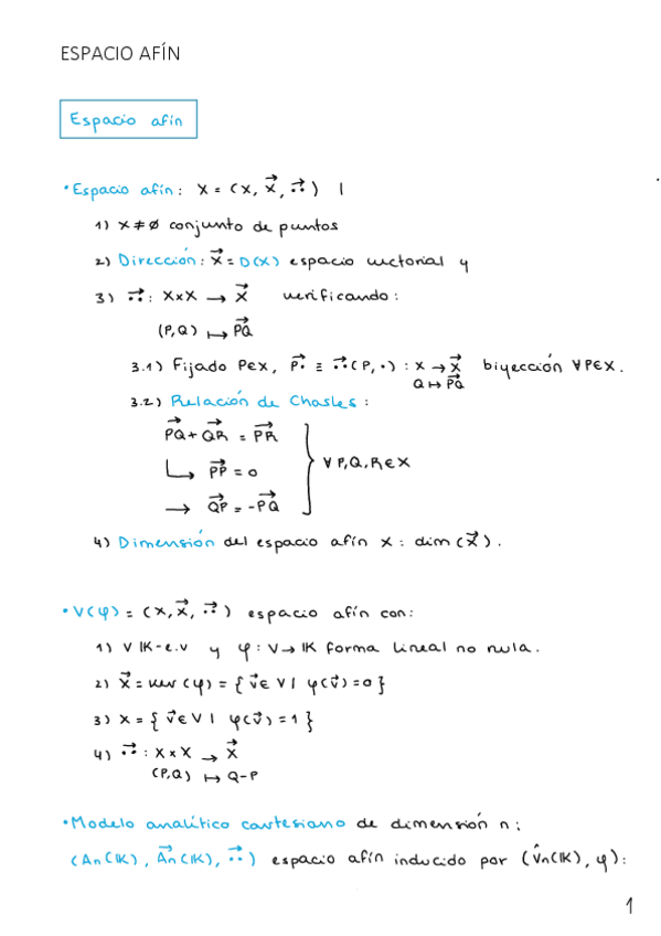
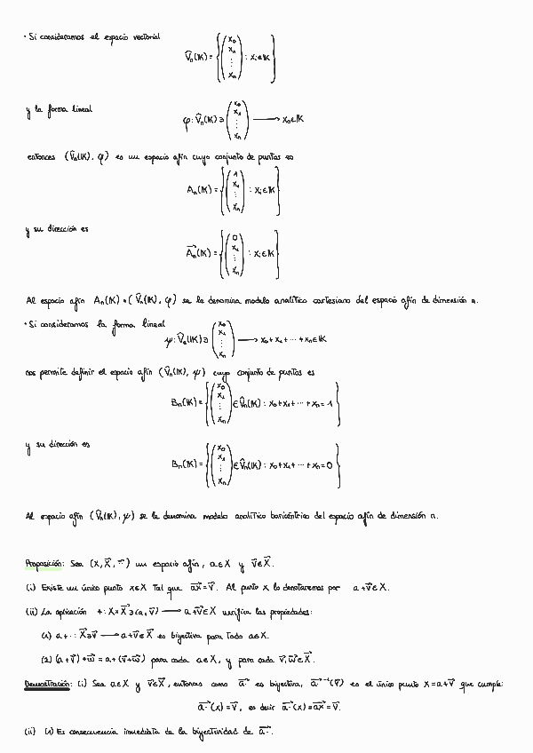
Geometrías Lineales

chevron_left
chevron_right
Todo
Apuntes
Ejercicios
Exámenes
chevron_left
chevron_right

He publicado nuevos apuntes de 2º Geometrías Lineales: GEOMETRÍA PROYECTIVA COMPLETA.pdf

11 páginas

He publicado nuevos apuntes de 2º Geometrías Lineales: GEOMETRÍA EUCLIDIANA COMPLETA.pdf

8 páginas

He publicado nuevos apuntes de 2º Geometrías Lineales: GEOMETRÍA AFÍN COMPLETA.pdf

9 páginas

apuntes

-

GEOMETRÍA PROYECTIVA POR TEMAS

He publicado nuevos apuntes de 2º Geometrías Lineales: GEOMETRÍA PROYECTIVA POR TEMAS

1. ESPACIO PROYECTIVO.pdf
2. ESPACIO AFÍN EN EL ESPACIO PROYECTIVO.pdf
3. DUALIDAD Y RAZÓN DOBLE.pdf
4. HOMOGRAFÍAS.pdf
5. CUÁDRICAS.pdf

He publicado nuevos apuntes de 2º Geometrías Lineales: RESUMEN GEOMETRÍA EUCLIDIANA.pdf

7 páginas

He publicado nuevos apuntes de 2º Geometrías Lineales: RESUMEN GEOMETRÍA AFÍN.pdf

5 páginas

apuntes

-

GEOMETRÍA EUCLIDIANA POR TEMAS

He publicado nuevos apuntes de 2º Geometrías Lineales: GEOMETRÍA EUCLIDIANA POR TEMAS

CLASIFICACIÓN DE ISOMETRÍAS.pdf
GEOMETRÍA AFÍN EUCLIDIANA.pdf
GEOMETRÍA VECTORIAL EUCLIDIANA.pdf
ISOMETRÍAS.pdf
GEOMETRIA AFÍN EQUIFORME.pdf

apuntes

-

GEOMETRÍA AFÍN POR TEMAS

He publicado nuevos apuntes de 2º Geometrías Lineales: GEOMETRÍA AFÍN POR TEMAS

APLICACIONES AFINES. TEOREMA FUNDAMENTAL..pdf
CLASIFICACIÓN DE ENDOMORFISMOS AFINES.pdf
ESPACIO AFÍN.pdf
EXTENSIONES VECTORIALES Y GEOMETRÍA ANALÍTICA.pdf
SUBESPACIOS AFINES.pdf

He publicado nuevos apuntes de 2º Geometrías Lineales: ÁLGEBRA LINEAL (REPASO).pdf

11 páginas

He publicado nuevos apuntes de 2º Geometrías Lineales: Geometrias-Lineales.pdf

41 páginas

He publicado nuevos examenes de 2º Geometrías Lineales: Geometrias-Lineales-Septiembre-Curso-21-22.pdf

1 página

He publicado nuevos examenes de 2º Geometrías Lineales: Geometrias-Lineales-Septiembre-Curso-18-19.pdf

1 página

He publicado nuevos examenes de 2º Geometrías Lineales: Geometrias-Lineales-Segunda-Semana-Curso-22-23.pdf

1 página

He publicado nuevos examenes de 2º Geometrías Lineales: Geometrias-Lineales-Segunda-Semana-Curso-21-22.pdf

1 página

He publicado nuevos examenes de 2º Geometrías Lineales: Geometrias-Lineales-Segunda-Semana-Curso-19-20.pdf

1 página

He publicado nuevos examenes de 2º Geometrías Lineales: Geometrias-Lineales-Segunda-Semana-Curso-18-19.pdf

1 página

He publicado nuevos examenes de 2º Geometrías Lineales: Geometrias-Lineales-Primera-Semana-Curso-22-23.pdf

1 página

He publicado nuevos examenes de 2º Geometrías Lineales: Geometrias-Lineales-Primera-Semana-Curso-21-22.pdf

1 página

He publicado nuevos examenes de 2º Geometrías Lineales: Geometrias-Lineales-Primera-Semana-Curso-19-20.pdf

1 página

He publicado nuevos examenes de 2º Geometrías Lineales: Geometrias-Lineales-Primera-Semana-Curso-18-19.pdf

1 página

He publicado nuevos apuntes de 2º Geometrías Lineales: apuntes-geometrias-lineales-temas-8-12.pdf

18 páginas

He publicado nuevos apuntes de 2º Geometrías Lineales: apuntes-geometria-afin-temas-2-7.pdf

27 páginas
Anónimo

@Anónimo

He publicado nuevos apuntes de 2º Geometrías Lineales: geo-t12.pdf

2 páginas
Anónimo

@Anónimo

He publicado nuevos apuntes de 2º Geometrías Lineales: geo-t10.pdf

1 página
Anónimo

@Anónimo

He publicado nuevos apuntes de 2º Geometrías Lineales: geo-t11.pdf

2 páginas
Anónimo

@Anónimo

He publicado nuevos apuntes de 2º Geometrías Lineales: geo-t8.pdf

1 página
Anónimo

@Anónimo

He publicado nuevos apuntes de 2º Geometrías Lineales: geo-t7.pdf

2 páginas
Anónimo

@Anónimo

He publicado nuevos apuntes de 2º Geometrías Lineales: geo-t5.pdf

2 páginas
Anónimo

@Anónimo

He publicado nuevos apuntes de 2º Geometrías Lineales: geo-t6.pdf

4 páginas
Anónimo

@Anónimo

He publicado nuevos apuntes de 2º Geometrías Lineales: geo-t4.pdf

5 páginas
Anónimo

@Anónimo

He publicado nuevos apuntes de 2º Geometrías Lineales: geo-t3.pdf

2 páginas
Anónimo

@Anónimo

He publicado nuevos apuntes de 2º Geometrías Lineales: geo-t2.pdf

1 página
Anónimo

@Anónimo

apuntes

-

resúmenes teóricos

He publicado nuevos apuntes de 2º Geometrías Lineales: resúmenes teóricos

resumen-teorico-capitulo-2.pdf
tema-4-GL.pdf
tema-3-GL.pdf
Anónimo

@Anónimo

examenes

-

examenes 2012 a 2014

He publicado nuevos examenes de 2º Geometrías Lineales: examenes 2012 a 2014

2013-GeoLin-Septiembre-SOLUCIONES.pdf
2015-GeoLin-Semana2-SOLUCIONES.pdf
2015-GeoLin-Septiembre-SOLUCIONES.pdf
2014-GeoLin-Semana1-SOLUCIONES.pdf
2013-GeoLin-Semana1-SOLUCIONES.pdf
2014-GeoLin-Septiembre-SOLUCIONES.pdf
Anónimo

@Anónimo

examenes

-

examenes2016 hasta 2018

He publicado nuevos examenes de 2º Geometrías Lineales: examenes2016 hasta 2018

2018-GeoLin-Semana2-SOLUCIONES.pdf
2017-GeoLin-Semana1-SOLUCIONES.pdf
2017-GeoLin-Septiembre-SOLUCIONES.pdf
2016-GeoLin-Semana2-SOLUCIONES.pdf
2016-GeoLin-Semana1-SOLUCIONES.pdf
2017-GeoLin-Semana2-SOLUCIONES.pdf
Anónimo

@Anónimo

examenes

-

examenes variosresueltos

He publicado nuevos examenes de 2º Geometrías Lineales: examenes variosresueltos

05a-2006a-sol06.pdf
06b-2005b-exafe05.pdf
04b-2007b-solfeb07.pdf
03a-2008a-solexen08.pdf
03b-2008b-solexfe08.pdf
06a-2005a-exae05.pdf
Anónimo

@Anónimo

apuntes

-

examenes de lic.

He publicado nuevos apuntes de 2º Geometrías Lineales: examenes de lic.

04a-2007a-enero07soln.pdf
04b-2007b-solfeb07.pdf
04c-2007c-se07sol1p.pdf
05a-2006a-sol06.pdf
06b-2005b-exafe05.pdf
07a-2004a-exaen04.pdf
Anónimo

@Anónimo

He publicado nuevos examenes de 2º Geometrías Lineales: 07sep1res.pdf

4 páginas
Anónimo

@Anónimo

He publicado nuevos apuntes de 2º Geometrías Lineales: dual-3D-pag6.pdf

12 páginas
Anónimo

@Anónimo

apuntes

-

apuntes geometria

He publicado nuevos apuntes de 2º Geometrías Lineales: apuntes geometria

apresolucionej.pdf
endomorafines.pdf
Jordan.pdf
Anónimo

@Anónimo

He publicado nuevos examenes de 2º Geometrías Lineales: SolucionExamenFebrero2019.pdf

3 páginas
Anónimo

@Anónimo

He publicado nuevos examenes de 2º Geometrías Lineales: Solucionexamenfebrero2017.pdf

3 páginas
Anónimo

@Anónimo

He publicado nuevos apuntes de 2º Geometrías Lineales: clasificacionmovimientostema11.pdf

5 páginas
Anónimo

@Anónimo

He publicado nuevos ejercicios de 2º Geometrías Lineales: ProblemasGPcapitulos1234-31776976.pdf

31 páginas
Anónimo

@Anónimo

ejercicios

-

problemas de geometria

He publicado nuevos ejercicios de 2º Geometrías Lineales: problemas de geometria

MaterialLeccion3.pdf
MaterialLeccion4n.pdf
MaterialdelaLeccion2.pdf
MaterialCuadricas.pdf
ExaAvExFeb21conSol.pdf
MaterialLeccion1.pdf

He publicado nuevos ejercicios de 2º Geometrías Lineales: ObtenciondeSubespaciosinvariantes.pdf

4 páginas
Anónimo

@Anónimo

examenes

-

examenes y PEC resueltos

He publicado nuevos examenes de 2º Geometrías Lineales: examenes y PEC resueltos

Solucion-Examen-Septiembre19.pdf
Solucion2017.pdf
tema-1-1.pdf
Solucion2019.pdf
tema-8.pdf
Soluciones2semanaGL.pdf
Anónimo

@Anónimo

examenes

-

ejercicios y examenes resueltos

He publicado nuevos examenes de 2º Geometrías Lineales: ejercicios y examenes resueltos

solexglf18.pdf
SubespaciosInvariantes-Oct2013.pdf
solpecgeomlin1516.pdf
Solexgle17.pdf
tema-1.pdf
solexglf16.pdf
Anónimo

@Anónimo

examenes

-

examenes resueltos

He publicado nuevos examenes de 2º Geometrías Lineales: examenes resueltos

cuadricas.pdf
ExaAvExFeb21conSol.pdf
solexgl17sep.pdf
PECGL2021SolucionNueva.pdf
PECSolucion.pdf
ejproy-todos.pdf

He publicado nuevos apuntes de 2º Geometrías Lineales: GL-Resumen-Cesar.pdf

88 páginas
¡Estás al día!

¡Estás al día!

Has visto todos los archivos