Fundamentos Matemáticos de la Ingeniería II

chevron_left
chevron_right
Todo
Apuntes
Ejercicios
Exámenes
Prácticas
chevron_left
chevron_right

He publicado nuevos examenes de 1º Fundamentos Matemáticos de la Ingeniería II: ej3vic.m

He publicado nuevos examenes de 1º Fundamentos Matemáticos de la Ingeniería II: ej2vic.m

He publicado nuevos examenes de 1º Fundamentos Matemáticos de la Ingeniería II: ej1vic.m

He publicado nuevos practicas de 1º Fundamentos Matemáticos de la Ingeniería II: Practica1LeydeOhm.xlsx

excel

He publicado nuevos practicas de 1º Fundamentos Matemáticos de la Ingeniería II: asuncionivorrapractica1.pdf

9 páginas

ejercicios

-

Ejercicios

He publicado nuevos ejercicios de 1º Fundamentos Matemáticos de la Ingeniería II: Ejercicios

Clase-repaso-T1-T2-FMI-II.pdf
CLASE-REPASO-temas-3-4-y-5-FMI-II.pdf

He publicado nuevos ejercicios de 1º Fundamentos Matemáticos de la Ingeniería II: Soluciones-Actividad-2-Transformada-de-Laplace.pdf

21 páginas

ejercicios

-

Ejercicios Resueltos

He publicado nuevos ejercicios de 1º Fundamentos Matemáticos de la Ingeniería II: Ejercicios Resueltos

Solucion-Problema-1.pdf
Solucion-Problema-2a.pdf
Solucion-Problema-2b.pdf
Solucion-Problema-3.pdf

examenes

-

Examen Matlab

He publicado nuevos examenes de 1º Fundamentos Matemáticos de la Ingeniería II: Examen Matlab

Control-Matlab-FMI-II-GIQ-2020-2021-Repaso-Practica-4.pdf
Control-Matlab-FMI-II-GIQ-2020-2021-Repaso-Practicas-1-2-y-3.pdf
Anónimo

@Anónimo

He publicado nuevos apuntes de 1º Fundamentos Matemáticos de la Ingeniería II: TEMA-3-Apuntes-con-ejercicios.pdf

10 páginas
Anónimo

@Anónimo

apuntes

-

Apuntes

He publicado nuevos apuntes de 1º Fundamentos Matemáticos de la Ingeniería II: Apuntes

Clase-repaso-T1-y-T2-FMI-II-2017-18.pdf
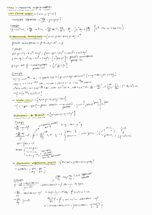
ProblemasTema3FMI-IIEcuacionesdiferenciales.pdf
FMIIITema3Ecuaciones-Diferenciales.pdf
FMIIITema2Integrales-multiples.pdf
T4TransformadadeLaplace.pdf
FMIIITema1Parte2diferenciabilidadmaximominvarias-variables.pdf

examenes

-

Examen 2 Teoría Resuelto

He publicado nuevos examenes de 1º Fundamentos Matemáticos de la Ingeniería II: Examen 2 Teoría Resuelto

WhatsApp-Image-2018-02-13-at-15.jpg
WhatsApp-Image-2018-02-13-at-14.jpg
WhatsApp-Image-2018-02-13-at-15.jpg
FMIIITema4Transformada-de-Laplace.pdf
WhatsApp-Image-2018-02-13-at-15.jpg
FMIIITema5SistemasEcuaciones-Diferenciales.pdf

ejercicios

-

Problemas Examen 2 Teoría

He publicado nuevos ejercicios de 1º Fundamentos Matemáticos de la Ingeniería II: Problemas Examen 2 Teoría

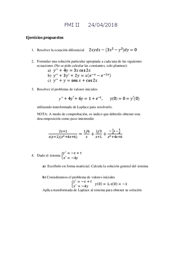
Ejercicios-propuestos-T3-T4-y-T5-FMI-II.pdf
Problemas-Laplace.pdf
ProblemasTema5FMI-IISistemasEcuacionesdiferenciales.pdf
ProblemasTema3FMI-IIEcuacionesdiferenciales.pdf
CLASE-REPASO-temas-3-y-4-FMI-II-201718.pdf
1a-Actividad-T4-TLaplace-FMI-II-2017-18.pdf

examenes

-

Examen 1 Teoría Resuelto

He publicado nuevos examenes de 1º Fundamentos Matemáticos de la Ingeniería II: Examen 1 Teoría Resuelto

WhatsApp-Image-2018-02-13-at-15.jpg
WhatsApp-Image-2018-02-13-at-15.jpg
WhatsApp-Image-2018-02-13-at-15.jpg
WhatsApp-Image-2018-02-13-at-15.jpg
WhatsApp-Image-2018-02-13-at-15.jpg
WhatsApp-Image-2018-02-13-at-15.jpg

examenes

-

Exámenes Ordenador Resueltos

He publicado nuevos examenes de 1º Fundamentos Matemáticos de la Ingeniería II: Exámenes Ordenador Resueltos

funVect.m
Examen3cos.m
Examen2.m
Examen1.m
Examen0.m
Examen2sin.m

ejercicios

-

Prácticas PC

He publicado nuevos ejercicios de 1º Fundamentos Matemáticos de la Ingeniería II: Prácticas PC

Control-1-practicas-Repaso.pdf
2-Graficas-en-3D.pdf
1-Graficas-en-3D.pdf

apuntes

-

Apuntes de Academia Con Ejercicios Resueltos.

Toda la teoría resumida y explicada con ejercicios.

Tema 1. Derivadas parciales..pdf
Tema 2. Aplicaciones geométricas de las parciales..pdf
Tema 3. Optimización de campos escalares.pdf
Tema 4. Campos vectoriales diferenciables (1).pdf
Tema 5. Integración múltiple..pdf
Tema 6. Integrales de línea..pdf

Toda la teoría resumida y explicada con ejercicios.

9 páginas
¡Estás al día!

¡Estás al día!

Has visto todos los archivos