Anónimo
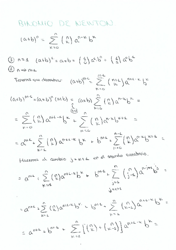
Demostración del Binomio de Newton por inducción.
BinomioNewtonDemostracion.pdf
2 páginas
Apuntes - FMtrasT1CV.pdf
pdf
34 páginas
1103
0
Apuntes - Tema-2.-Conjuntos.pdf
10 páginas
33
1
Exámenes - Sol-Parcial-2023-2024.pdf
6 páginas
26
Apuntes - Funda-3.pdf
7 páginas
45
Apuntes - Fundamentos-Matematicos.-Tema-2.pdf
30 páginas
21
Apuntes - Funda-5.pdf
9 páginas
32
Apuntes - Fundamentos-Matematicos.-Tema-4.pdf
32 páginas
20
Apuntes - Funda-4.pdf
16 páginas
31
Apuntes - Fundamentos-Matematicos.-Tema-3.pdf
18 páginas
22
Ejercicios - Sol-T1-Estructuras-algebraicas.-Estructuras-algebraicas
estructuras algebraicas
13
Apuntes - Funda-1.pdf
44
Apuntes - Funda-2.pdf
17 páginas
39
Ejercicios - Sol-T1-Seccion-I-Ta-de-Conjuntos-y-aplicaciones-1.-Conjuntos-y-aplicaciones
conjuntos y aplicaciones_
12
Exámenes - Sol-Parcial-Noviembre-2020.pdf
5 páginas
15
Ejercicios - Sol-T1-Relaciones-binarias-1.-Relaciones-binarias
relaciones binarias
11
Ejercicios - Sol-T1-Relaciones-binarias-2.pdf
8 páginas
Exámenes - Parcial-2023-2024.pdf
Exámenes - Parcial-2020-Noviembre.pdf
18
Apuntes - Tema-2.pdf
29 páginas
2
Apuntes - Apuntes-T1-Ta-de-conjuntos-aplicaciones-relaciones-y-estructuras.pdf