Identidad Cultural Anglo-Norteamericana y Estudios Culturales

chevron_left
chevron_right
Todo
Apuntes
Exámenes
Prácticas
Trabajos
chevron_left
chevron_right

He publicado nuevos apuntes de 2º Identidad Cultural Anglo-Norteamericana y Estudios Culturales: Apuntes-Identidad-cultural-TODOS-PARA-EL-EXAMEN.pdf

74 páginas

Temas completos Identidad Cultural para el examen final

104 páginas

He publicado nuevos apuntes de 2º Identidad Cultural Anglo-Norteamericana y Estudios Culturales: Identidad-cultural-temas-1-2-y-3-todas-las-partes.docx

word
Anónimo

@Anónimo

He publicado nuevos apuntes de 2º Identidad Cultural Anglo-Norteamericana y Estudios Culturales: Identiddad-cultural-tema-3-parte-dos-y-tres.docx

word
Anónimo

@Anónimo

He publicado nuevos apuntes de 2º Identidad Cultural Anglo-Norteamericana y Estudios Culturales: Identiddad-cultural-tema-3-parte-2-y-parte-3.docx

word

Es toda la info, no está resumido (a lo mejor subo otro resumido)

15 páginas

2/2

3 páginas

1/2

4 páginas

He publicado nuevos apuntes de 2º Identidad Cultural Anglo-Norteamericana y Estudios Culturales: T.2-Nationality-theory-authors.pdf

12 páginas
Anónimo

@Anónimo

He publicado nuevos apuntes de 2º Identidad Cultural Anglo-Norteamericana y Estudios Culturales: Identidad-cultural-tema-1.docx

word

Examen del grupo B Tipo 2

2 páginas

Examen del grupo B Tipo 1

2 páginas

Examen del grupo B, da a elegir una de estas dos preguntas

1 página

He publicado nuevos apuntes de 2º Identidad Cultural Anglo-Norteamericana y Estudios Culturales: section-4-1.pdf

2 páginas

He publicado nuevos apuntes de 2º Identidad Cultural Anglo-Norteamericana y Estudios Culturales: section-5-1.pdf

2 páginas

He publicado nuevos apuntes de 2º Identidad Cultural Anglo-Norteamericana y Estudios Culturales: section-6-1.pdf

5 páginas

He publicado nuevos apuntes de 2º Identidad Cultural Anglo-Norteamericana y Estudios Culturales: section-2.pdf

5 páginas

He publicado nuevos apuntes de 2º Identidad Cultural Anglo-Norteamericana y Estudios Culturales: section-3.pdf

3 páginas

He publicado nuevos apuntes de 2º Identidad Cultural Anglo-Norteamericana y Estudios Culturales: section-1.pdf

4 páginas

No son preguntas de examen pero son útiles para repasar

5 páginas

He publicado nuevos examenes de 2º Identidad Cultural Anglo-Norteamericana y Estudios Culturales: Preguntas-examen-Identidad-Cultural-diciembre-2024.pdf

1 página

He publicado nuevos apuntes de 2º Identidad Cultural Anglo-Norteamericana y Estudios Culturales: IDENTIDAD-EXAMEN-FINAL.pdf

4 páginas

He publicado nuevos examenes de 2º Identidad Cultural Anglo-Norteamericana y Estudios Culturales: Examenes-IDENTIDAD-2024.pdf

2 páginas

Practice Dossier curso 2024/2025 David Walton

28 páginas

Second presentation dossier de prácticas sobre una peli: Educating Rita

5 páginas

Hay que subirlo en Word

10 páginas

He publicado nuevos apuntes de 2º Identidad Cultural Anglo-Norteamericana y Estudios Culturales: 2o-Identidad-cultural-completos.pdf

31 páginas

apuntes

-

Temas

He publicado nuevos apuntes de 2º Identidad Cultural Anglo-Norteamericana y Estudios Culturales: Temas

TEMA-3-RESUMIDO-HOGGART-Y-WORKING-CLASS-CULTURE-2.docx
TEMA-1-RESUIDO-ARNOLD-2.docx
TEMA-2-RESUMIDO-THE-LEAVISES-ANS-TS-ELIOT-CULTURAL-IDENTITY-1.docx
UNIT-8-VIRGINIA-WOOLF-AND-INTELLECTUAL-LIBERTY-1.docx
UNIT-4-RESUMIDO-POST-1930-WORKING-CLASS-CULTURE-AND-TEDDY-BEAR-HOGGART-1.docx
UNIT-5-RESUMIDO-THE-MAKING-OF-THE-ENGLISH-WORKING-CLASS-1.docx
Anónimo

@Anónimo

He publicado nuevos apuntes de 2º Identidad Cultural Anglo-Norteamericana y Estudios Culturales: Identidad-cultural-photocopies-theory-classes-1.pdf

58 páginas

apuntes

-

Idetidad 21/22

He publicado nuevos apuntes de 2º Identidad Cultural Anglo-Norteamericana y Estudios Culturales: Idetidad 21/22

Block-III--Feminism.pdf
Block-IV-and-V.pdf
Block-I-and-II.pdf

apuntes

-

APUNTES IDENTIDAD

He publicado nuevos apuntes de 2º Identidad Cultural Anglo-Norteamericana y Estudios Culturales: APUNTES IDENTIDAD

TEMA-1-IDENTIDAD.pdf
TEMA-2-IDENTIDAD.pdf
TEMA-3-IDENTIDAD.pdf
TEMA-4-IDENTIDAD.pdf
UNIT-8-IDENTIDAD.pdf
UNIT-7-IDENTIDAD.pdf

He publicado nuevos apuntes de 2º Identidad Cultural Anglo-Norteamericana y Estudios Culturales: Portfolio-Identidad-Cultural.pdf

15 páginas

apuntes

-

IDENTIDAD (Mi nota: 9)

He publicado nuevos apuntes de 2º Identidad Cultural Anglo-Norteamericana y Estudios Culturales: IDENTIDAD (Mi nota: 9)

Block-1-Identidad.pdf
Block-2-Identidad.pdf
Block-3-Identidad.pdf
Block-4-Identidad.pdf
Block-5-Identidad.pdf

He publicado nuevos apuntes de 2º Identidad Cultural Anglo-Norteamericana y Estudios Culturales: UNIT-7.pdf

6 páginas

He publicado nuevos apuntes de 2º Identidad Cultural Anglo-Norteamericana y Estudios Culturales: tema-6.pdf

4 páginas

He publicado nuevos apuntes de 2º Identidad Cultural Anglo-Norteamericana y Estudios Culturales: Unidad-1.pdf

5 páginas

He publicado nuevos apuntes de 2º Identidad Cultural Anglo-Norteamericana y Estudios Culturales: Unidad-2.pdf

3 páginas
Anónimo

@Anónimo

He publicado nuevos apuntes de 2º Identidad Cultural Anglo-Norteamericana y Estudios Culturales: tema-4.pdf

3 páginas

He publicado nuevos apuntes de 2º Identidad Cultural Anglo-Norteamericana y Estudios Culturales: UNIDAD-3.pdf

2 páginas
Anónimo

@Anónimo

He publicado nuevos apuntes de 2º Identidad Cultural Anglo-Norteamericana y Estudios Culturales: tema-5.pdf

4 páginas

He publicado nuevos apuntes de 2º Identidad Cultural Anglo-Norteamericana y Estudios Culturales: Intro-to-Feminism-to-Judith-Butler.pdf

13 páginas

He publicado nuevos apuntes de 2º Identidad Cultural Anglo-Norteamericana y Estudios Culturales: Desde-Arnold-a-E.P.-Thompson.pdf

17 páginas

He publicado nuevos apuntes de 2º Identidad Cultural Anglo-Norteamericana y Estudios Culturales: A-History-of-Feminism.pdf

4 páginas

He publicado nuevos apuntes de 2º Identidad Cultural Anglo-Norteamericana y Estudios Culturales: Intro-to-feminism.pdf

1 página

He publicado nuevos apuntes de 2º Identidad Cultural Anglo-Norteamericana y Estudios Culturales: E.P.-Thompson.pdf

2 páginas

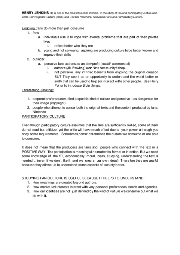
He publicado nuevos apuntes de 2º Identidad Cultural Anglo-Norteamericana y Estudios Culturales: Henry-Jenkins.pdf

2 páginas

He publicado nuevos apuntes de 2º Identidad Cultural Anglo-Norteamericana y Estudios Culturales: Richard-Hoggart.pdf

2 páginas

He publicado nuevos apuntes de 2º Identidad Cultural Anglo-Norteamericana y Estudios Culturales: The-Leavises-and-T.S.-Elliot.pdf

3 páginas

He publicado nuevos apuntes de 2º Identidad Cultural Anglo-Norteamericana y Estudios Culturales: identidad-resumenes.pdf

6 páginas

He publicado nuevos apuntes de 2º Identidad Cultural Anglo-Norteamericana y Estudios Culturales: Arnold-resumen-power-point.pdf

2 páginas

He publicado nuevos apuntes de 2º Identidad Cultural Anglo-Norteamericana y Estudios Culturales: SECTION-1.pdf

8 páginas

He publicado nuevos apuntes de 2º Identidad Cultural Anglo-Norteamericana y Estudios Culturales: SECTION-2.pdf

4 páginas

He publicado nuevos apuntes de 2º Identidad Cultural Anglo-Norteamericana y Estudios Culturales: SECTION-3.pdf

7 páginas

He publicado nuevos apuntes de 2º Identidad Cultural Anglo-Norteamericana y Estudios Culturales: SECTION-4.pdf

6 páginas

He publicado nuevos apuntes de 2º Identidad Cultural Anglo-Norteamericana y Estudios Culturales: SECTION-5.pdf

4 páginas

He publicado nuevos apuntes de 2º Identidad Cultural Anglo-Norteamericana y Estudios Culturales: SECTION-6.pdf

8 páginas

He publicado nuevos apuntes de 2º Identidad Cultural Anglo-Norteamericana y Estudios Culturales: Unit-1.pdf

8 páginas

He publicado nuevos apuntes de 2º Identidad Cultural Anglo-Norteamericana y Estudios Culturales: 2o-Identidad-cultural-Resumido.pdf

19 páginas
Anónimo

@Anónimo

He publicado nuevos practicas de 2º Identidad Cultural Anglo-Norteamericana y Estudios Culturales: 1.-Identidad-Cult.-Practice-classes-dossier.pdf

22 páginas

He publicado nuevos practicas de 2º Identidad Cultural Anglo-Norteamericana y Estudios Culturales: PORTFOLIO-ALICIA.pdf

23 páginas