Geometría II
He publicado nuevos examenes de 1º Geometría II: Primera-Prueba-diagonalizacion-de-Geometria-II-2026.pdf
Resumen del tema 1 (diagonalización de endomorfismos) en 1 página NOTA: solo incluye las demostraciones más importantes
INICIO DE CURSO GEOMETRÍA II ¡CONSIGUE CON TU INSCRIPCIÓN EL CURSO DE FÍSICA GRATIS! Resumen de cada tema. Resolución de ejercicios y exámenes de convocatorias anteriores. Clases grabadas hasta el día del examen. Profesor a tu disposición en cualquier momento para dudas. INFÓRMATE SIN COMPROMISO Y DA UNA CLASE DE PRUEBA EN GRUPO.

apuntes
-
Ejercicios exam resueltos
He publicado nuevos apuntes de 2º Geometría II: Ejercicios exam resueltos
He publicado nuevos examenes de 1º Geometría II: ExtraordinarioGeometriaII2425RESUELTO.pdf
Demostración del Teorema de Caley-Hamilton de Geo II
He publicado nuevos ejercicios de 1º Geometría II: Geometria-II-Practicas-24-25.pdf
He publicado nuevos apuntes de 1º Geometría II: Apuntes-Clase-Geometria-II-24-25.pdf
He publicado nuevos apuntes de 1º Geometría II: Isometrias-y-extra.pdf
He publicado nuevos apuntes de 1º Geometría II: EXTRAORDINARIA-2025.pdf
He publicado nuevos examenes de 1º Geometría II: Ordinario Geometría II 24/25 RESUELTO.pdf
He publicado nuevos examenes de 2º Geometría II: Julio-24-resuelto.pdf
He publicado nuevos ejercicios de 2º Geometría II: Ejercicios-cuadricas-afines.pdf
He publicado nuevos ejercicios de 2º Geometría II: Ejercicios-matrices-de-Jordan.pdf
He publicado nuevos apuntes de 2º Geometría II: Preguntas-teoricas.pdf
examenes
-
EXAMENES + EJERCICIOS-Geometria II
EXAMENES y ejercicios de TODOS los temas. Documentos de cada tema con sus respectivos ejercicios y exámenes y un documento conjunto de todos los temas. Enunciados de exámenes de otros años.
He publicado nuevos examenes de 2º Geometría II: Examen-final-Junio-2025.pdf
He publicado nuevos examenes de 1º Geometría II: Ordinario-2025-Geometria-II.pdf
He publicado nuevos ejercicios de 1º Geometría II: relacion 3 RESUELTA.pdf
He publicado nuevos examenes de 2º Geometría II: Examen-Mayo-2025-resuelto.pdf
apuntes
-
Conceptos importantes de los 3 capitulos
Conceptos relevantes de todos los capitulos
He publicado nuevos examenes de 2º Geometría II: Examen-final-24-mayo-2024-resuelto.pdf
He publicado nuevos examenes de 2º Geometría II: Examen-final-Junio-2023-resuelto.pdf
He publicado nuevos examenes de 2º Geometría II: Examen-Junio-2024-resuelto.pdf
He publicado nuevos examenes de 2º Geometría II: Parcial-25-abril-2025-resuelto.pdf
He publicado nuevos apuntes de 2º Geometría II: Examen-Parcial-2025.pdf
He publicado nuevos apuntes de 2º Geometría II: Preguntas-teoricas.pdf
He publicado nuevos examenes de 1º Geometría II: SOLUCION-PARCIAL-1-2025.pdf
He publicado nuevos ejercicios de 2º Geometría II: Ejercicios de cuádricas afines y cónicas euclídeas.pdf
He publicado nuevos examenes de 1º Geometría II: Segundo-Parcial-Geometria-II-Abril-2025.pdf
Geometría Proyectiva II (Montea e Isométrico) Diseño industrial
Geometría Proyectiva II (Isométrico) Diseño industrial
Geometría Proyectiva II (Montea e Isométrico) Diseño industrial
Geometría Proyectiva II (Montea e Isométrico) Diseño industrial
Geometría Proyectiva II (Montea e Isométrico) Diseño industrial
No está corregido por el profesor, pero está hecho lo mejor posible
apuntes
-
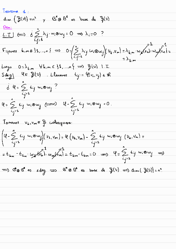
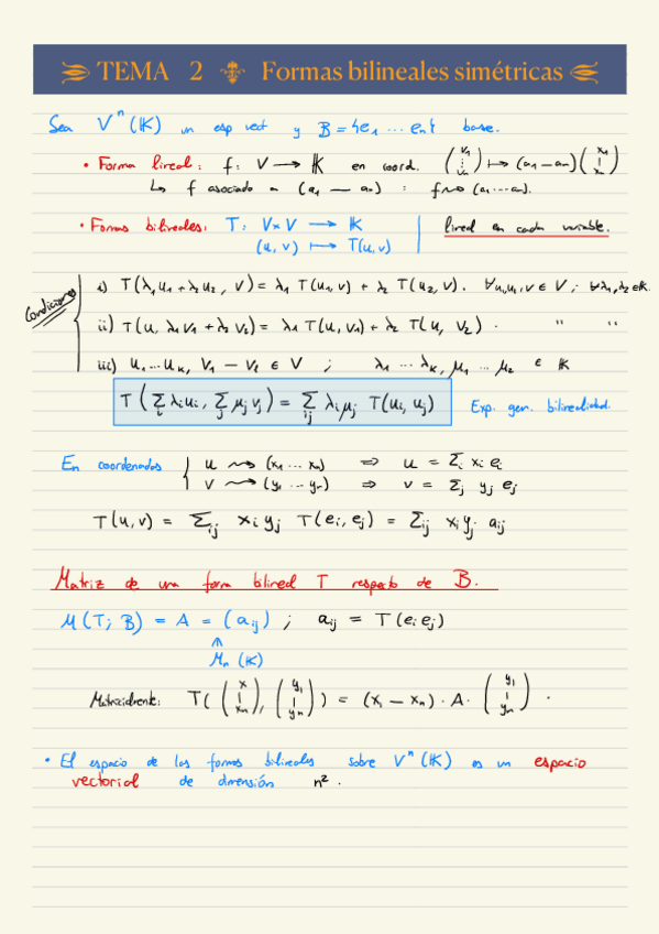
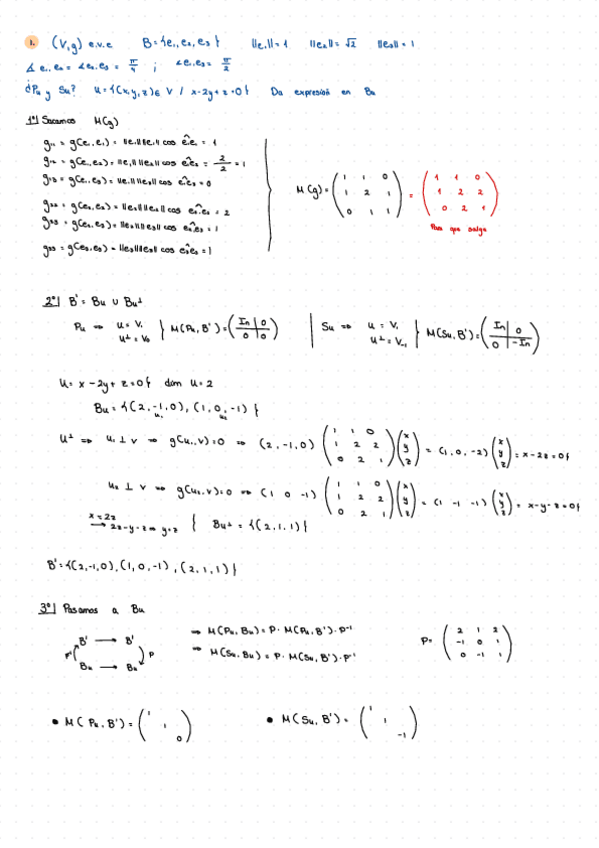
Capitulo 2 (Formas bilineales)
He publicado nuevos apuntes de 1º Geometría II: Capitulo 2 (Formas bilineales)
Demostración de los teoremas, lemas y proposiciones que pueden caer en el parcial del capitulo 2.
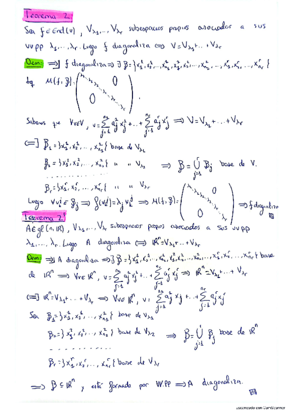
Demostración de los teoremas que pueden caer en el parcial del capitulo 1. Para endomorfismo y para matrices cada uno
apuntes
-
Capitulo 1 (Diagonalización de endomorfismo)
Apuntes de clase con demostraciones (las que caen en exámenes))
apuntes
-
Apuntes y ejercicios
He publicado nuevos apuntes de 2º Geometría II: Apuntes y ejercicios
apuntes
-
Temario
He publicado nuevos apuntes de 1º Geometría II: Temario