Historia del Arte
He publicado nuevos apuntes de Historia del Arte: Comentarios-historia-del-arte.pdf
He publicado nuevos apuntes de Historia del Arte: Historia-del-arte-comentarios.pdf
Apuntes historia del arte saque buena nota en selectividad
He publicado nuevos apuntes de Historia del Arte: Apuntes-arte-bizantino.-selectividad.pdf
He publicado nuevos apuntes de Historia del Arte: Apuntes-arte-hispanomusulman.-selectividad.pdf
He publicado nuevos apuntes de Historia del Arte: Apuntes-Arte-romanico.-selectividad.pdf
He publicado nuevos apuntes de Historia del Arte: Apuntes-Arte-Gotico.pdf
He publicado nuevos apuntes de Historia del Arte: La-arquitectura-del-renacimiento-en-Espana.pdf
He publicado nuevos apuntes de Historia del Arte: arte-del-renacimiento.pdf
He publicado nuevos apuntes de Historia del Arte: Comentario-breve-de-la-noche-estrellada.pdf
He publicado nuevos apuntes de Historia del Arte: examenes-historia-del-arte-selectividad-2.pdf
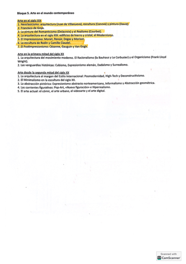
He publicado nuevos apuntes de Historia del Arte: bloque-4-historia-del-arte-2.pdf
He publicado nuevos apuntes de Historia del Arte: bloque-3-historia-del-arte-2.pdf
He publicado nuevos apuntes de Historia del Arte: bloque-2-historia-del-arte-2.pdf
He publicado nuevos apuntes de Historia del Arte: bloque-1-historia-del-arte-2.pdf
Apuntes para 2º de Bach o evau de Andalucía de historia del arte del renacimiento
Las señoritas de Avignon de Picasso

La Casa de la Cascada de Frank Lloyd Wright

La villa saboya de Le Corbusier

Los jugadores de cartas de Cezanne

Impression, soleil levant de Monet

La familia de Carlos iv de Goya

Lo s fusilamientos del 3 de mayo de Goya

La maja desnuda de Goya

Cristo yacente de Gregprio Fernandez

Las tres gracias de Rubens

Clase de anatomia del doctor Tulp

Muerte de la virgen de Caravaggio

La piedad de Miguel Angel

He publicado nuevos trabajos de Historia del Arte: Comentario-Victoria-de-samotracia-2.pdf
He publicado nuevos trabajos de Historia del Arte: Helen-Frankenthaler.pdf
He publicado nuevos apuntes de Historia del Arte: Arte-griego-2bach.pdf
He publicado nuevos apuntes de Historia del Arte: TEMA-arte-roManico.pdf
He publicado nuevos apuntes de Historia del Arte: RESUMEN-ARTE-PALEOCRISTIANO.pdf
He publicado nuevos apuntes de Historia del Arte: RESUMEN-ARTE-ISLAMICO.pdf
He publicado nuevos apuntes de Historia del Arte: Renacimiento-h.-del-arte.pdf
He publicado nuevos apuntes de Historia del Arte: TEMA-9-HISTORIA-DEL-ARTE.pdf




