Fundamentos Matemáticos para la Arquitectura 2

Todo
Apuntes
Ejercicios
Exámenes
Prácticas
Trabajos
chevron_left
chevron_right

Apuntes tomados en clase del Tema 4_Geometría diferencial de Superficies con Gladys Narbona y Enrique Domingo.

8 páginas

Trabajo TEMA 3. GEOMETRÍA DIFERENCIAL DE CURVAS con Grasshopper y rhino.

5 páginas

Tema 3. Curvas en el espacio

5 páginas

He publicado nuevos practicas de 2º Fundamentos Matemáticos para la Arquitectura 2: Practica-2GeogebraEnunciado.pdf

1 página

He publicado nuevos practicas de 2º Fundamentos Matemáticos para la Arquitectura 2: Practica-2GeogebraResuelta.pdf

3 páginas

apuntes

-

Apuntes FMA 2

He publicado nuevos apuntes de 2º Fundamentos Matemáticos para la Arquitectura 2: Apuntes FMA 2

FMA-2Tema-1.pdf
FMA-2Tema-1.pdf
FMA-2Tema-2.pdf
FMA-2Tema-2.pdf

He publicado nuevos trabajos de 2º Fundamentos Matemáticos para la Arquitectura 2: TRABAJO-1.-TEMPERATURA.-TEMA-1.-ECUACIONES-DIFERENCIALES-DE-PRIMER-ORDEN.pdf

12 páginas

He publicado nuevos trabajos de 2º Fundamentos Matemáticos para la Arquitectura 2: TRABAJO-2.-OSCILACION.-TEMA-2.-ECUACIONES-DIFERENCIALES-DE-SEGUNDO-ORDEN.pdf

15 páginas

Examen de ecuaciones diferenciales de primer y segundo orden. Temas 1 y 2, matemáticas 2.

1 página

1er parcial Matemáticas 2. Resumen, apuntes y definiciones con ejercicios resueltos paso por paso de los temas 1 y 2 de Matemáticas 2.

7 páginas

Apuntes del 2º Tema de Matemáticas 2 con ejercicios y ejemplos resueltos.

8 páginas

Apuntes del Tema 1+Ejercicios resueltos y de ejemplo, Matemáticas 2.

9 páginas

He publicado nuevos practicas de 2º Fundamentos Matemáticos para la Arquitectura 2: Ejercicio-Individual-T4-y-T5-Geometria-Diferencial.pdf

Miniatura no disponible
9 páginas

He publicado nuevos apuntes de 2º Fundamentos Matemáticos para la Arquitectura 2: EXAMENES-3.pdf

7 páginas

He publicado nuevos apuntes de 2º Fundamentos Matemáticos para la Arquitectura 2: EXAMENES-2.pdf

8 páginas

He publicado nuevos apuntes de 2º Fundamentos Matemáticos para la Arquitectura 2: EXAMENES-1.pdf

11 páginas

Apuntes sobre tema 6

40 páginas

Apuntes sobre temario t.04

39 páginas

Temario temas 4,5,6

41 páginas

Tema 3. apuntes clase

29 páginas

BOLETÍN 8 EJERCICIOS RESUELTO

31 páginas

BOLETÍN 4 EJERCICIOS RESUELTO

41 páginas

He publicado nuevos apuntes de 2º Fundamentos Matemáticos para la Arquitectura 2: APUNTES-TEMA-3.pdf

14 páginas

He publicado nuevos trabajos de 2º Fundamentos Matemáticos para la Arquitectura 2: EJERCICIO-2.pdf

3 páginas

He publicado nuevos apuntes de 2º Fundamentos Matemáticos para la Arquitectura 2: APUNTES-TEMA-1.pdf

20 páginas

He publicado nuevos trabajos de 2º Fundamentos Matemáticos para la Arquitectura 2: TRABAJO-1.pdf

1 página

He publicado nuevos apuntes de 2º Fundamentos Matemáticos para la Arquitectura 2: B3-T5.-Superficies-curvatura.pdf

4 páginas

He publicado nuevos apuntes de 2º Fundamentos Matemáticos para la Arquitectura 2: B2-T3.-Geometria-diferencial-de-curvas-y-superficies.pdf

3 páginas

He publicado nuevos apuntes de 2º Fundamentos Matemáticos para la Arquitectura 2: B2-T4.-Superficies-geometria-metrica.pdf

10 páginas

He publicado nuevos apuntes de 2º Fundamentos Matemáticos para la Arquitectura 2: B1-T2.-Ecuaciones-diferenciales-lineales-de-segundo-orden.pdf

19 páginas

He publicado nuevos apuntes de 2º Fundamentos Matemáticos para la Arquitectura 2: B1-T1.-Ecuaciones-diferenciales-de-primer-orden.pdf

7 páginas

He publicado nuevos apuntes de 2º Fundamentos Matemáticos para la Arquitectura 2: Mates II. Segundo-Parcial.-Apuntes-Y-Ejercicios.pdf

32 páginas

He publicado nuevos apuntes de 2º Fundamentos Matemáticos para la Arquitectura 2: Mates-II.-Primer-Parcial.-Apuntes-Y-Ejercicios.pdf

28 páginas
Anónimo

@Anónimo

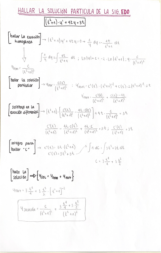
He publicado nuevos ejercicios de 2º Fundamentos Matemáticos para la Arquitectura 2: solucion-particular-de-una-EDO.pdf

1 página

He publicado nuevos apuntes de 2º Fundamentos Matemáticos para la Arquitectura 2: Tema-4-resumenformulario.pdf

3 páginas

He publicado nuevos apuntes de 2º Fundamentos Matemáticos para la Arquitectura 2: Tema-5-formulario.pdf

1 página

He publicado nuevos apuntes de 2º Fundamentos Matemáticos para la Arquitectura 2: Tema-3-resumenformulario.pdf

3 páginas

He publicado nuevos apuntes de 2º Fundamentos Matemáticos para la Arquitectura 2: Planificador-semanal.png

Imagen

He publicado nuevos apuntes de 2º Fundamentos Matemáticos para la Arquitectura 2: Planificador-mensual.png

Imagen

He publicado nuevos ejercicios de 2º Fundamentos Matemáticos para la Arquitectura 2: Trabajo Tema 2. Ejercicio 2.8.pdf

2 páginas

He publicado nuevos ejercicios de 2º Fundamentos Matemáticos para la Arquitectura 2: Trabajo Tema 1. Ejercicio 1.4.pdf

2 páginas

He publicado nuevos practicas de 2º Fundamentos Matemáticos para la Arquitectura 2: ACTIVIDAD-TEMA-51.pdf

5 páginas

He publicado nuevos practicas de 2º Fundamentos Matemáticos para la Arquitectura 2: ACTIVIDAD-TEMA-4.pdf

8 páginas

He publicado nuevos practicas de 2º Fundamentos Matemáticos para la Arquitectura 2: ACTIVIDAD-TEMA-31.pdf

7 páginas

He publicado nuevos practicas de 2º Fundamentos Matemáticos para la Arquitectura 2: ACTIVIDAD-TEMA-2.pdf

5 páginas

He publicado nuevos practicas de 2º Fundamentos Matemáticos para la Arquitectura 2: ACTIVIDAD-TEMA-11.pdf

5 páginas

He publicado nuevos examenes de 2º Fundamentos Matemáticos para la Arquitectura 2: Ejemplo-de-prueba-bloque-1Resuelto.pdf

5 páginas

He publicado nuevos examenes de 2º Fundamentos Matemáticos para la Arquitectura 2: Ejemplo-de-prueba-bloque-2Resuelto.pdf

10 páginas

He publicado nuevos examenes de 2º Fundamentos Matemáticos para la Arquitectura 2: ejemplo-examen.pdf

2 páginas
Anónimo

@Anónimo

apuntes

-

MATEMÁTICAS 2

He publicado nuevos apuntes de 2º Fundamentos Matemáticos para la Arquitectura 2: MATEMÁTICAS 2

EXAMEN-BLOQUE-2.pdf
EXAMEN-BLOQUE-2.pdf
EXAMEN-GLOBAL.pdf
EXAMEN-GLOBAL.pdf

apuntes

-

MATEMATICAS II - TODOS TEMAS - Apuntes+Ejercicios

He publicado nuevos apuntes de 2º Fundamentos Matemáticos para la Arquitectura 2: MATEMATICAS II - TODOS TEMAS - Apuntes+Ejercicios

TEMA-1-Matematicas-II-ApuntesEjercicios.pdf
TEMA-1-Matematicas-II-ApuntesEjercicios.pdf
TEMA-2-Matematicas-II-ApuntesEjercicios.pdf
TEMA-2-Matematicas-II-ApuntesEjercicios.pdf
TEMA-5-Matematicas-II-ApuntesEjercicios.pdf
TEMA-5-Matematicas-II-ApuntesEjercicios.pdf

apuntes

-

Fund. Mat. Para la Arq 2

He publicado nuevos apuntes de 2º Fundamentos Matemáticos para la Arquitectura 2: Fund. Mat. Para la Arq 2

Tema-4.pdf
Tema-4.pdf
Tema-5.pdf
Tema-5.pdf
Tema-2.pdf
Tema-2.pdf

trabajos

-

Entregas matemáticas 2

He publicado nuevos trabajos de 2º Fundamentos Matemáticos para la Arquitectura 2: Entregas matemáticas 2

Entrega-temperatura-matematicas.pdf
Entrega-temperatura-matematicas.pdf
Entrega-curvas-de-Bezier.pdf
Entrega-curvas-de-Bezier.pdf
Anónimo

@Anónimo

apuntes

-

TEMARIO COMPLETO

He publicado nuevos apuntes de 2º Fundamentos Matemáticos para la Arquitectura 2: TEMARIO COMPLETO

PARTE-1-TEMARIO.pdf
PARTE-1-TEMARIO.pdf
PARTE-2-TEMARIO.pdf
PARTE-2-TEMARIO.pdf
EDO-1-Y-2-ORDEN.pdf
EDO-1-Y-2-ORDEN.pdf

He publicado nuevos examenes de 2º Fundamentos Matemáticos para la Arquitectura 2: EJERCICIO-RESUELTO-EXAMEN-22-23.pdf

8 páginas

apuntes

-

FMA II (TODO)

Apuntes, boletines y parciales de FMA II

FMA-II-PT.2.pdf
FMA-II-PT.2.pdf
FMA-II-PT.1.pdf
FMA-II-PT.1.pdf
FMA-II-PT.1.pdf
FMA-II-PT.1.pdf
Anónimo

@Anónimo

apuntes

-

Apuntes temario

He publicado nuevos apuntes de 2º Fundamentos Matemáticos para la Arquitectura 2: Apuntes temario

TEMA-1.pdf
TEMA-1.pdf
TEMA-2.pdf
TEMA-2.pdf
TEMA-3.pdf
TEMA-3.pdf

practicas

-

MAPLE

He publicado nuevos practicas de 2º Fundamentos Matemáticos para la Arquitectura 2: MAPLE

MAPLE1.pdf
MAPLE1.pdf
MAPLE2.pdf
MAPLE2.pdf
MAPLE3.pdf
MAPLE3.pdf

He publicado nuevos apuntes de 2º Fundamentos Matemáticos para la Arquitectura 2: TEMA-5.-GEOMETRIA-DIFERENCIAL-DE-SUPERFICIES.-SEGUNDA-FORMA-FUNDAMENTAL.pdf

13 páginas

He publicado nuevos apuntes de 2º Fundamentos Matemáticos para la Arquitectura 2: Resumen formulas 2º parcial Mates 2.pdf

8 páginas