Portada
Asignatura
Grado en Filología Hispánica (UJAEN)
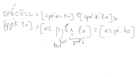
Historia de la lengua española I. Fonética histórica
Fecha de subida
12 jun 2023
Categoría
apuntes
Etiquetas
Exámenes - Examen-ordinaria-20202021.pdf
pdf
1 página
46
0
Exámenes - examen-fonetica-historica.pdf
34
Apuntes - Imagen.pdf
9
Apuntes - HISTORIA-DE-LA-LENGUA-ESPANOLA.pdf
81 páginas
28
3
Apuntes - Teoria-para-los-comentarios-de-las-evoluciones.pdf
19 páginas
19
Apuntes - MESE-DEL-ANO.pdf
11 páginas
24
Apuntes - practica-de-fonetica-historica.pdf
14 páginas
18
Ejercicios - Imagen.pdf
Ejercicios - Imagen-de-WhatsApp-2025-06-10-a-las-18.04.092767f822-7.pdf
8
Apuntes - Unidad-1-Historia-de-la-lengua.pdf
21 páginas
10
Apuntes - Lista-etimos-latinos.pdf
4 páginas
Apuntes - Unidad-2-Historia-de-la-lengua.pdf
12 páginas
Apuntes - Unidad-4-Historia-de-la-lengua.pdf