Fundamentos Matemáticos 1

chevron_left
chevron_right
Todo
Apuntes
Ejercicios
Exámenes
Prácticas
chevron_left
chevron_right
Anónimo

@Anónimo

He publicado nuevos practicas de 1º Fundamentos Matemáticos 1: Practica-Ordenador-1.pdf

3 páginas

apuntes

-

MATEMÁTICAS 1

He publicado nuevos apuntes de 1º Fundamentos Matemáticos 1: MATEMÁTICAS 1

M1.-Tema-1.pdf
M1.-Tema-2.pdf
M1.-Tema-3.pdf
M1.-Ej.-Tema-1-2.pdf
M1.Ej.-Tema-3.pdf

He publicado nuevos apuntes de 1º Fundamentos Matemáticos 1: Tema 2 bloque 1.pdf

3 páginas

He transcrito el examen por separado porque no he podido escanear el examen original, pero los ejercicios son los mismos. Resultado y la explicación de los ejercicios resueltos con ChatGPT version 4o. Ver los resultados con ojo crítico por si acaso.

12 páginas

He publicado nuevos apuntes de 1º Fundamentos Matemáticos 1: Matematicas-1.-Apuntes-y-ejercicios.pdf

46 páginas

He publicado nuevos apuntes de 1º Fundamentos Matemáticos 1: Apuntes-Fundamentos-Matematicos-1.pdf

68 páginas

examenes

-

Exámenes + Ejercicios

He publicado nuevos examenes de 1º Fundamentos Matemáticos 1: Exámenes + Ejercicios

EjerciciosDiferenciales.pdf
ExamenEnero2020.pdf
ExamenJulio2022ENUNCIADO.pdf
ExamenJulio2022SOLUCION.pdf

practicas

-

Práctica 1

Enunciado + Resolución

EnunciadoPractica1GeoGebra.pdf
Practica1MatematicasRESUELTA.pdf

He publicado nuevos apuntes de 1º Fundamentos Matemáticos 1: Ejercicios-Diferenciales-Introduccion.pdf

12 páginas

He publicado nuevos apuntes de 1º Fundamentos Matemáticos 1: Bloque-2-Calculo-Integrales.pdf

32 páginas

He publicado nuevos apuntes de 1º Fundamentos Matemáticos 1: Bloque-1-Calculo-Diferencial-y-Derivadas.pdf

23 páginas

ejercicios

-

Apuntes y Ejercicios de INTEGRALES

He publicado nuevos ejercicios de 1º Fundamentos Matemáticos 1: Apuntes y Ejercicios de INTEGRALES

INTEGRALES-POR-CAMBIO-DE-VARIABLE-Integracion-partes.pdf
Ejercicios-Resueltos-IntegralesVOLUMENES-POR-SECCIONES.docx
Integral-Riemann.pdf
Ejercicios-Resueltos-IntegralesVOLUMENES-POR-INTEGRALES.docx
Integral-indefinida.doc
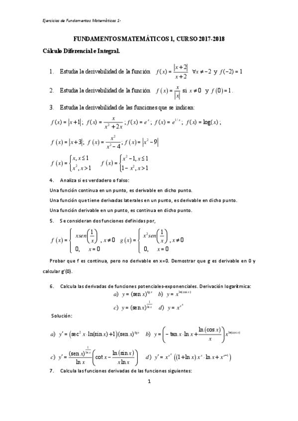
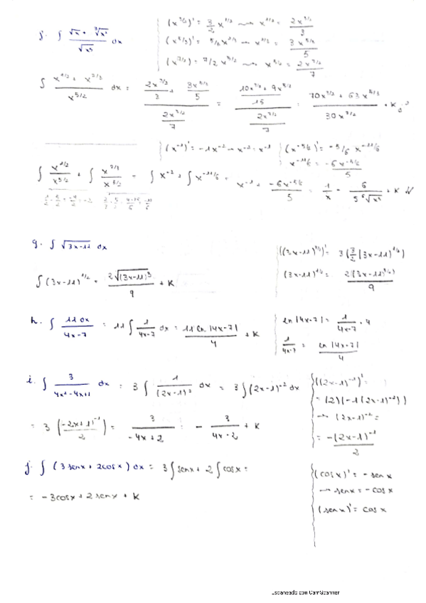
EJERCICIOSFM1201718.pdf

ejercicios

-

Apuntes y Ejercicios de DERIVADAS

He publicado nuevos ejercicios de 1º Fundamentos Matemáticos 1: Apuntes y Ejercicios de DERIVADAS

problemas-derivadas2.pdf
EJERCICIOSFM1201718.pdf
Resolucion-Control-2.pdf
SolucionExamen-25-de-Enero-2018.pdf
problemas-derivadas1.pdf
Razon-de-cambio-con-soluciones.pdf

apuntes

-

Apuntes del tema de Derivadas

He publicado nuevos apuntes de 1º Fundamentos Matemáticos 1: Apuntes del tema de Derivadas

Escaner20181118-11.jpg
Escaner20181118-6.jpg
Escaner20181118-3.jpg
Escaner20181118-7.jpg
Escaner20181118-9.jpg
Escaner20181118-2.jpg

ejercicios

-

Ejercicios de Derivadas

He publicado nuevos ejercicios de 1º Fundamentos Matemáticos 1: Ejercicios de Derivadas

Escaner20181118-2.jpg
Escaner20181118-6.jpg
Escaner20181118-10.jpg
Escaner20181118-9.jpg
11.jpg
Escaner20181118-7.jpg

examenes

-

Ejercicios Resueltos de DERIVADAS

He publicado nuevos examenes de 1º Fundamentos Matemáticos 1: Ejercicios Resueltos de DERIVADAS

5.jpg
8.jpg
3.jpg
10.jpg
4.jpg
9.jpg

apuntes

-

Apuntes de Academia Con Ejercicios Resueltos.

Formularios de todos los temas.

Tema 1. Cónicas y cuádricas..pdf
Tema 2. Números complejos..pdf
Tema 3. Matrices. Sistemas de ecuaciones lineales..pdf
Tema 4. El espacio vectorial R^n..pdf
Tema 5. Ortogonalidad..pdf
Tema 6. Autovalores y autovectores..pdf

apuntes

-

Apuntes de Academia Con Ejercicios Resueltos.

Resumen de todos los temas.

Tema 1. Cónicas y cuádricas..pdf
Tema 2. Números complejos..pdf
Tema 3. Matrices. Sistemas de ecuaciones lineales..pdf
Tema 4. El espacio vectorial R^n..pdf
Tema 5. Ortogonalidad..pdf
Tema 6. Autovalores y autovectores..pdf
¡Estás al día!

¡Estás al día!

Has visto todos los archivos