Geometría I
He publicado nuevos examenes de 1º Geometría I: Examen-extraordinaria-Geometria-l-2026-grado-matematicas-y-fisica.pdf
He publicado nuevos examenes de 1º Geometría I: Examen-ordinario-geometria-I-2026-grado-matematicas-y-fisica.pdf
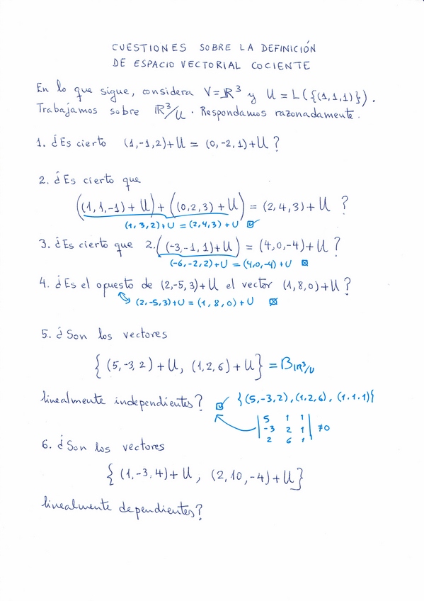
Os dejo por aquí unos ejercicios del tema de aplicaciones lineales resueltos.
Resumen de Geometría I en dos páginas. Incluye lo más esencial (sin demostraciones) y útil para los exámenes
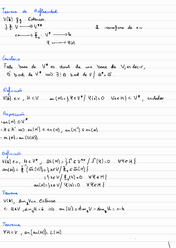
He publicado nuevos apuntes de 1º Geometría I: Tema-4-Espacio-dual.pdf
Estas son las preguntas teóricas (del tipo enunciar y/o demostrar un teorema o similar) que más han salido en exámenes de años anteriores
He publicado nuevos apuntes de 1º Geometría I: Resumen-Tema-1-Geo-I.pdf
Apuntes COMPLETOS del Tema 2 de la asignatura de Geometría I
apuntes
-
Apuntes Teoría
He publicado nuevos apuntes de 1º Geometría I: Apuntes Teoría
apuntes
-
Relaciones resueltas
He publicado nuevos apuntes de 1º Geometría I: Relaciones resueltas
He publicado nuevos examenes de 1º Geometría I: Parcial-T1T2-SOLUCIONADO.pdf
Dejo por aquí un esquema de todo el tema de vectores vectoriales de geometría I con Teoremas, corolarios, proposiciones y definiciones.
He publicado nuevos examenes de 1º Geometría I: Parcial-2-resuelto-2025-2026.pdf
He publicado nuevos examenes de 1º Geometría I: Parcial-1-resuelto-2025-2026.pdf
He publicado nuevos examenes de 1º Geometría I: 2016-12-17-Prueba-1.pdf
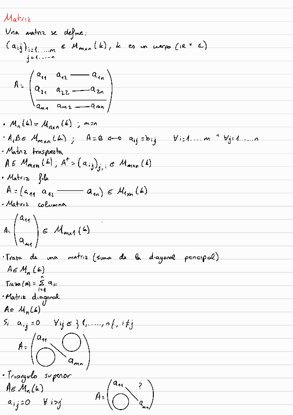
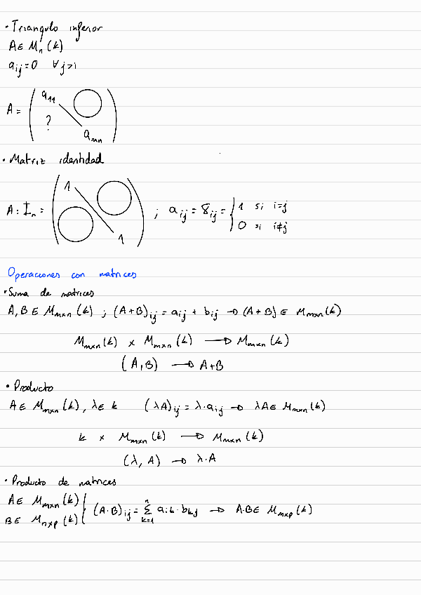
He publicado nuevos apuntes de 1º Geometría I: T1-Matrices-Apuntes.pdf
ejercicios
-
RESUELTAS-Relaciones 2025
He publicado nuevos ejercicios de 1º Geometría I: RESUELTAS-Relaciones 2025
examenes
-
RESUELTOS-Parciales y Finales 24-25
He publicado nuevos examenes de 1º Geometría I: RESUELTOS-Parciales y Finales 24-25
examenes
-
Ejercicios y Examenes anteriores
He publicado nuevos examenes de 1º Geometría I: Ejercicios y Examenes anteriores
apuntes
-
Temas y Apuntes de clase
He publicado nuevos apuntes de 1º Geometría I: Temas y Apuntes de clase
INICIO DE CURSO GEOMETRÍA I ACADEMIA UNIVERSITARIA FORMACIÓN MANUEL POZO Clases modalidad online y presencial. Todas tus CLASES GRABADAS PARA QUE PUEDAS VISUALIZARLAS HASTA EL DÍA DEL EXAMEN Resolución de todos tus ejercicios y exámenes de convocatorias anteriores. Profesores especialidados y temario propio. Acceso a PLATAFORMA VIRTUAL CON CONTENIDO EXCLUSIVO ¡Solicita tu clase de prueba en grupo sin compromiso!

He publicado nuevos examenes de 1º Geometría I: Control-Geometria-I-Temas-1-y-2-Grupo-A.pdf
He publicado nuevos ejercicios de 1º Geometría I: Geometria-I.-Matematicas.pdf
He publicado nuevos apuntes de 1º Geometría I: Geometria-I.-Matematicas.pdf
He publicado nuevos apuntes de 1º Geometría I: geometria-i-temas-1-y-2.pdf
He publicado nuevos examenes de 1º Geometría I: Extraordinario-resuelto-2024-2025.pdf
He publicado nuevos examenes de 1º Geometría I: Ordinario-resuelto-2024-2025.pdf
He publicado nuevos examenes de 1º Geometría I: Parcial-2-resuelto-2024-2025.pdf
He publicado nuevos examenes de 1º Geometría I: Parcial-1-resuelto-2024-2025.pdf
He publicado nuevos apuntes de 1º Geometría I: Espacios-vectoriales-tema-2.pdf
He publicado nuevos apuntes de 1º Geometría I: Matrices-permutaciones-y-determinantes-tema-1.pdf
He publicado nuevos apuntes de 1º Geometría I: aplicaciones-lineales-tema-3.pdf
He publicado nuevos examenes de 1º Geometría I: EJERCICIOA-DE-EXAMENES-RESUELTOS-GEOMETRIA-I.pdf
examenes
-
ExámenesResueltos
He publicado nuevos examenes de 1º Geometría I: ExámenesResueltos
ejercicios
-
RelacionesResueltas
He publicado nuevos ejercicios de 1º Geometría I: RelacionesResueltas
He publicado nuevos examenes de 1º Geometría I: 1-parcial-23-34-RESUELTO-infomates.pdf
He publicado nuevos examenes de 1º Geometría I: 1-parcial-23-24-PRACTICA-RESUELTA.pdf
He publicado nuevos examenes de 1º Geometría I: 1-parcial-23-24-TEORIA-RESUELTA.pdf
He publicado nuevos examenes de 1º Geometría I: Parciales-temas-1-y-2-doble-opcion.pdf
He publicado nuevos apuntes de 1º Geometría I: Tema-2-Espacios-Vectoriales.pdf
He publicado nuevos ejercicios de 1º Geometría I: Ejerciciosresueltos.pdf
ejercicios
-
EjerciciosGeo_I
He publicado nuevos ejercicios de 1º Geometría I: EjerciciosGeo_I
apuntes
-
ApuntesGeo_I
He publicado nuevos apuntes de 1º Geometría I: ApuntesGeo_I