Todo
Apuntes
Ejercicios
Exámenes
chevron_left
chevron_right

Incluyen el Tema 0 de preliminares (conjuntos y aplicaciones, estructuras algebraicas: grupos, anillos y cuerpos), el Tema 1 de matrices, determinantes y sistemas de ecuaciones lineales, y el Tema 2 de espacios vectoriales, subespacios, sistemas de genera

45 páginas

Tema 2

6 páginas

He publicado nuevos examenes de 1º Geometría I: Parcial-I-Geometria-I-2024.pdf

1 página

He publicado nuevos examenes de 1º Geometría I: Examen-Ordinaria-Geometria-I-2025.pdf

1 página

He publicado nuevos apuntes de 1º Geometría I: Aplicaciones-Lineales.pdf

9 páginas

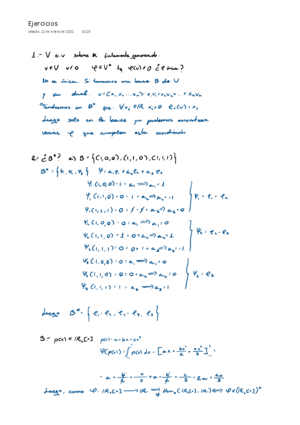
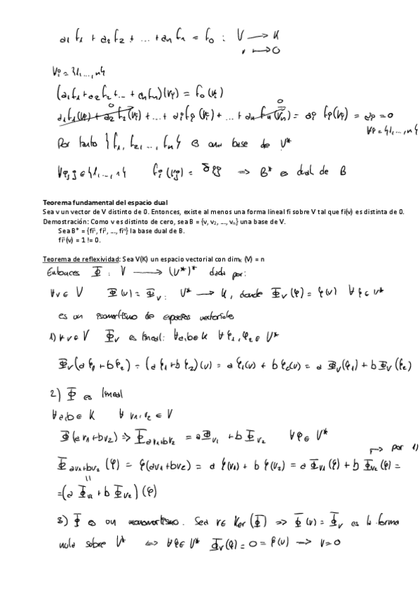
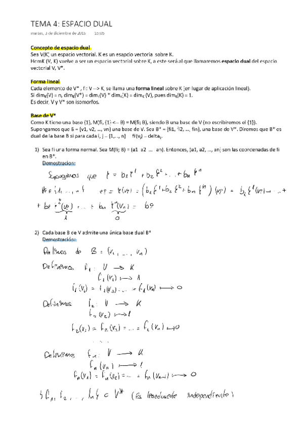
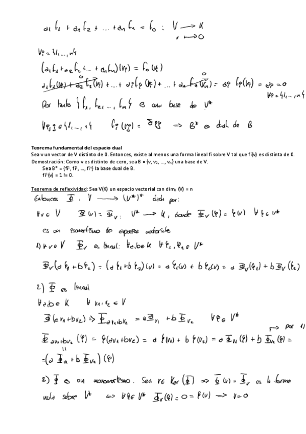
He publicado nuevos apuntes de 1º Geometría I: Espacio-Dual.pdf

2 páginas

Tema 1

5 páginas

Tema 1

6 páginas

examenes

-

Exámenes

He publicado nuevos examenes de 1º Geometría I: Exámenes

Examenes-finales.pdf
Examenes-finales.pdf
Examenes-parciales.pdf
Examenes-parciales.pdf

He publicado nuevos apuntes de 1º Geometría I: Apuntes-de-clase.pdf

7 páginas

ejercicios

-

Academia Intensivo

He publicado nuevos ejercicios de 1º Geometría I: Academia Intensivo

Apuntes-y-ejercicios-academia.pdf
Apuntes-y-ejercicios-academia.pdf
Actividades-academia.pdf
Actividades-academia.pdf

He publicado nuevos examenes de 1º Geometría I: soluciones geometria extraordinario 2024.pdf

5 páginas

He publicado nuevos examenes de 1º Geometría I: examen extraordinario 2024 geometria.pdf

1 página

He publicado nuevos examenes de 1º Geometría I: Solucion-ordinario-2024-Ana-Hurtado.pdf

8 páginas
Anónimo

@Anónimo

He publicado nuevos apuntes de 1º Geometría I: DEMOSTRACIONES-TEMA-3.pdf

4 páginas
Anónimo

@Anónimo

He publicado nuevos ejercicios de 1º Geometría I: Problemas-1-GI.pdf

6 páginas
Anónimo

@Anónimo

He publicado nuevos apuntes de 1º Geometría I: TEOREMAS-Y-DEMOSTRACIONES-COMPLETO.pdf

7 páginas

He publicado nuevos examenes de 1º Geometría I: Examen-Ordinario-23-24.pdf

1 página

He publicado nuevos examenes de 1º Geometría I: Examen-parcial-aplicaciones-lineales-23-24.pdf

1 página

He publicado nuevos examenes de 1º Geometría I: Examen-parcial-Tema-1-2.pdf

1 página

examenes

-

Exámenes GEO1

He publicado nuevos examenes de 1º Geometría I: Exámenes GEO1

examenes-parcial20192020-GEO1.pdf
examenes-parcial20192020-GEO1.pdf
examenes-ordinaria20192020-GEO1.pdf
examenes-ordinaria20192020-GEO1.pdf

ejercicios

-

Ejercicios GEO1

He publicado nuevos ejercicios de 1º Geometría I: Ejercicios GEO1

ejercicios-relacion2-GEO1.pdf
ejercicios-relacion2-GEO1.pdf
ejercicios-relacion3-GEO1.pdf
ejercicios-relacion3-GEO1.pdf
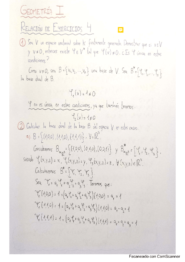
ejercicios-relacion4-GEO1.pdf
ejercicios-relacion4-GEO1.pdf

He publicado nuevos examenes de 1º Geometría I: tema-1.pdf

6 páginas

He publicado nuevos examenes de 1º Geometría I: examen-tema3.pdf

4 páginas

He publicado nuevos examenes de 1º Geometría I: examen-tema2-geo-I.pdf

4 páginas

He publicado nuevos ejercicios de 1º Geometría I: Tema-3.pdf

9 páginas

He publicado nuevos ejercicios de 1º Geometría I: Tema-2.pdf

5 páginas

He publicado nuevos ejercicios de 1º Geometría I: Tema-1.pdf

5 páginas

He publicado nuevos apuntes de 1º Geometría I: Tema-3.pdf

28 páginas

He publicado nuevos apuntes de 1º Geometría I: Tema-2.pdf

30 páginas

He publicado nuevos apuntes de 1º Geometría I: Tema-1.pdf

40 páginas

He publicado nuevos apuntes de 1º Geometría I: Tema-2.pdf

7 páginas

He publicado nuevos apuntes de 1º Geometría I: Tema-3.pdf

7 páginas

He publicado nuevos apuntes de 1º Geometría I: Tema-1.pdf

10 páginas

He publicado nuevos apuntes de 1º Geometría I: Geometria-I.pdf

5 páginas

examenes

-

Examen Ordinaria y Extraordinaria

Examen Ordinaria y Extraordinaria Geometría I 2023

Ordinaria-2023-Resuelto.pdf
Ordinaria-2023-Resuelto.pdf
Extraordinaria-2023.pdf
Extraordinaria-2023.pdf

He publicado nuevos apuntes de 1º Geometría I: Tema4-Geo.pdf

8 páginas

He publicado nuevos apuntes de 1º Geometría I: Tema3-Geo.pdf

12 páginas

He publicado nuevos apuntes de 1º Geometría I: Tema2-Geo.pdf

26 páginas

He publicado nuevos apuntes de 1º Geometría I: Tema1-Geo.pdf

46 páginas

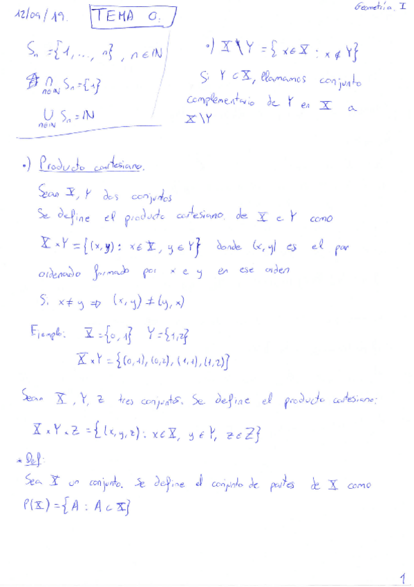
He publicado nuevos apuntes de 1º Geometría I: Tema0-Geo.pdf

26 páginas

ejercicios

-

Tema 3 Aplicaciones lineales

Amarillo= Fácil - Verde=Medio - Azul=Difícil

Relacion-3.pdf
Relacion-3.pdf

apuntes

-

APUNTES Y EJERCICIOS 2M GEOMETRÍA I

He publicado nuevos apuntes de 1º Geometría I: APUNTES Y EJERCICIOS 2M GEOMETRÍA I

tema-1-y-2.pdf
tema-1-y-2.pdf
tema-3-y-4.pdf
tema-3-y-4.pdf

He publicado nuevos ejercicios de 1º Geometría I: EjerciciosGeometriaI.pdf

25 páginas

apuntes

-

Geometría I

He publicado nuevos apuntes de 1º Geometría I: Geometría I

Parcial-DGIIM-2021-T.pdf
Parcial-DGIIM-2021-T.pdf
Parcial-DGIIM-2021-T.pdf
Parcial-DGIIM-2021-T.pdf
Ejercicios-Espacio-Dual.pdf
Ejercicios-Espacio-Dual.pdf

He publicado nuevos examenes de 1º Geometría I: Prueba2DobleGrado-1.pdf

1 página

apuntes

-

Geometría I

He publicado nuevos apuntes de 1º Geometría I: Geometría I

Tema-1-SEL-y-Matrices.pdf
Tema-1-SEL-y-Matrices.pdf
Tema-3-Aplicaciones-Lineales.pdf
Tema-3-Aplicaciones-Lineales.pdf
Tema-2-Espacios-Vectoriales.pdf
Tema-2-Espacios-Vectoriales.pdf

examenes

-

Pruebas, parcial y final

He publicado nuevos examenes de 1º Geometría I: Pruebas, parcial y final

Prueba2.pdf
Prueba2.pdf
Prueba1.pdf
Prueba1.pdf
Enero-2018.pdf
Enero-2018.pdf

He publicado nuevos apuntes de 1º Geometría I: GEOMETRIA-I.pdf

54 páginas

He publicado nuevos apuntes de 1º Geometría I: GEOMETRIA-I.pdf

54 páginas
Anónimo

@Anónimo

apuntes

-

Relaciones de ejercicios

He publicado nuevos apuntes de 1º Geometría I: Relaciones de ejercicios

Relacion-Espacios-vectoriales.pdf
Relacion-Espacios-vectoriales.pdf
Relacion-Aplicaciones-lineales.pdf
Relacion-Aplicaciones-lineales.pdf
Relacion-Espacio-dual.pdf
Relacion-Espacio-dual.pdf
Anónimo

@Anónimo

apuntes

-

Apuntes Geometría I

He publicado nuevos apuntes de 1º Geometría I: Apuntes Geometría I

SEL.pdf
SEL.pdf
Apuntes.pdf
Apuntes.pdf
Espacios-vectoriales.pdf
Espacios-vectoriales.pdf

He publicado nuevos apuntes de 1º Geometría I: Tema-4-Espacio-Dual.pdf

3 páginas

He publicado nuevos apuntes de 1º Geometría I: Tema-3-Aplicaciones-Lineales.pdf

8 páginas

He publicado nuevos apuntes de 1º Geometría I: Tema-4-Espacio-Dual.pdf

3 páginas

He publicado nuevos apuntes de 1º Geometría I: Tema-3-Aplicaciones-Lineales.pdf

8 páginas
Anónimo

@Anónimo

He publicado nuevos apuntes de 1º Geometría I: Apuntes.pdf

15 páginas