GNC y Optimización de Trayectorias de Misiles

chevron_left
chevron_right
Todo
Apuntes
Ejercicios
Exámenes
chevron_left
chevron_right

He publicado nuevos apuntes de 2º GNC y Optimización de Trayectorias de Misiles: Problemas-de-clase-GNC.pdf

7 páginas

He publicado nuevos apuntes de 2º GNC y Optimización de Trayectorias de Misiles: Apuntes-GNC.pdf

14 páginas

ejercicios

-

Class Exercises 2024-2025

He publicado nuevos ejercicios de 2º GNC y Optimización de Trayectorias de Misiles: Class Exercises 2024-2025

exercises12024.pdf
exercises22024.pdf
exercises32024.pdf
exercises42024.pdf
exercises52024.pdf
exercises62024.pdf

He publicado nuevos examenes de 2º GNC y Optimización de Trayectorias de Misiles: EO-2024-GNC.pdf

1 página

ejercicios

-

Class Exercises 2020-2021

He publicado nuevos ejercicios de 2º GNC y Optimización de Trayectorias de Misiles: Class Exercises 2020-2021

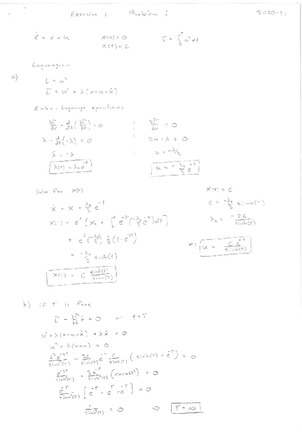
Exercise-1-Enunciado.pdf
Exercise-1-Solucion.pdf
Exercise-4-Enunciado.pdf
Exercise-4-Solucion.pdf
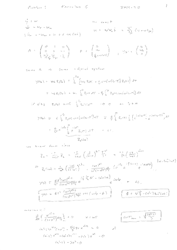
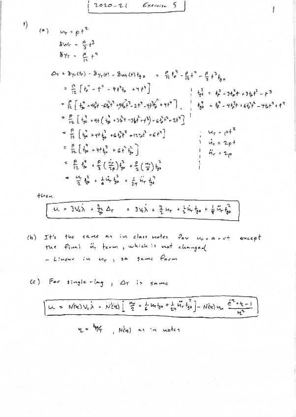
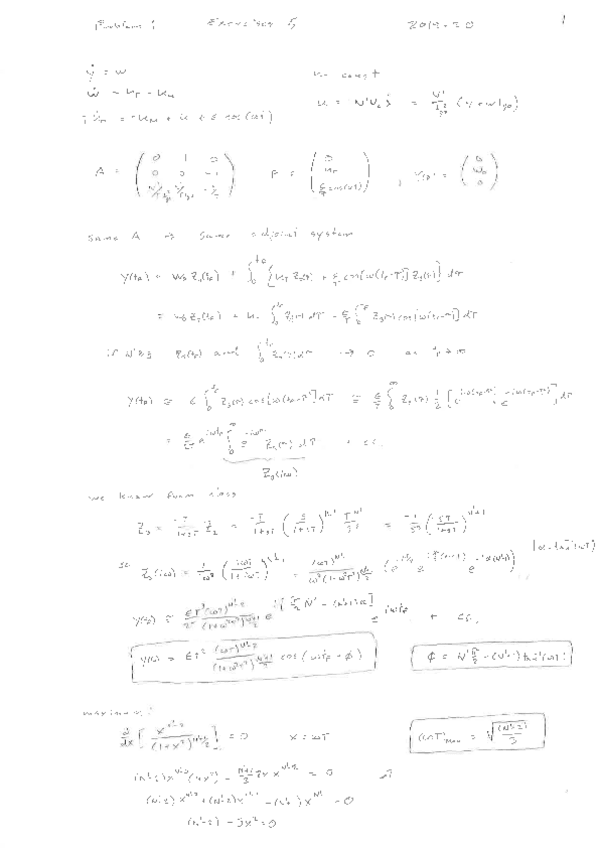
Exercise-5-Enunciado.pdf
Exercise-5-Solucion.pdf

ejercicios

-

Class Exercises 2019-2020

He publicado nuevos ejercicios de 2º GNC y Optimización de Trayectorias de Misiles: Class Exercises 2019-2020

Exercise-1-Enunciado.pdf
Exercise-1-Solucion.pdf
Exercise-4-Enunciado.pdf
Exercise-4-Solucion.pdf
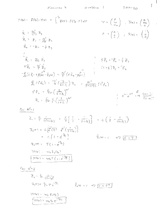
Exercise-5-Enunciado.pdf
Exercise-5-Solucion.pdf

ejercicios

-

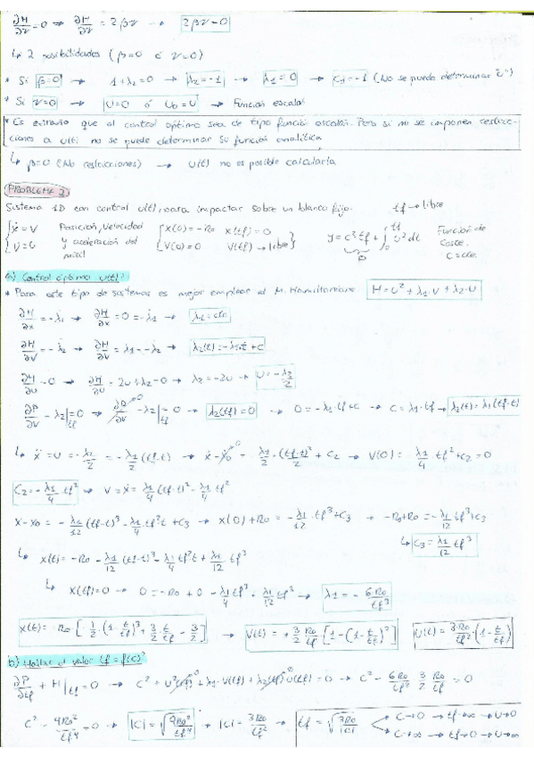
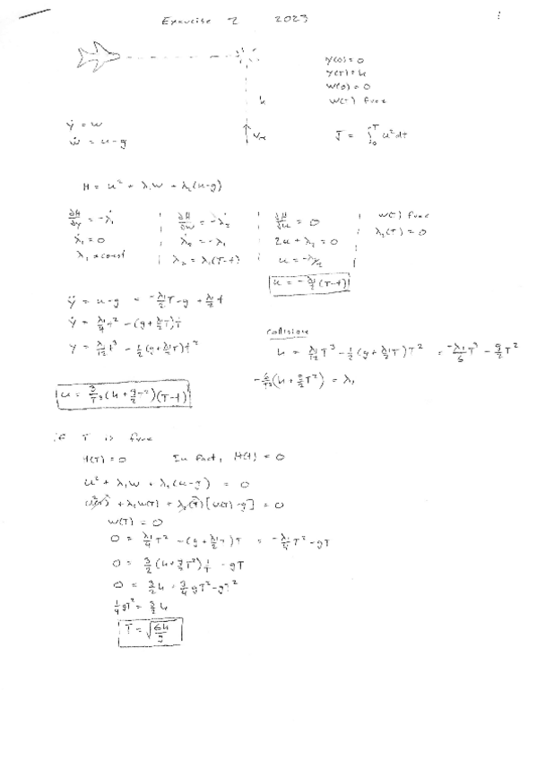
Class Exercises 2023-2024

He publicado nuevos ejercicios de 2º GNC y Optimización de Trayectorias de Misiles: Class Exercises 2023-2024

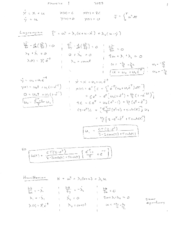
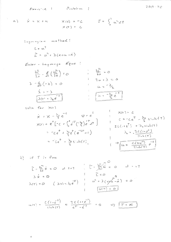
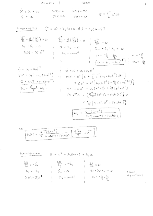
Exercise-1-Enunciado.pdf
Exercise-1-Solution.pdf
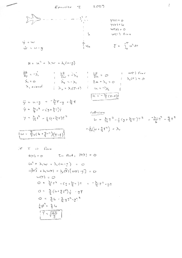
Exercise-2-Enunciado.pdf
Exercise-2-Solution.pdf
Exercise-3-Enunciado.pdf
Exercise-3-Solution.pdf
¡Estás al día!

¡Estás al día!

Has visto todos los archivos