Geometria Diferencial
He publicado nuevos examenes de 3º Geometria Diferencial: ExamenSeptiembre.pdf
He publicado nuevos apuntes de 3º Geometria Diferencial: Ejercicios-examenes.pdf
He publicado nuevos examenes de 1º Geometria Diferencial: EXAMEN-ORDINARIO-Solucionario-24-25-GRADO-ING-CIVIL-DOBLE-GRADO-INGENIERIA-CIVIL--ADE.pdf
He publicado nuevos examenes de 1º Geometria Diferencial: EXAMEN-EXTRAORDINARIO-Solucionario-24-25-GRADO-ING-CIVIL-DOBLE-GRADO-INGENIERIA-CIVIL--ADE.pdf
He publicado nuevos practicas de 1º Geometria Diferencial: PARCIAL-II-Solucionario-24-25-Campos-y-Ecuaciones-Diferenciales-GRADO-ING-CIVIL-DOBLE-GRADO-INGENIERIA-CIVIL--ADE.pdf
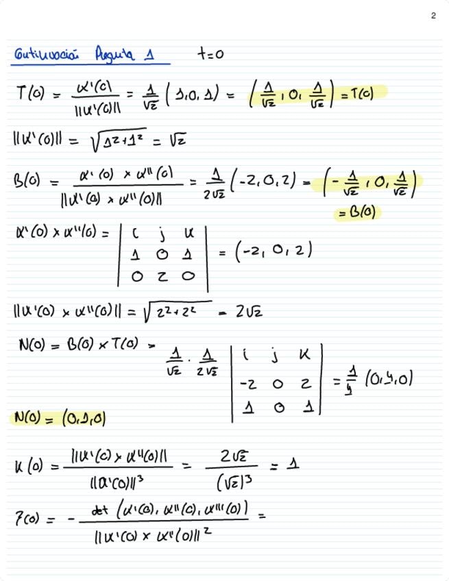
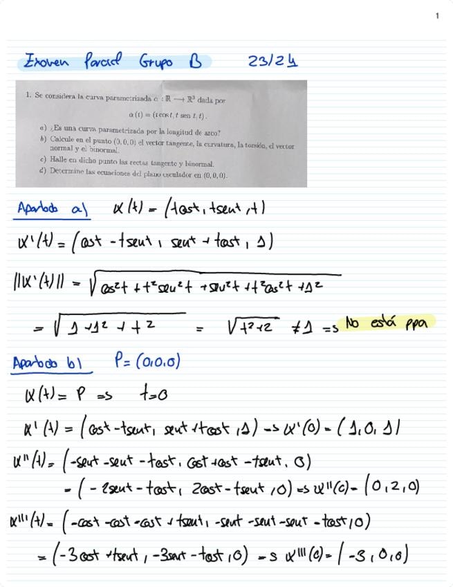
He publicado nuevos practicas de 1º Geometria Diferencial: PARCIAL-I-Solucionario-24-25-Curvas-y-Superficies-GRADO-ING-CIVIL-DOBLE-GRADO-INGENIERIA-CIVIL--ADE.pdf
Apuntes de clase Geometría diferencial 25-26
INICIO DE CURSO GEOMETRÍA DIFERENCIAL Resumen de cada tema. Resolución de ejercicios y exámenes de convocatorias anteriores. Clases grabadas hasta el día del examen. Profesor a tu disposición en cualquier momento para dudas. INFÓRMATE SIN COMPROMISO Y DA UNA CLASE DE PRUEBA EN GRUPO.

ejercicios
-
Prácticas-Geo Dif
He publicado nuevos ejercicios de 3º Geometria Diferencial: Prácticas-Geo Dif
He publicado nuevos examenes de 4º Geometria Diferencial: 2-Parcial-Resuelto-Geometria-14012026.pdf
He publicado nuevos examenes de 4º Geometria Diferencial: 2o-Parcial-Resuelto-2025-Geometria.pdf
He publicado nuevos examenes de 4º Geometria Diferencial: 2o-Parcial-2025-Geometria.pdf
He publicado nuevos examenes de 1º Geometria Diferencial: Segundo-parcial-GD-grupo-A-2025.pdf
Examen escaneado y resuelto por el profesor, de los temas 1 y 2.
ejercicios
-
Hojas de ejercicios 25-26
Soluciones completas de las hojas de ejercicios del curso 25-26 ERRORES: Hoja 1 ejercicio 5: en la propiedad 1 de topología, es φ(M U Ui) = φ(Ui) que es abierto, no la intersección
He publicado nuevos apuntes de 4º Geometria Diferencial: Apuntes-Geometria.pdf
He publicado nuevos apuntes de 4º Geometria Diferencial: Libro-Geometria.pdf
ejercicios
-
Hojas de Ejercicios Geometría Diferencial
He publicado nuevos ejercicios de 3º Geometria Diferencial: Hojas de Ejercicios Geometría Diferencial
He publicado nuevos apuntes de 4º Geometria Diferencial: Tema-2-Coordenadas-curvilineas.pdf
He publicado nuevos ejercicios de 4º Geometria Diferencial: Problemas-Tema-2.pdf
He publicado nuevos ejercicios de 4º Geometria Diferencial: Problemas-Tema-1.pdf
He publicado nuevos ejercicios de 4º Geometria Diferencial: Problemas-del-Tema-3.pdf
He publicado nuevos ejercicios de 4º Geometria Diferencial: Problemas-1er-parcial.pdf
He publicado nuevos ejercicios de 4º Geometria Diferencial: Problemas-Tema-4.pdf
He publicado nuevos ejercicios de 4º Geometria Diferencial: Problemas-2do-Parcial.pdf
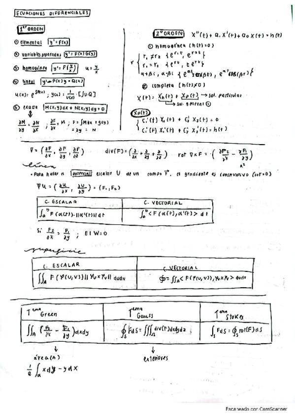
He publicado nuevos apuntes de 1º Geometria Diferencial: Formulario Ecuaciones Diferenciales.pdf
apuntes
-
Hojas Geodif
He publicado nuevos apuntes de 3º Geometria Diferencial: Hojas Geodif
He publicado nuevos examenes de 3º Geometria Diferencial: Examen-Junio-2025.pdf
examenes
-
Exámenes Geometría
He publicado nuevos examenes de 1º Geometria Diferencial: Exámenes Geometría
examenes
-
examenes de este año wow con soluciones wow
He publicado nuevos examenes de 3º Geometria Diferencial: examenes de este año wow con soluciones wow
apuntes
-
Teoría-Geo Dif
He publicado nuevos apuntes de 3º Geometria Diferencial: Teoría-Geo Dif
He publicado nuevos apuntes de 1º Geometria Diferencial: GUIA-de-Ecuaciones-Diferenciales-de-primer-grado.pdf
He publicado nuevos apuntes de 3º Geometria Diferencial: Apuntes-Geometria.pdf
He publicado nuevos ejercicios de 1º Geometria Diferencial: Ejemplo-superficies.pdf
He publicado nuevos ejercicios de 1º Geometria Diferencial: Ejemplo-curvas-TEMA-1.pdf
He publicado nuevos ejercicios de 1º Geometria Diferencial: Ejercicios-Geometria-T1-1.pdf
apuntes
-
Tema 3 Analisis vectorial
He publicado nuevos apuntes de 1º Geometria Diferencial: Tema 3 Analisis vectorial
apuntes
-
Tema 2 Superficies
He publicado nuevos apuntes de 1º Geometria Diferencial: Tema 2 Superficies
He publicado nuevos examenes de 1º Geometria Diferencial: MODELO-B-2425-primer-parcial-geometria.pdf
He publicado nuevos examenes de 1º Geometria Diferencial: MODELO-A-24-25-Primer-parcial-geometria-difer.pdf