chevron_left
chevron_right
Todo
Apuntes
Ejercicios
Exámenes
Prácticas
Test
Trabajos
chevron_left
chevron_right

Una memoria de las prácticas de genética, resumiendo el proceso implicado y analizando los resultados incluyendo el conteo F2 de la drosofila.

5 páginas

Trabajo Mapa Ligamiento Drosophila

10 páginas

He publicado nuevos trabajos de 1º Genética General: MAPA-DROSOPHILA.pdf

6 páginas
Anónimo

@Anónimo

Apuntes de todos los temas de genética general (1-7)

20 páginas

Mapa de ligamiento de Drosophila Melanogaster - Trabajo final de prácticas 1º Cuatri de º de Biotecnología.

4 páginas

Apuntes del tema 5, fuerzas microevolutivas en poblaciones, de Genética General del primer curso de Biotecnología de la UPV.

2 páginas

Apuntes del tema 6, genética de poblaciones, de Genética General del primer curso de Biotecnología de la UPV.

2 páginas

Apuntes del tema 5, cartografía genética, de Genética General del primer curso de Biotecnología de la UPV.

4 páginas

Apuntes del tema 4, Transmisión independiente y recombinación génica, de Genética General del primer curso de Biotecnología de la UPV.

5 páginas

He publicado nuevos apuntes de 1º Genética General: Practica-Equilibrio-Hardy-weinberg.pdf

1 página

He publicado nuevos apuntes de 1º Genética General: Practica-Mapa-Dorsophilia.pdf

3 páginas
Anónimo

@Anónimo

He publicado nuevos trabajos de 1º Genética General: Mapa-drosophila.pdf

2 páginas
Anónimo

@Anónimo

Trabajo final de prácticas sobre Drosophila melanogaster

2 páginas

He publicado nuevos examenes de 1º Genética General: PARCIAL-3-EXAMEN-TIPO.pdf

1 página

Apuntes sobre las fuerzas microevolutivas

2 páginas
Anónimo

@Anónimo

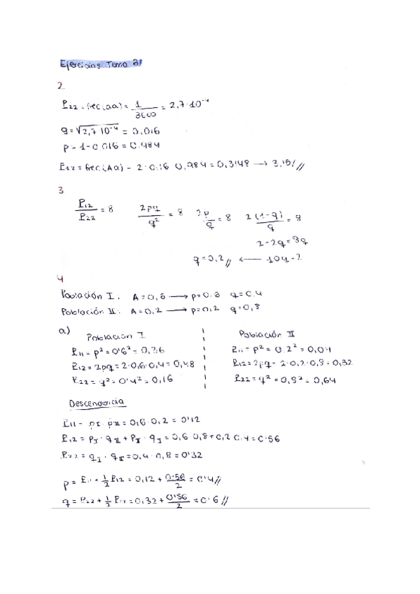
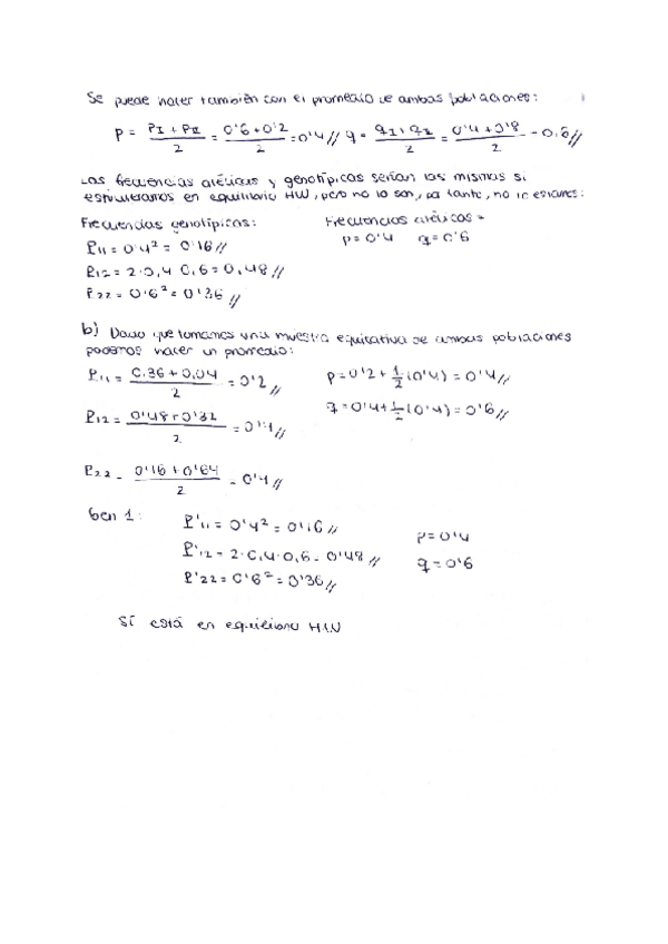
Ejercicios del tema 6 resueltos y explicados

7 páginas

He publicado nuevos apuntes de 1º Genética General: DROSOPHILA MAP MAPA.pdf

8 páginas

Preguntas posteriores práctica cruzamiento F1xF1

1 página

He publicado nuevos trabajos de 1º Genética General: MAPA-DE-LIGAMIENTO-DE-DROSOPHILA-MELANOGASTER.pdf

6 páginas

He publicado nuevos apuntes de 1º Genética General: TEMA-3.-DETERMINACION-GENETICA-DEL-SEXO-Y-HERENCIA-LIGADA-AL-SEXO.docx

word

He publicado nuevos apuntes de 1º Genética General: TEMA-2.-MODIFICACION-DE-LAS-PROPORCIONES-MENDELIANAS.docx

word

He publicado nuevos apuntes de 1º Genética General: TEMA-1.-GENETICA-MENDELIANA.docx

word

Apuntes del tema 3, Sexo: Herencia Ligada al Sexo, de Genética General del primer curso de Biotecnología de la UPV.

4 páginas

Apuntes del tema 2, Modificación De Las Proporciones Mendelianas, de Genética General del primer curso de Biotecnología de la UPV

5 páginas

Todas las preguntas de prácticas corregidas y con nota

5 páginas

Trabajo sobre el mapeo del cromosoma de la Drosophila.

7 páginas

Apuntes del tema 1, genética mendeliana, de Genética General del primer curso de Biotecnología de la UPV.

5 páginas
Anónimo

@Anónimo

3 páginas
Anónimo

@Anónimo

He publicado nuevos test de 1º Genética General: cuestionario-tema-2-resuelto.pdf

6 páginas

He publicado nuevos apuntes de 1º Genética General: apuntes-T1.pdf

9 páginas

He publicado nuevos apuntes de 1º Genética General: apuntes-T7.pdf

3 páginas

He publicado nuevos apuntes de 1º Genética General: apuntes-T6.pdf

5 páginas

He publicado nuevos apuntes de 1º Genética General: apuntes-T5.pdf

7 páginas

He publicado nuevos apuntes de 1º Genética General: apuntes-T4.pdf

8 páginas

He publicado nuevos apuntes de 1º Genética General: apuntes-T2-y-T3.pdf

16 páginas

Tarea final de las prácticas

7 páginas

Preguntas de las prácticas de genética (sin corregir)

5 páginas

Mapa DROSOPHILA

5 páginas

He publicado nuevos apuntes de 1º Genética General: TEORIA-PARCIAL-1.pdf

9 páginas

He publicado nuevos trabajos de 1º Genética General: PENSAMIENTO-CRITICO.pdf

5 páginas

He publicado nuevos practicas de 1º Genética General: Practica-grupos-sanguineos-previa.pdf

2 páginas

He publicado nuevos practicas de 1º Genética General: Practica-division-celular.pdf

1 página

He publicado nuevos practicas de 1º Genética General: post-practica-sangre.pdf

3 páginas

He publicado nuevos practicas de 1º Genética General: post-meiosis.pdf

1 página

He publicado nuevos practicas de 1º Genética General: Practica-manejo-Drosophila.pdf

1 página

He publicado nuevos practicas de 1º Genética General: Practica-construccion-de-un-mapa-de-ligamiento.pdf

1 página

He publicado nuevos practicas de 1º Genética General: Practica-manejo-Drosophila-post.pdf

1 página

He publicado nuevos practicas de 1º Genética General: POST-practica-cruzamineto-parentales.pdf

1 página

He publicado nuevos practicas de 1º Genética General: PRACTICA-CUERPOS-DE-BARR-previa.pdf

1 página

He publicado nuevos practicas de 1º Genética General: practica-F1-posterior.pdf

1 página

He publicado nuevos practicas de 1º Genética General: Practica-Analisis-genetico-de-plantas-transgenicas-previas.pdf

2 páginas

He publicado nuevos practicas de 1º Genética General: Practica-cuerpos-de-Barr-posterior.pdf

1 página

He publicado nuevos practicas de 1º Genética General: Practica-Cromosomas-Politecnicos-previa.pdf

1 página

He publicado nuevos practicas de 1º Genética General: Practica-cromosomas-politecnicos-posterior.pdf

1 página

He publicado nuevos practicas de 1º Genética General: Practica-Analisis-geneticos-de-plantas-transgenicas-posterior.pdf

1 página

He publicado nuevos practicas de 1º Genética General: Practica-cruzamiento-F1-X-FI-posterior.pdf

1 página

He publicado nuevos practicas de 1º Genética General: MAPA-DROSOPHILA.pdf

9 páginas

He publicado nuevos apuntes de 1º Genética General: Apuntes-tema-6.pdf

4 páginas

He publicado nuevos apuntes de 1º Genética General: Apuntes-tema-3.pdf

4 páginas

He publicado nuevos apuntes de 1º Genética General: Apuntes-tema-2.pdf

5 páginas