He publicado nuevos ejercicios de 1º Fundamentos Físicos y Tecnológicos: Ejemplos-de-poleas-con-masas.pdf

pdf

He publicado nuevos apuntes de 1º Fundamentos Físicos y Tecnológicos: apuntes-teoria-de-medida.pdf

pdf

examenes

-

Examenes

He publicado nuevos examenes de 1º Fundamentos Físicos y Tecnológicos: Examenes

2018Enero.pdf
2018Enero.pdf
2018FebreroSolucion.pdf
2018FebreroSolucion.pdf
2018Noviembresolucion.pdf
2018Noviembresolucion.pdf

ejercicios

-

TRANSISTORES

He publicado nuevos ejercicios de 1º Fundamentos Físicos y Tecnológicos: TRANSISTORES

TRANSISTORES.pdf
TRANSISTORES.pdf

apuntes

-

Diodos

He publicado nuevos apuntes de 1º Fundamentos Físicos y Tecnológicos: Diodos

DIODOS-.pdf
DIODOS-.pdf

He publicado nuevos apuntes de 1º Fundamentos Físicos y Tecnológicos: FFEI 11 - Física atómica y semiconductores.pdf

12 páginas

He publicado nuevos apuntes de 1º Fundamentos Físicos y Tecnológicos: FFEI 2 - Ley de Gauss.pdf

4 páginas