chevron_left
chevron_right
Todo
Apuntes
Exámenes
chevron_left
chevron_right

Conjugaciones, declinaciones y traducciones

28 páginas

Resumen de cultura griega

6 páginas

Traducciones, análisis morfosintáctico y semántico.

58 páginas

examenes

-

Examen EBAU Griego

He publicado nuevos examenes de Griego II : Examen EBAU Griego

Examen-EBAU-La-Rioja-Griego-Junio-2023-24.pdf
Examen-EBAU-La-Rioja-Griego-Septiembre-2019-20.pdf
Examen-EBAU-La-Rioja-Griego-Julio-2014-15.pdf
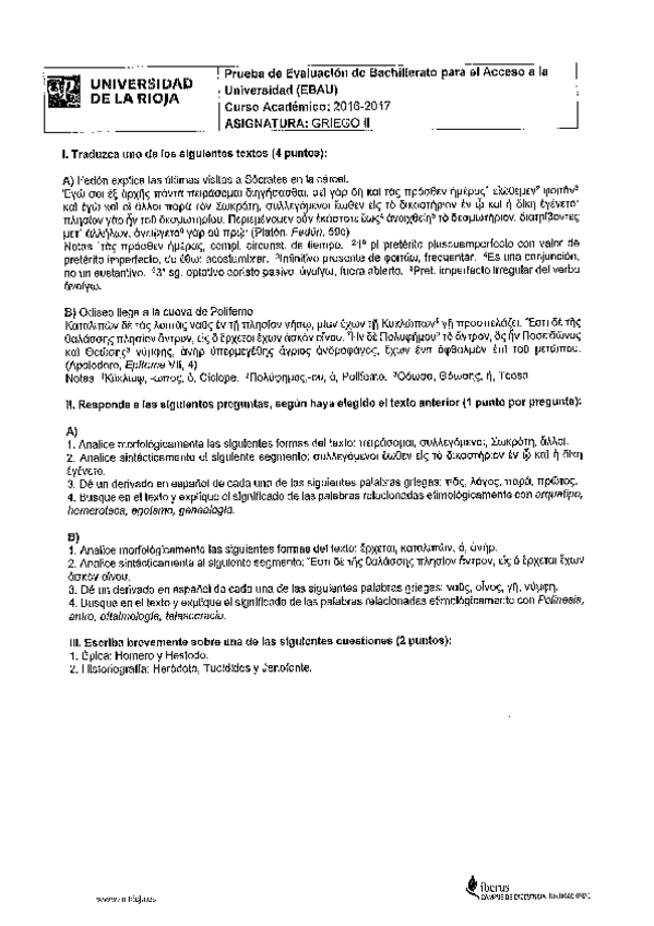
Examen-EBAU-La-Rioja-Griego-Julio-2016-17.pdf
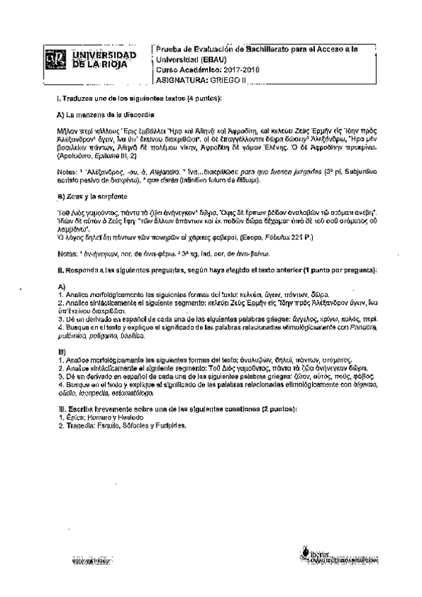
Examen-EBAU-La-Rioja-Griego-Julio-2017-18.pdf
Examen-EBAU-La-Rioja-Griego-Julio-2018-19.pdf

He publicado nuevos apuntes de Griego II : traduciones-griego-con-textos.pdf

9 páginas

He publicado nuevos apuntes de Griego II : Texto-26-griego.pdf

1 página

He publicado nuevos apuntes de Griego II : Poesia-lirica.pdf

4 páginas

He publicado nuevos apuntes de Griego II : Poesia-epica.pdf

4 páginas

He publicado nuevos apuntes de Griego II : La-tragedia-griega.pdf

4 páginas

He publicado nuevos apuntes de Griego II : La-oratoria-griega.pdf

4 páginas

He publicado nuevos apuntes de Griego II : La-historiografia-griega.pdf

4 páginas

He publicado nuevos apuntes de Griego II : La-historiografia-griega-Teoria-griego.pdf

2 páginas

He publicado nuevos apuntes de Griego II : La-comedia-griega.pdf

4 páginas

examenes

-

Exámenes Griego II EBAU 2022

He publicado nuevos examenes de Griego II : Exámenes Griego II EBAU 2022

Examen-Griego-de-La-Rioja.pdf
Examen-Griego-de-La-Rioja.pdf

He publicado nuevos examenes de Griego II : Examen-Griego-de-La-Rioja-Ordinaria-de-2004.pdf

3 páginas

He publicado nuevos examenes de Griego II : Examen-Griego-de-La-Rioja-Extraordinaria-de-2004.pdf

2 páginas

He publicado nuevos examenes de Griego II : Examen-Griego-de-La-Rioja-Ordinaria-de-2005.pdf

3 páginas

He publicado nuevos examenes de Griego II : Examen-Griego-de-La-Rioja-Extraordinaria-de-2005.pdf

3 páginas

He publicado nuevos examenes de Griego II : Examen-Griego-de-La-Rioja-Ordinaria-de-2006.pdf

3 páginas

He publicado nuevos examenes de Griego II : Examen-Griego-de-La-Rioja-Extraordinaria-de-2006.pdf

3 páginas

He publicado nuevos examenes de Griego II : Examen-Griego-de-La-Rioja-Ordinaria-de-2007.pdf

3 páginas

He publicado nuevos examenes de Griego II : Examen-Griego-de-La-Rioja-Extraordinaria-de-2007.pdf

3 páginas

He publicado nuevos examenes de Griego II : Examen-Griego-de-La-Rioja-Ordinaria-de-2008.pdf

4 páginas

He publicado nuevos examenes de Griego II : Examen-Griego-de-La-Rioja-Extraordinaria-de-2008.pdf

3 páginas

He publicado nuevos examenes de Griego II : Examen-Griego-de-La-Rioja-Ordinaria-de-2009.pdf

2 páginas

He publicado nuevos examenes de Griego II : Examen-Griego-de-La-Rioja-Extraordinaria-de-2009.pdf

2 páginas

He publicado nuevos examenes de Griego II : Examen-Griego-de-La-Rioja-Ordinaria-de-2010.pdf

4 páginas

He publicado nuevos examenes de Griego II : Examen-Griego-de-La-Rioja-Extraordinaria-de-2010.pdf

4 páginas

He publicado nuevos examenes de Griego II : Examen-Griego-de-La-Rioja-Ordinaria-de-2011.pdf

2 páginas

He publicado nuevos examenes de Griego II : Examen-Griego-de-La-Rioja-Extraordinaria-de-2011.pdf

4 páginas

He publicado nuevos examenes de Griego II : Examen-Griego-de-La-Rioja-Ordinaria-de-2012.pdf

2 páginas

He publicado nuevos examenes de Griego II : Examen-Griego-de-La-Rioja-Extraordinaria-de-2012.pdf

4 páginas

He publicado nuevos examenes de Griego II : Examen-Griego-de-La-Rioja-Ordinaria-de-2013.pdf

2 páginas

He publicado nuevos examenes de Griego II : Examen-Griego-de-La-Rioja-Extraordinaria-de-2013.pdf

2 páginas

He publicado nuevos examenes de Griego II : Examen-Griego-de-La-Rioja-Ordinaria-de-2014.pdf

2 páginas

He publicado nuevos examenes de Griego II : Examen-Griego-de-La-Rioja-Extraordinaria-de-2014.pdf

2 páginas

He publicado nuevos examenes de Griego II : Examen-Griego-de-La-Rioja-Ordinaria-de-2015.pdf

2 páginas

He publicado nuevos examenes de Griego II : Examen-Griego-de-La-Rioja-Extraordinaria-de-2015.pdf

2 páginas

He publicado nuevos examenes de Griego II : Examen-Griego-de-La-Rioja-Ordinaria-de-2016.pdf

2 páginas

He publicado nuevos examenes de Griego II : Examen-Griego-de-La-Rioja-Extraordinaria-de-2016.pdf

2 páginas

He publicado nuevos examenes de Griego II : Examen-Griego-de-La-Rioja-Ordinaria-de-2017.pdf

2 páginas

He publicado nuevos examenes de Griego II : Examen-Griego-de-La-Rioja-Extraordinaria-de-2017.pdf

2 páginas

He publicado nuevos examenes de Griego II : Examen-Griego-de-La-Rioja-Ordinaria-de-2018.pdf

2 páginas

He publicado nuevos examenes de Griego II : Examen-Griego-de-La-Rioja-Extraordinaria-de-2018.pdf

2 páginas

He publicado nuevos examenes de Griego II : Examen-Griego-de-La-Rioja-Ordinaria-de-2019.pdf

2 páginas

He publicado nuevos examenes de Griego II : Examen-Griego-de-La-Rioja-Extraordinaria-de-2019.pdf

2 páginas

He publicado nuevos examenes de Griego II : Examen-Griego-de-La-Rioja-Ordinaria-de-2020.pdf

3 páginas

He publicado nuevos examenes de Griego II : Examen-Griego-de-La-Rioja-Extraordinaria-de-2020.pdf

3 páginas

He publicado nuevos examenes de Griego II : Examen-Griego-de-La-Rioja-Ordinaria-de-2021.pdf

2 páginas

He publicado nuevos examenes de Griego II : Examen-Griego-de-La-Rioja-Extraordinaria-de-2021.pdf

2 páginas
Anónimo

@Anónimo

He publicado nuevos apuntes de Griego II : EBAU-GRIEGO-LITERATURA.pdf

10 páginas

He publicado nuevos apuntes de Griego II : Griego-completo-de-BartoLCQ.pdf

16 páginas

examenes

-

Examen ebau griego 2018-2019

He publicado nuevos examenes de Griego II : Examen ebau griego 2018-2019

griego-2.pdf
griego.pdf
Griego-1.pdf
Anónimo

@Anónimo

Examen Griego

2 páginas
¡Estás al día!

¡Estás al día!

Has visto todos los archivos