Geometría II
He publicado nuevos examenes de 1º Geometría II: Primera-Prueba-diagonalizacion-de-Geometria-II-2026.pdf
Resumen del tema 1 (diagonalización de endomorfismos) en 1 página NOTA: solo incluye las demostraciones más importantes
INICIO DE CURSO GEOMETRÍA II ¡CONSIGUE CON TU INSCRIPCIÓN EL CURSO DE FÍSICA GRATIS! Resumen de cada tema. Resolución de ejercicios y exámenes de convocatorias anteriores. Clases grabadas hasta el día del examen. Profesor a tu disposición en cualquier momento para dudas. INFÓRMATE SIN COMPROMISO Y DA UNA CLASE DE PRUEBA EN GRUPO.

He publicado nuevos examenes de 1º Geometría II: ExtraordinarioGeometriaII2425RESUELTO.pdf
Demostración del Teorema de Caley-Hamilton de Geo II
He publicado nuevos ejercicios de 1º Geometría II: Geometria-II-Practicas-24-25.pdf
He publicado nuevos apuntes de 1º Geometría II: Apuntes-Clase-Geometria-II-24-25.pdf
He publicado nuevos apuntes de 1º Geometría II: Isometrias-y-extra.pdf
He publicado nuevos apuntes de 1º Geometría II: EXTRAORDINARIA-2025.pdf
He publicado nuevos examenes de 1º Geometría II: Ordinario Geometría II 24/25 RESUELTO.pdf
examenes
-
EXAMENES + EJERCICIOS-Geometria II
EXAMENES y ejercicios de TODOS los temas. Documentos de cada tema con sus respectivos ejercicios y exámenes y un documento conjunto de todos los temas. Enunciados de exámenes de otros años.
He publicado nuevos examenes de 1º Geometría II: Ordinario-2025-Geometria-II.pdf
He publicado nuevos ejercicios de 1º Geometría II: relacion 3 RESUELTA.pdf
apuntes
-
Conceptos importantes de los 3 capitulos
Conceptos relevantes de todos los capitulos
He publicado nuevos examenes de 1º Geometría II: SOLUCION-PARCIAL-1-2025.pdf
He publicado nuevos examenes de 1º Geometría II: Segundo-Parcial-Geometria-II-Abril-2025.pdf
No está corregido por el profesor, pero está hecho lo mejor posible
apuntes
-
Capitulo 2 (Formas bilineales)
He publicado nuevos apuntes de 1º Geometría II: Capitulo 2 (Formas bilineales)
Demostración de los teoremas, lemas y proposiciones que pueden caer en el parcial del capitulo 2.
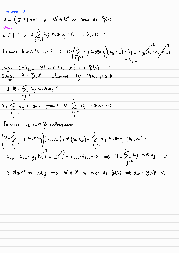
Demostración de los teoremas que pueden caer en el parcial del capitulo 1. Para endomorfismo y para matrices cada uno
apuntes
-
Capitulo 1 (Diagonalización de endomorfismo)
Apuntes de clase con demostraciones (las que caen en exámenes))
apuntes
-
Temario
He publicado nuevos apuntes de 1º Geometría II: Temario
He publicado nuevos examenes de 1º Geometría II: ControlTema2Resuelto.pdf
apuntes
-
ApuntesGeo_II
He publicado nuevos apuntes de 1º Geometría II: ApuntesGeo_II
He publicado nuevos examenes de 1º Geometría II: Geometria-II-Ordinario-2024-Resuelto.pdf
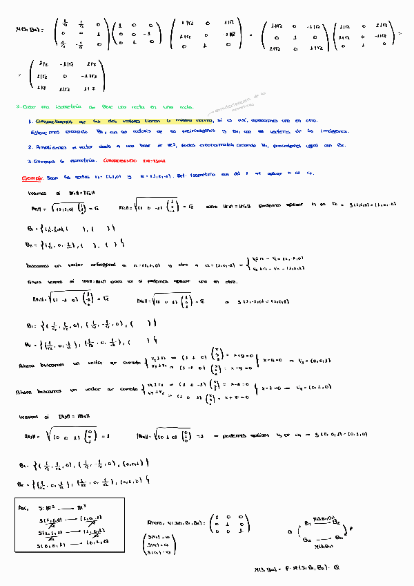
He publicado nuevos apuntes de 1º Geometría II: Ejercicios-modelo-isometrias.pdf
He publicado nuevos apuntes de 1º Geometría II: Relacion-Tema-3-Resuelta.pdf
He publicado nuevos ejercicios de 1º Geometría II: 3-Problemas-EuclideoResueltos-Grupo-B-tardes.pdf
He publicado nuevos examenes de 1º Geometría II: 2023junioResuelto.pdf
He publicado nuevos apuntes de 1º Geometría II: 2023-julio-resuelto.pdf
He publicado nuevos apuntes de 1º Geometría II: Resumen-Geometria-2.pdf
apuntes
-
Geometría II
He publicado nuevos apuntes de 1º Geometría II: Geometría II
He publicado nuevos examenes de 1º Geometría II: Parcial-II-2024-Grupo-B-resuelto.pdf
He publicado nuevos examenes de 1º Geometría II: Geometria-II-Prueba-2-Grupo-B-2324.pdf
He publicado nuevos apuntes de 1º Geometría II: Relacion-2-Problemas-Formas2024resuelto.pdf
He publicado nuevos apuntes de 1º Geometría II: Solucionejerciciodeclase-tema-1-diagonalizacion.pdf
He publicado nuevos examenes de 1º Geometría II: Parcial-2-RESUELTO.pdf
He publicado nuevos examenes de 1º Geometría II: Examenes-1819-RESUELTOS.pdf
He publicado nuevos examenes de 1º Geometría II: Parcial-2019-RESUELTO.pdf
He publicado nuevos examenes de 1º Geometría II: ORDINARIO-2021-RESUELTO.pdf
He publicado nuevos examenes de 1º Geometría II: ORDINARIO-2020-RESUELTO.pdf