Fundamentos Metodológicos de Investigación en Logopedia

chevron_left
chevron_right
Todo
Apuntes
Prácticas
chevron_left
chevron_right

He publicado nuevos practicas de 2º Fundamentos Metodológicos de Investigación en Logopedia: PRACTICA-4.docx

word

He publicado nuevos practicas de 2º Fundamentos Metodológicos de Investigación en Logopedia: Practica-articulo-de-investigacion.docx

word

He publicado nuevos practicas de 2º Fundamentos Metodológicos de Investigación en Logopedia: PRACTICA-2.docx

word

He publicado nuevos practicas de 2º Fundamentos Metodológicos de Investigación en Logopedia: PRACTICA-1-PICO.docx

word

He publicado nuevos apuntes de 2º Fundamentos Metodológicos de Investigación en Logopedia: PEDAGOGIA.docx

word

He publicado nuevos apuntes de 2º Fundamentos Metodológicos de Investigación en Logopedia: TablaStudent.pdf

2 páginas

He publicado nuevos apuntes de 2º Fundamentos Metodológicos de Investigación en Logopedia: TablaNormal.pdf

2 páginas

He publicado nuevos apuntes de 2º Fundamentos Metodológicos de Investigación en Logopedia: TablaChi2.pdf

2 páginas

He publicado nuevos apuntes de 2º Fundamentos Metodológicos de Investigación en Logopedia: T1-Intro.pptx

powerpoint

He publicado nuevos apuntes de 2º Fundamentos Metodológicos de Investigación en Logopedia: FormularioExamen.pdf

4 páginas

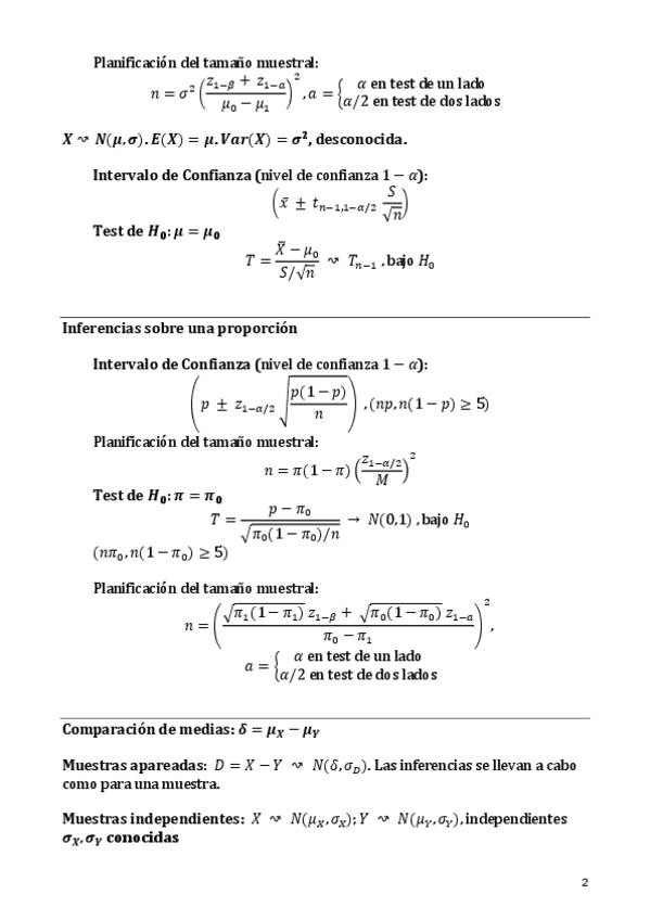
He publicado nuevos apuntes de 2º Fundamentos Metodológicos de Investigación en Logopedia: APUNTES-estadistica.pdf

38 páginas

2024-2025 Carol

46 páginas

2024-2025 Marta

37 páginas

apuntes

-

2º Logopedia - Fundamentos metodológicos

He publicado nuevos apuntes de 2º Fundamentos Metodológicos de Investigación en Logopedia: 2º Logopedia - Fundamentos metodológicos

Pedagogia.Practica.4.pdf
Pedagogia.Practica.2.pdf

He publicado nuevos apuntes de 2º Fundamentos Metodológicos de Investigación en Logopedia: Teoria-Pedagogia-entera.pdf

29 páginas
¡Estás al día!

¡Estás al día!

Has visto todos los archivos