Todo
Apuntes
Exámenes
chevron_left
chevron_right

apuntes

-

TEMAS RESUMIDOS MATES

He publicado nuevos apuntes de 1º Fundamentos Matemáticos I: TEMAS RESUMIDOS MATES

T1-FUNCIONES-Y-GRAFICAS.pdf
T2-POLINOMIOS-DE-TAYLOR.pdf
T3-ECUACIONES-DIFERENCIALES-PRIMER-ORDEN.pdf
T4-APLICACIONES-DE-INTEGRAL.pdf
T5-CURVAS.pdf

examenes

-

EXAMENES RESUELTOS

He publicado nuevos examenes de 1º Fundamentos Matemáticos I: EXAMENES RESUELTOS

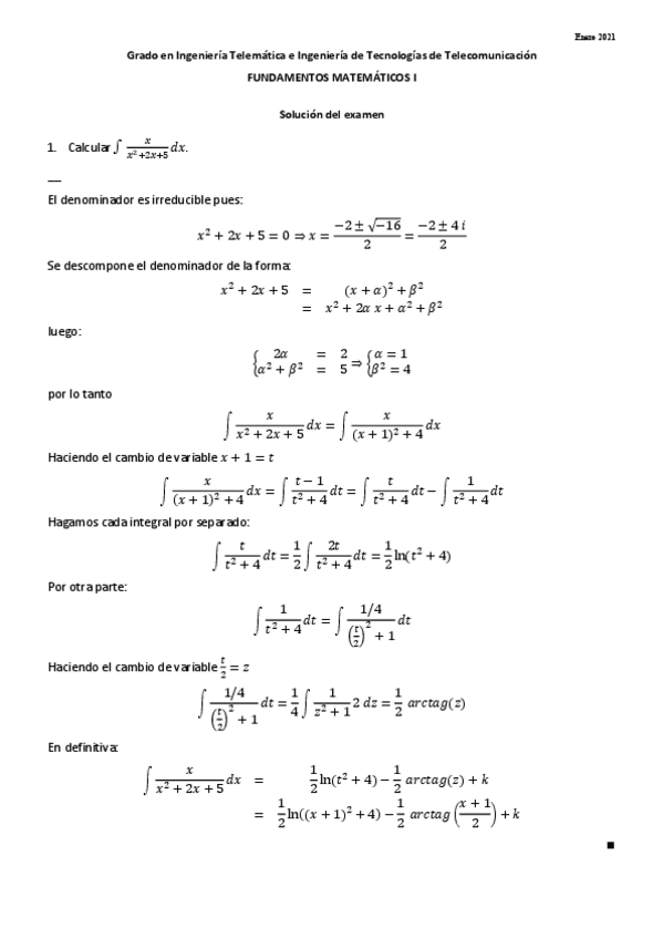
ENERO-2021-P1-RESUELTO.pdf
ENERO-2022-P2-RESUELTO.pdf
ENERO-2022-RESUELTO.pdf
ENERO-2023-RESUELTO.pdf

He publicado nuevos examenes de 1º Fundamentos Matemáticos I: Examen-Enero-2024.pdf

5 páginas

He publicado nuevos apuntes de 1º Fundamentos Matemáticos I: Solucion-exFM1-enero-2023.pdf

5 páginas

examenes

-

Solución examen final 2022

He publicado nuevos examenes de 1º Fundamentos Matemáticos I: Solución examen final 2022

RESUELTO-exFM1-enero-2022-parte-2.pdf
RESUELTO-exFM1-enero-2022.pdf

He publicado nuevos examenes de 1º Fundamentos Matemáticos I: Sol-exFM1-enero-2021.pdf

4 páginas
Anónimo

@Anónimo

He publicado nuevos apuntes de 1º Fundamentos Matemáticos I: Apuntes-FundI.pdf

13 páginas

apuntes

-

Temas 1 a 8

He publicado nuevos apuntes de 1º Fundamentos Matemáticos I: Temas 1 a 8

Tema-1-Numeros-complejos.pdf
Tema-2-Funciones-reales.pdf
tema-4-integracion.pdf
tema-8-funciones-de-varias-variables.pdf
tema-5-integral-definida.pdf
tema-6-sucesiones-y-series.pdf

He publicado nuevos apuntes de 1º Fundamentos Matemáticos I: libreta-matematicas-1-.pdf

74 páginas

He publicado nuevos apuntes de 1º Fundamentos Matemáticos I: relaciones-hechas-matematicas-1-.pdf

42 páginas
¡Estás al día!

¡Estás al día!

Has visto todos los archivos