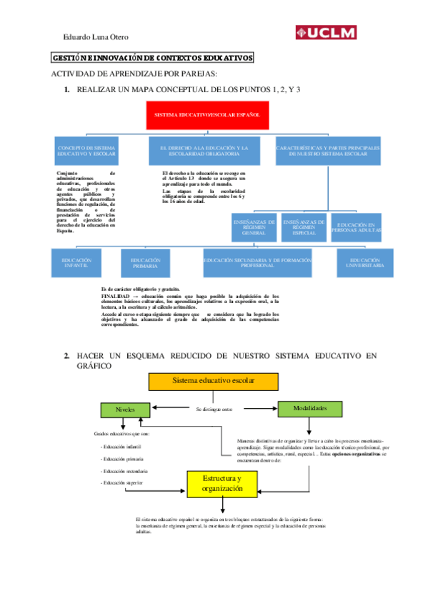
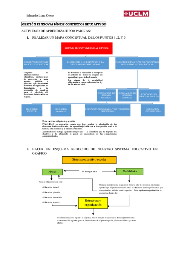
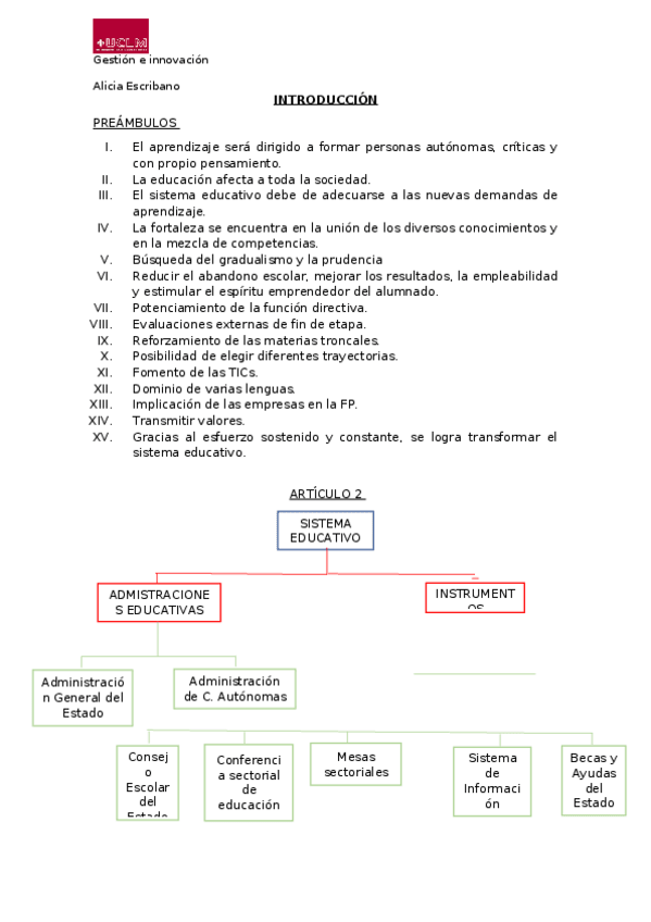
GESTIÓN E INNOVACIÓN EN CONTEXTOS EDUCATIVOS

chevron_left
chevron_right
Todo
Apuntes
Exámenes
Prácticas
Trabajos
chevron_left
chevron_right

Apuntes de Gestión del curso 2025/2026. están adaptados a los contenidos que el docente comentó en clase que entraban. Examen tipo test. Nota obtenida: 9.75.

147 páginas

Apuntes enteros del cuatrimestre

31 páginas

He publicado nuevos apuntes de 2º GESTIÓN E INNOVACIÓN EN CONTEXTOS EDUCATIVOS: GESTION-E-INNOVACION.pdf

20 páginas

He publicado nuevos apuntes de 2º GESTIÓN E INNOVACIÓN EN CONTEXTOS EDUCATIVOS: GESTION-E-INNOVACION.docx

word

He publicado nuevos apuntes de 2º GESTIÓN E INNOVACIÓN EN CONTEXTOS EDUCATIVOS: GESTION-TEMARIO.docx

word

He publicado nuevos trabajos de 2º GESTIÓN E INNOVACIÓN EN CONTEXTOS EDUCATIVOS: UNIDAD-DIDACTICA-EL-MUNDO-QUE-NOS-RODEA.pdf

33 páginas

He publicado nuevos trabajos de 2º GESTIÓN E INNOVACIÓN EN CONTEXTOS EDUCATIVOS: SITUACION-DE-APRENDIZAJE.pdf

7 páginas

He publicado nuevos trabajos de 2º GESTIÓN E INNOVACIÓN EN CONTEXTOS EDUCATIVOS: Salida-unidad-didactica.pdf

6 páginas

apuntes

-

Gestión e Innovación en contextos educativos.

He publicado nuevos apuntes de 2º GESTIÓN E INNOVACIÓN EN CONTEXTOS EDUCATIVOS: Gestión e Innovación en contextos educativos.

Unidad-didactica..pdf
Apuntes-gestion..pdf
Situacion-de-aprendizaje..pdf
DIA-DEL-ARBOL..pdf

He publicado nuevos apuntes de 2º GESTIÓN E INNOVACIÓN EN CONTEXTOS EDUCATIVOS: Apuntes-gestion-pdf.pdf

16 páginas

He publicado nuevos apuntes de 2º GESTIÓN E INNOVACIÓN EN CONTEXTOS EDUCATIVOS: Apuntes-gestion.pdf

12 páginas

apuntes

-

Gestión e innovacción - Apuntes

He publicado nuevos apuntes de 2º GESTIÓN E INNOVACIÓN EN CONTEXTOS EDUCATIVOS: Gestión e innovacción - Apuntes

DecretocurriculoEP20149028.pdf
Miniatura no disponible
PEC-PGA-PD-Y-UNIDADES-DIDACTICAS-SEGUN-LOMCE.ppt
Miniatura no disponible
5-1B-ATENCION-A-LA-DIVERSIDAD-13.pptx
Elaboracion-del-P.T.I.pdf
GUIAMETODOLOGIAPRIMARIA.docx
Metodologia.-Ensenar-y-aprender-en-el-aula.docx

trabajos

-

Gestión e innovacción - Trabajos

He publicado nuevos trabajos de 2º GESTIÓN E INNOVACIÓN EN CONTEXTOS EDUCATIVOS: Gestión e innovacción - Trabajos

Programacion-didactica.pdf
Situacion-de-aprendizajeSergioDiaz-RulloMora.pdf
Situacion-de-aprendizajeSergioDiaz-RulloMora1.pdf
Tarea-Dia-del-arbol.pdf
Unidad-didactica.pdf
UnidadDidacticaSergioDiaz-RulloMora1.pdf
Anónimo

@Anónimo

trabajos

-

2A Trabajos de Gestión

Trabajos y prácticas

Documentos-basicos-de-centro.pdf
Supuesto.pdf
Unidad-Didactica.pdf
Anónimo

@Anónimo

2ºA Educación Primaria

6 páginas

He publicado nuevos apuntes de 2º GESTIÓN E INNOVACIÓN EN CONTEXTOS EDUCATIVOS: TEMAS-GESTION.pdf

76 páginas

He publicado nuevos practicas de 2º GESTIÓN E INNOVACIÓN EN CONTEXTOS EDUCATIVOS: Lucia-Escobar-Situacion-de-Aprendizaje..pdf

6 páginas

apuntes

-

Gestión e innovación

He publicado nuevos apuntes de 2º GESTIÓN E INNOVACIÓN EN CONTEXTOS EDUCATIVOS: Gestión e innovación

ACTIVIDADES-PARA-EL-DIA-DEL-ARBOL.pdf

He publicado nuevos trabajos de 2º GESTIÓN E INNOVACIÓN EN CONTEXTOS EDUCATIVOS: Programacion-didactica-Educacion-en-Valores-Civicos-y-Eticos-y-Educacion-Fisica.pdf

44 páginas

He publicado nuevos trabajos de 2º GESTIÓN E INNOVACIÓN EN CONTEXTOS EDUCATIVOS: DIA-DEL-ARBOL.pdf

1 página

He publicado nuevos apuntes de 2º GESTIÓN E INNOVACIÓN EN CONTEXTOS EDUCATIVOS: Gestion-e-innovacion.-Resumenes.pdf

28 páginas
Anónimo

@Anónimo

He publicado nuevos apuntes de 2º GESTIÓN E INNOVACIÓN EN CONTEXTOS EDUCATIVOS: TEMA-1.-competencias-clave-y-organizacion-y-funcionamiento-de-los-centros-en-educacion-primaria.pdf

16 páginas

apuntes

-

Apuntes

He publicado nuevos apuntes de 2º GESTIÓN E INNOVACIÓN EN CONTEXTOS EDUCATIVOS: Apuntes

TEMA-1.pdf
TEMA-2.pdf
TEMA-3.pdf
TEMA-4.pdf
Tema-5.pdf

apuntes

-

TEMAS Gestión e innovación 2º

He publicado nuevos apuntes de 2º GESTIÓN E INNOVACIÓN EN CONTEXTOS EDUCATIVOS: TEMAS Gestión e innovación 2º

TEMA-2-Gestion.pdf
TEMA-3-Planificacion-en-la-secuencia-didactico-organizativa.pdf
TEMA-1-Aspectos-fundamentales-de-la-gestion-e-innovacion-educativa.pdf

apuntes

-

GESTION E INNOV.-CONTX.EDUCAT._COMPLETO

He publicado nuevos apuntes de 2º GESTIÓN E INNOVACIÓN EN CONTEXTOS EDUCATIVOS: GESTION E INNOV.-CONTX.EDUCAT._COMPLETO

PRACTICA-2.pdf
Miniatura no disponible
ACTIVIDAD-2-PRESENTACION.pptx
PRACTICA-1.pdf
PRACTICA-5-entrega-online.pdf
PRACTICA-3.pdf
PRACTICA-5.pdf

trabajos

-

Trabajos

He publicado nuevos trabajos de 2º GESTIÓN E INNOVACIÓN EN CONTEXTOS EDUCATIVOS: Trabajos

Recursos-para-la-educacion-inclusiva.pdf
ACTIVIDADES-PADRES.pdf
Blog-o-portafolios-digital.pdf

apuntes

-

Apuntes

He publicado nuevos apuntes de 2º GESTIÓN E INNOVACIÓN EN CONTEXTOS EDUCATIVOS: Apuntes

Comparativa-lomce-lomloe-resumen.pdf
TEMA-2.pdf
TEMA-1.pdf
Comparativa-lomce-lomloe.pdf
actividad-padres.pdf
Miniatura no disponible
Competencias-claves-SEGUN-LOMCE-1.ppt

He publicado nuevos apuntes de 2º GESTIÓN E INNOVACIÓN EN CONTEXTOS EDUCATIVOS: DOCUMENTOS-QUE-ENTRAN-EN-EL-EXAMEN-ordinario-2020-4.docx

word

examenes

-

Examen puri

He publicado nuevos examenes de 2º GESTIÓN E INNOVACIÓN EN CONTEXTOS EDUCATIVOS: Examen puri

examen-2.jpg
examen-1.jpg
examen-3.jpg

apuntes

-

temas

He publicado nuevos apuntes de 2º GESTIÓN E INNOVACIÓN EN CONTEXTOS EDUCATIVOS: temas

Organizacion-Pedagogico.pdf
Proyecto-educativo-de-centro.pdf
La-organizacion-participativa.pdf
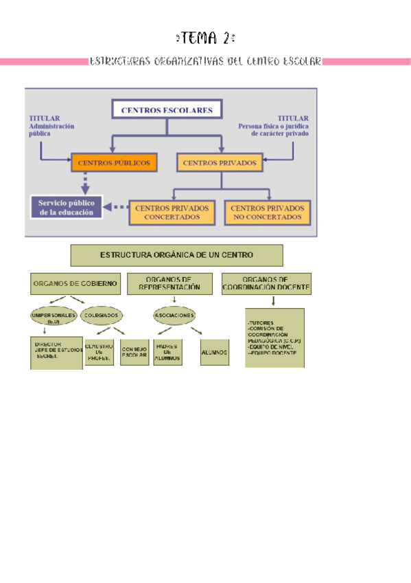
Estructura-organizativa-del-centro-escolar.pdf
Tema-1.pdf
Anónimo

@Anónimo

He publicado nuevos apuntes de 2º GESTIÓN E INNOVACIÓN EN CONTEXTOS EDUCATIVOS: T1.docx

word
¡Estás al día!

¡Estás al día!

Has visto todos los archivos