chevron_left
chevron_right
Todo
Apuntes
Ejercicios
Exámenes
chevron_left
chevron_right

He publicado nuevos examenes de 1º Fundamentos Matemáticos: Examenes-Antiguos-1.pdf

9 páginas

Examen resuelto junio primera parte (diagonalización y geometría)

11 páginas

He publicado nuevos apuntes de 1º Fundamentos Matemáticos: Tema-6.pdf

17 páginas

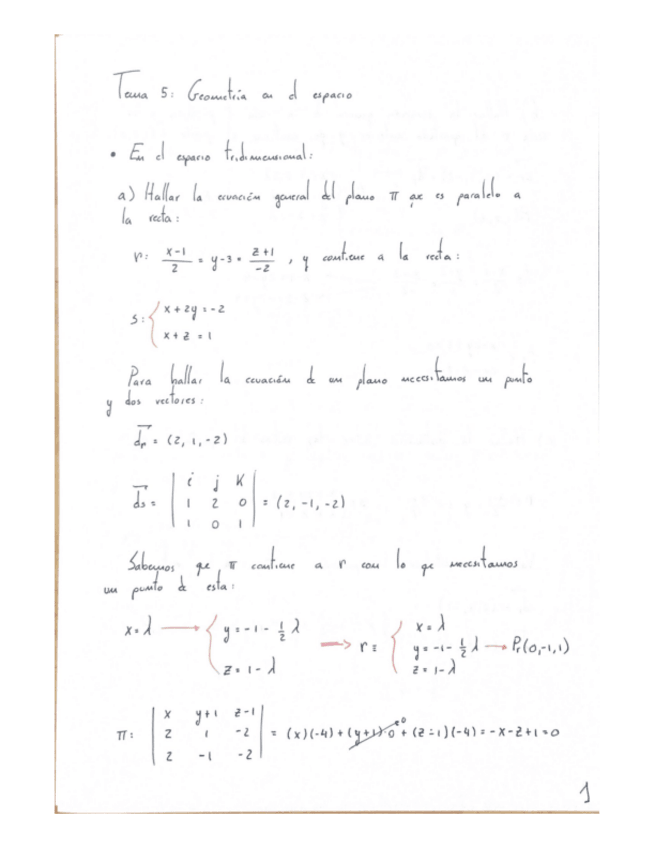
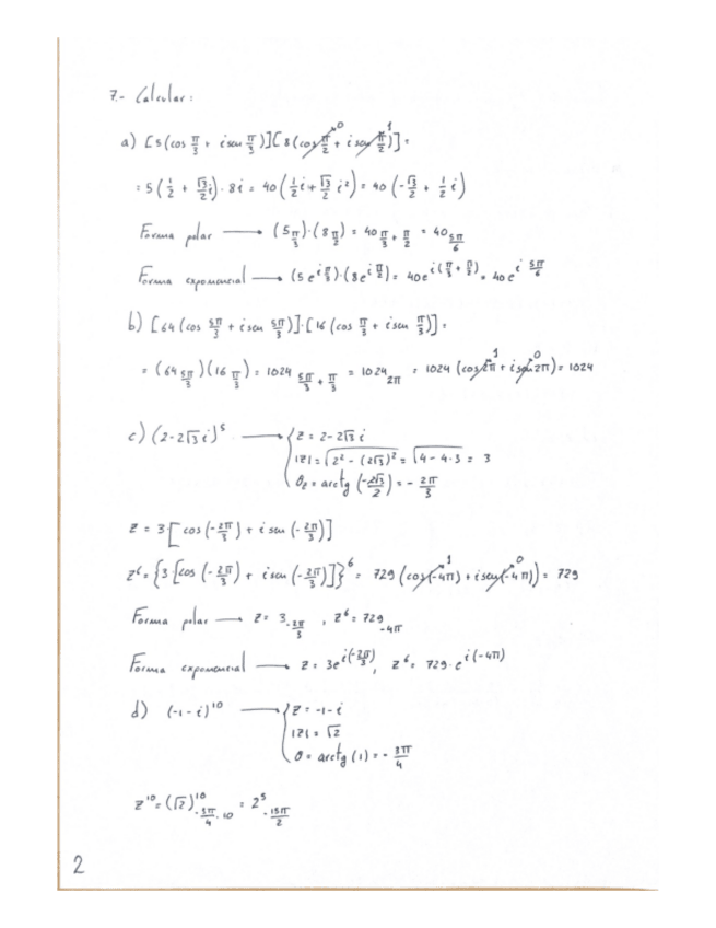
He publicado nuevos apuntes de 1º Fundamentos Matemáticos: Tema-5.pdf

15 páginas

He publicado nuevos apuntes de 1º Fundamentos Matemáticos: Tema-4.pdf

12 páginas

He publicado nuevos apuntes de 1º Fundamentos Matemáticos: Tema-3.pdf

10 páginas

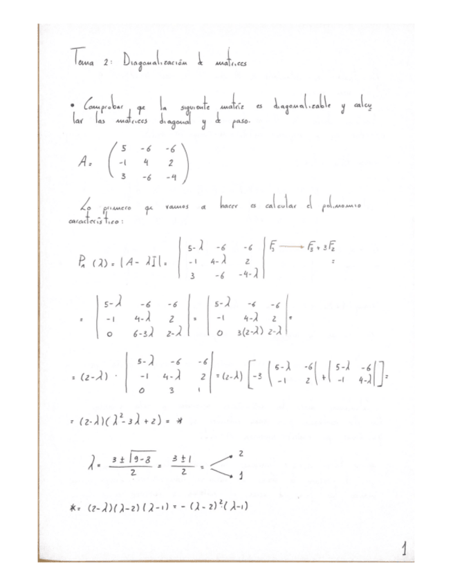
He publicado nuevos apuntes de 1º Fundamentos Matemáticos: Tema-2.pdf

9 páginas

He publicado nuevos apuntes de 1º Fundamentos Matemáticos: Tema-1.pdf

21 páginas

He publicado nuevos apuntes de 1º Fundamentos Matemáticos: Primer-parcial-2023.pdf

22 páginas

He publicado nuevos ejercicios de 1º Fundamentos Matemáticos: Ejercicios-tema-7.pdf

6 páginas

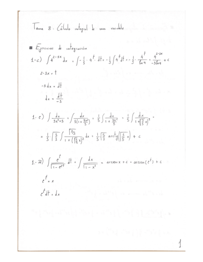
He publicado nuevos ejercicios de 1º Fundamentos Matemáticos: Ejercicios-tema-8.pdf

4 páginas

He publicado nuevos ejercicios de 1º Fundamentos Matemáticos: Ejercicios-tema-6.pdf

5 páginas

apuntes

-

Apuntes de los temas 1-8

He publicado nuevos apuntes de 1º Fundamentos Matemáticos: Apuntes de los temas 1-8

Tema-5-geometria-en-el-espacio.pdf
Tema-5-geometria-en-el-espacio.pdf
Tema-6-numeros-complejos.pdf
Tema-6-numeros-complejos.pdf
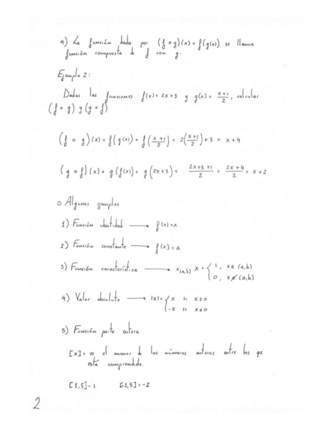
Tema-7-funciones.pdf
Tema-7-funciones.pdf

examenes

-

Fundamentos matemáticos

He publicado nuevos examenes de 1º Fundamentos Matemáticos: Fundamentos matemáticos

EEE28DF9-D36C-473A-ABA3-F6E5BE5572C6.pdf
EEE28DF9-D36C-473A-ABA3-F6E5BE5572C6.pdf
8CEBF79A-D9E7-4C52-BC51-D246FA1A49E7.pdf
8CEBF79A-D9E7-4C52-BC51-D246FA1A49E7.pdf
3CEF292C-8E79-41DA-9375-50DAB258565C.pdf
3CEF292C-8E79-41DA-9375-50DAB258565C.pdf

ejercicios

-

Álgebra

He publicado nuevos ejercicios de 1º Fundamentos Matemáticos: Álgebra

image.jpg
image.jpg
image.jpg
image.jpg
image.jpg
image.jpg

He publicado nuevos examenes de 1º Fundamentos Matemáticos: Primer parcial 2017.pdf

1 página

examenes

-

Examenes Fundamentos Matemáticos

He publicado nuevos examenes de 1º Fundamentos Matemáticos: Examenes Fundamentos Matemáticos

Examen RESUELTO Fundamentos matemáticos Módulo 1 2017-2018.pdf
Examen RESUELTO Fundamentos matemáticos Módulo 1 2017-2018.pdf
Convocatoria de Julio 2017.pdf
Convocatoria de Julio 2017.pdf
Convocatoria Julio 2016.pdf
Convocatoria Julio 2016.pdf

apuntes

-

apuntes fundamentos matemáticos

He publicado nuevos apuntes de 1º Fundamentos Matemáticos: apuntes fundamentos matemáticos

Apuntes Fundamentos Matemáticos.pdf
Apuntes Fundamentos Matemáticos.pdf
Apuntes de números complejos.pdf
Apuntes de números complejos.pdf
RESUMEN Diagonalización de matrices y ecuaciones lineales.pdf
RESUMEN Diagonalización de matrices y ecuaciones lineales.pdf

He publicado nuevos apuntes de 1º Fundamentos Matemáticos: Examen Fundamentos Matemáticos Módulo 1 Junio 2018.pdf

1 página

He publicado nuevos apuntes de 1º Fundamentos Matemáticos: MATES - TEMA 4.pdf

8 páginas

He publicado nuevos apuntes de 1º Fundamentos Matemáticos: MATES - TEMA 9.pdf

17 páginas

He publicado nuevos ejercicios de 1º Fundamentos Matemáticos: MATES - EJERCICIOS TEMA 6.pdf

14 páginas

He publicado nuevos apuntes de 1º Fundamentos Matemáticos: MATES - TEMA 5.pdf

7 páginas

He publicado nuevos apuntes de 1º Fundamentos Matemáticos: MATES - TEMA 6.pdf

19 páginas

He publicado nuevos apuntes de 1º Fundamentos Matemáticos: MATES - TEMA 2.pdf

8 páginas

He publicado nuevos apuntes de 1º Fundamentos Matemáticos: MATES - TEMA 8.pdf

25 páginas

He publicado nuevos apuntes de 1º Fundamentos Matemáticos: MATES - TEMA 3.pdf

3 páginas

He publicado nuevos apuntes de 1º Fundamentos Matemáticos: MATES - TEMA 7.pdf

21 páginas
¡Estás al día!

¡Estás al día!

Has visto todos los archivos