chevron_left
chevron_right
Todo
Apuntes
chevron_left
chevron_right

He publicado nuevos apuntes de 2º Idioma Moderno II (ingles): IN-THE-SHADOW-OF-THE-MOUNTAIN-en-espanol.pdf

49 páginas
Anónimo

@Anónimo

He publicado nuevos apuntes de 2º Idioma Moderno II (ingles): Vocabulario-libro-1.pdf

6 páginas
Anónimo

@Anónimo

apuntes

-

Vocabulary Units 1-10

He publicado nuevos apuntes de 2º Idioma Moderno II (ingles): Vocabulary Units 1-10

Vocabulary-Units-1-A.pdf
Vocabulary-Units-1-B.pdf
Vocabulary-Units-2A-1.pdf
Vocabulary-Units-2B-1.pdf
Vocabulary-Units-3A.pdf
Vocabulary-Units-3B.pdf
Anónimo

@Anónimo

apuntes

-

vocabulary bank

He publicado nuevos apuntes de 2º Idioma Moderno II (ingles): vocabulary bank

Vocabulary-Bank--Illnesses-and-injuries-Enfermedades-y-lesiones.pdf
Vocabulary-Bank-2--Clothes-and-fashion-Ropa-y-moda.pdf
Vocabulary-Bank-3--Clothes-and-fashion-Ropa-y-moda.pdf
Vocabulary-Bank-4--Adverbs-and-adverbial-phrasesAdverbios-y-frases-adverbiales.pdf
Vocabulary-Bank-5--Weather-el-tiempo-clima.pdf
Vocabulary-Bank-6--Feelings-Sentimientos.pdf
Anónimo

@Anónimo

apuntes

-

Grammar Bank

He publicado nuevos apuntes de 2º Idioma Moderno II (ingles): Grammar Bank

Grammar-Bank--1A-Question-formation.pdf
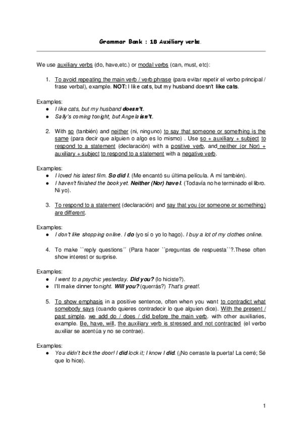
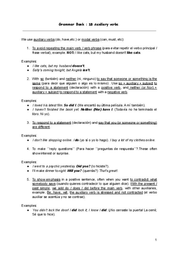
Grammar-Bank--1B-Auxiliary-verbs.pdf
Grammar-Bank--2A-Present-perfect-simple-and-continuous-1.pdf
Grammar-Bank--2B-Using-adjectives-as-nouns-adjective-order-1.pdf
Grammar-Bank--3A-Narrative-tenses.pdf
Grammar-Bank--3B-The-position-of-adverbs-and-adverbial-phrases.pdf

He publicado nuevos apuntes de 2º Idioma Moderno II (ingles): Vocabulary-Units-6B.pdf

2 páginas

He publicado nuevos apuntes de 2º Idioma Moderno II (ingles): Vocabulary-Units-6A.pdf

1 página

He publicado nuevos apuntes de 2º Idioma Moderno II (ingles): Vocabulary-Units-7B.pdf

1 página

He publicado nuevos apuntes de 2º Idioma Moderno II (ingles): Vocabulary-Units-7A.pdf

1 página

He publicado nuevos apuntes de 2º Idioma Moderno II (ingles): Vocabulary-Units-8A.pdf

1 página

He publicado nuevos apuntes de 2º Idioma Moderno II (ingles): Vocabulario-lectura-examen.pdf

6 páginas

He publicado nuevos apuntes de 2º Idioma Moderno II (ingles): Vocabulary-Bank-11--Business-Negocio.pdf

2 páginas

He publicado nuevos apuntes de 2º Idioma Moderno II (ingles): Vocabulary-Bank-12--Word-Building-Construccion-de-palabras.pdf

2 páginas

He publicado nuevos apuntes de 2º Idioma Moderno II (ingles): Grammar-Bank--7A-Past-modals.pdf

2 páginas

He publicado nuevos apuntes de 2º Idioma Moderno II (ingles): Grammar-Bank--6A-Used-to-be-used-to-get-used-to.pdf

2 páginas

He publicado nuevos apuntes de 2º Idioma Moderno II (ingles): Grammar-Bank--7B-Verbs-of-the-senses.pdf

2 páginas

He publicado nuevos apuntes de 2º Idioma Moderno II (ingles): Grammar-Bank--8A-The-passive-all-forms.pdf

3 páginas

He publicado nuevos apuntes de 2º Idioma Moderno II (ingles): Grammar-Bank--6B-Gerunds-and-infinitives.pdf

3 páginas

He publicado nuevos apuntes de 2º Idioma Moderno II (ingles): Vocabulary-Units-5A.pdf

1 página

He publicado nuevos apuntes de 2º Idioma Moderno II (ingles): Vocabulary-Units-5B.pdf

1 página

He publicado nuevos apuntes de 2º Idioma Moderno II (ingles): Vocabulary-Bank-9-Crime-and-punishment-Crimen-y-castigo.pdf

2 páginas

He publicado nuevos apuntes de 2º Idioma Moderno II (ingles): Vocabulary-Bank-10-The-media-Los-medios-de-comunicacion.pdf

1 página

He publicado nuevos apuntes de 2º Idioma Moderno II (ingles): Grammar-Bank-5A-Unreal-conditionals.pdf

2 páginas

He publicado nuevos apuntes de 2º Idioma Moderno II (ingles): Grammar-Bank-5B-Wish-for-present--future.pdf

2 páginas

He publicado nuevos apuntes de 2º Idioma Moderno II (ingles): Grammar-Bank-4B-Zero-and-first-conditionals-future-time-clauses.pdf

2 páginas

He publicado nuevos apuntes de 2º Idioma Moderno II (ingles): Grammar-Bank-4A-Future-perfect-and-future-continuous.pdf

2 páginas

He publicado nuevos apuntes de 2º Idioma Moderno II (ingles): Vocabulary-Bank-8-The-body-El-cuerpo.pdf

2 páginas

He publicado nuevos apuntes de 2º Idioma Moderno II (ingles): Vocabulary-Bank-7-Verbs-often-confused.pdf

1 página

He publicado nuevos apuntes de 2º Idioma Moderno II (ingles): Vocabulary-Units-4B.pdf

1 página

He publicado nuevos apuntes de 2º Idioma Moderno II (ingles): Grammar-Bank--3A-Narrative-tenses.pdf

2 páginas

He publicado nuevos apuntes de 2º Idioma Moderno II (ingles): Grammar-Bank--3B-The-position-of-adverbs-and-adverbial-phrases.pdf

2 páginas

He publicado nuevos apuntes de 2º Idioma Moderno II (ingles): Vocabulary-Units-3B.pdf

1 página

He publicado nuevos apuntes de 2º Idioma Moderno II (ingles): Vocabulary-Units-3A.pdf

1 página

He publicado nuevos apuntes de 2º Idioma Moderno II (ingles): Vocabulary-Bank-5--Weather-el-tiempo-clima.pdf

1 página

He publicado nuevos apuntes de 2º Idioma Moderno II (ingles): Vocabulary-Bank-6--Feelings-Sentimientos.pdf

1 página

He publicado nuevos apuntes de 2º Idioma Moderno II (ingles): Grammar-Bank-2B-Using-adjectives-as-nouns-adjective-order.pdf

2 páginas

He publicado nuevos apuntes de 2º Idioma Moderno II (ingles): Grammar-Bank-2A-Present-perfect-simple-and-continuous.pdf

3 páginas

He publicado nuevos apuntes de 2º Idioma Moderno II (ingles): Vocabulary-Units-2A.pdf

1 página

He publicado nuevos apuntes de 2º Idioma Moderno II (ingles): Vocabulary-Units-2B.pdf

1 página

He publicado nuevos apuntes de 2º Idioma Moderno II (ingles): Vocabulary-Bank-4--Adverbs-and-adverbial-phrases.pdf

1 página

He publicado nuevos apuntes de 2º Idioma Moderno II (ingles): Vocabulary-Bank-3--Clothes-and-fashion.pdf

2 páginas

He publicado nuevos apuntes de 2º Idioma Moderno II (ingles): Vocabulary-Units-1-B.pdf

1 página

He publicado nuevos apuntes de 2º Idioma Moderno II (ingles): Vocabulary-Units-1-A.pdf

1 página

He publicado nuevos apuntes de 2º Idioma Moderno II (ingles): Vocabulary-Bank-1--Illnesses-and-injuries-Enfermedades-y-lesiones.pdf

2 páginas

He publicado nuevos apuntes de 2º Idioma Moderno II (ingles): Vocabulary-Bank-2--Clothes-and-fashion-Ropa-y-moda.pdf

2 páginas

He publicado nuevos apuntes de 2º Idioma Moderno II (ingles): Grammar-Bank--1A-Question-formation.pdf

2 páginas

He publicado nuevos apuntes de 2º Idioma Moderno II (ingles): Grammar-Bank--1B-Auxiliary-verbs.pdf

2 páginas

He publicado nuevos apuntes de 2º Idioma Moderno II (ingles): IN-THE-SHADOW-OF-THE-MOUNTAIN.pdf

49 páginas
¡Estás al día!

¡Estás al día!

Has visto todos los archivos