Geometría diferencial II

chevron_left
chevron_right
Todo
Apuntes
Ejercicios
Exámenes
Otros
Prácticas
chevron_left
chevron_right
Anónimo

@Anónimo

apuntes

-

Apuntes Geometría Diferencial II

He publicado nuevos apuntes de 3º Geometría diferencial II: Apuntes Geometría Diferencial II

Geometria-Diferencial-II-Temas-3-y-4.pdf
Geometria-Diferencial-II-Tema-2.pdf
Geometria-Diferencial-II-Tema-1.pdf

He publicado nuevos apuntes de 3º Geometría diferencial II: Ejercicios-resueltos.pdf

18 páginas

He publicado nuevos apuntes de 3º Geometría diferencial II: Preguntas-teoria-2025.pdf

8 páginas

He publicado nuevos examenes de 3º Geometría diferencial II: Examen-final.pdf

1 página

He publicado nuevos apuntes de 3º Geometría diferencial II: PracticaTema2GDII.pdf

3 páginas

He publicado nuevos apuntes de 3º Geometría diferencial II: PracticaTema3GDII.pdf

3 páginas

He publicado nuevos apuntes de 3º Geometría diferencial II: PracticaTema4GDII.pdf

4 páginas

He publicado nuevos apuntes de 3º Geometría diferencial II: PracticaTema5GDII.pdf

3 páginas

apuntes

-

GEODIF 2

el parcial fueron preguntas sobre los ejercicios expuestos

DEFINICIONES-GEO2.pdf
PROPOSICIONES-GEO2.pdf
PARCIAL-PRACTICA.pdf

He publicado nuevos apuntes de 3º Geometría diferencial II: TEMARIO-COMPLETO-GEOMETRIA-DIFERENCIAL-II.pdf

84 páginas

He publicado nuevos apuntes de 3º Geometría diferencial II: Geometria-Diferencial-II-23-24.pdf

162 páginas

He publicado nuevos apuntes de 3º Geometría diferencial II: geo-dif-2-resumen-dems.pdf

13 páginas

He publicado nuevos apuntes de 3º Geometría diferencial II: apuntesgeodifII.pdf

11 páginas

apuntes

-

Teoría Apuntes

He publicado nuevos apuntes de 3º Geometría diferencial II: Teoría Apuntes

Tema-4.pdf
Tema-3.pdf
Tema-2.pdf
Tema-1.pdf
Tema-5.pdf

apuntes

-

TODA la teoría

He publicado nuevos apuntes de 3º Geometría diferencial II: TODA la teoría

Tema-1-Variedad-Diferenciable-.pdf
Tema-2-Espacio-Tangente.pdf
Tema-5-Campos-De-Tensores-Y-Formas-Diferenciables.pdf
Tema-4-Campo-De-Vectores.pdf
Tema-3-Inmersiones-Submersiones-Y-Subvariedades.pdf

apuntes

-

Geometría diferencial II

He publicado nuevos apuntes de 3º Geometría diferencial II: Geometría diferencial II

PracticaTema3GDII.pdf
teoria-geometria-diferencial-II.pdf
PracticaTema2GDII.pdf
ejercicios-Geometria-diferencial-II.pdf
PracticaTema4GDII.pdf
PracticaTema1GDII.pdf

otros

-

Esquemas y resumen

He publicado nuevos otros de 3º Geometría diferencial II: Esquemas y resumen

Resumen.pdf
T1-Esquema.pdf
T2-Esquema.pdf
T4-Esquema.pdf
T3-Esquema.pdf
Anónimo

@Anónimo

practicas

-

Tema 4

He publicado nuevos practicas de 3º Geometría diferencial II: Tema 4

GrupoCTema4compartir.pdf
GrupoATema4compartir.pdf
PT4alphaGrupoCc.pdf
GrupoBTema4compartir.pdf
PT4deltaGrupoDc.pdf
PT4gammaGrupoAc.pdf
Anónimo

@Anónimo

practicas

-

Tema 3

He publicado nuevos practicas de 3º Geometría diferencial II: Tema 3

PT3deltaGrupoD.pdf
GrupoBTema3compartir.pdf
PT3gammaGrupoC.pdf
PT3alphaGrupoA.pdf
GrupoCTema3compartir.pdf
GrupoATema3compartir.pdf
Anónimo

@Anónimo

practicas

-

Tema 2

He publicado nuevos practicas de 3º Geometría diferencial II: Tema 2

GrupoCPractica2compartir.pdf
Grupo-APractica2compartir.pdf
PT2deltaGrupoA.pdf
PT2gammaGrupoD.pdf
GrupoBPractica2compartir.pdf
PT2alphaGrupoC.pdf
Anónimo

@Anónimo

practicas

-

Tema 1

He publicado nuevos practicas de 3º Geometría diferencial II: Tema 1

PT1betaGrupoA.pdf
PT1gammaGrupoC.pdf
PT1alphaGrupoD.pdf
Anónimo

@Anónimo

apuntes

-

Apuntes Teresa

He publicado nuevos apuntes de 3º Geometría diferencial II: Apuntes Teresa

T3SubInSuv.pdf
T1VD.pdf
T2EspTan.pdf
T4CamposVecSec1-4.pdf
T4CamposVecSec5-6b.pdf

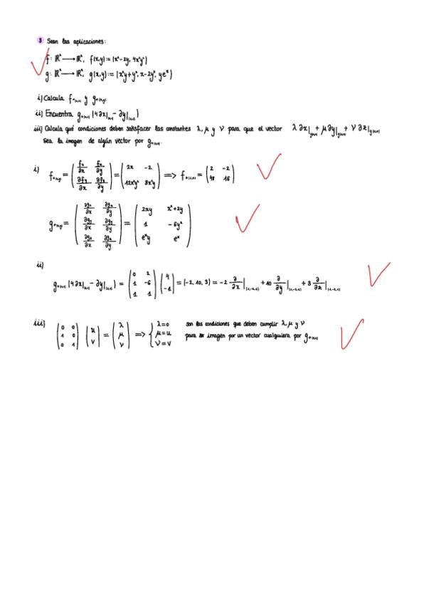
He publicado nuevos ejercicios de 3º Geometría diferencial II: ejerciciosGDII.pdf

12 páginas
Anónimo

@Anónimo

otros

-

Apuntes y ejercicios

He publicado nuevos otros de 3º Geometría diferencial II: Apuntes y ejercicios

ejercicios-tema-12.pdf
apuntes-2019.pdf
ejercicios-tema-11.pdf
ejercicios-tema-9.pdf
ejercicios-tema-10-2-parte.pdf
ejercicios-tema-10-1-parte.pdf
¡Estás al día!

¡Estás al día!

Has visto todos los archivos