chevron_left
chevron_right
Todo
Apuntes
Preguntas
Ejercicios
Exámenes
Otros
chevron_left
chevron_right

Vocabulario con traducción perfecto, exámen aprobado

word

ACRONIMOS TABLA DE VERBOS DESCRIPCION DE GRAFICA Y VOCABULARIO

6 páginas

COLLOCATIONS TABLA DE WORD-FORMATION ACRONIMOS VOCABULARIO

5 páginas

He publicado nuevos apuntes de 1º Idioma Moderno: Vocabulario-money-and-finance.pdf

4 páginas

ejercicios

-

ejercicios vocabulario

He publicado nuevos ejercicios de 1º Idioma Moderno: ejercicios vocabulario

Miniatura no disponible
UNIT-0-Y-1.pages
Miniatura no disponible
UNIT-2.pages
Miniatura no disponible
UNIT-3.pages
Miniatura no disponible
UNIT-4.pages
Miniatura no disponible
GRAPHS.pages
Miniatura no disponible
AMERICAN-AND-BRITISH.pages

He publicado nuevos apuntes de 1º Idioma Moderno: Apuntes-de-idioma-moderno.pdf

28 páginas

Grupo B2

5 páginas

He publicado nuevos apuntes de 1º Idioma Moderno: Functional-language-bank.pdf

8 páginas

He publicado nuevos apuntes de 1º Idioma Moderno: Extra-activities-U3.pdf

5 páginas

He publicado nuevos apuntes de 1º Idioma Moderno: Extra-ativities-U3-answers.pdf

3 páginas

He publicado nuevos apuntes de 1º Idioma Moderno: Glossary.pdf

11 páginas

He publicado nuevos otros de 1º Idioma Moderno: GUIA-DOCENTE-INGLES-MODERN-LANGUAGE.pdf

6 páginas

He publicado nuevos otros de 1º Idioma Moderno: GUIA-DOCENTE-IDIOMA-MODERNO.pdf

3 páginas
Anónimo

@Anónimo

He publicado nuevos apuntes de 1º Idioma Moderno: IDIOMA-MODERNO-COMPLETOS.pdf

10 páginas

He publicado nuevos apuntes de 1º Idioma Moderno: Vocabulario-idioma-moderno.pdf

23 páginas

He publicado nuevos apuntes de 1º Idioma Moderno: Vocabulary-exercise-BANKING.pdf

1 página

He publicado nuevos apuntes de 1º Idioma Moderno: Vocabulario-examen.pdf

5 páginas

apuntes

-

1ero, Idioma Moderno

He publicado nuevos apuntes de 1º Idioma Moderno: 1ero, Idioma Moderno

Mapa-Mental-Primer-Parcial.pdf
Example-of-Meeting-Presentation.pdf
Anónimo

@Anónimo

He publicado nuevos apuntes de 1º Idioma Moderno: Tabla-Verbs-Nouns.pdf

2 páginas

apuntes

-

examenes y ejercicios idioma moderno

He publicado nuevos apuntes de 1º Idioma Moderno: examenes y ejercicios idioma moderno

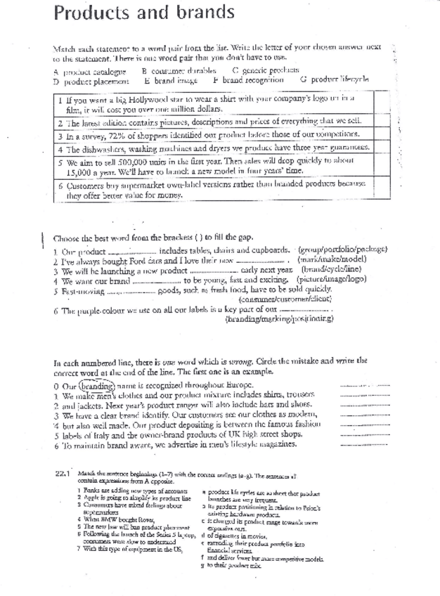
Products-brands-Vocabulary-exercises.pdf
Entry-Test-2.pdf
review-exercises-final-exam.pdf
review-exercises-final-exam-copia.pdf
Unit1-Vocabulary-Markets-3.pdf
U1Brands-Vocabulary.doc

He publicado nuevos apuntes de 1º Idioma Moderno: review-test-1.docx

word

He publicado nuevos apuntes de 1º Idioma Moderno: Vocabulario-libro.pdf

12 páginas
Anónimo

@Anónimo

He publicado nuevos examenes de 1º Idioma Moderno: PARCIAL-1-.docx

word

He publicado nuevos apuntes de 1º Idioma Moderno: responder-preguntas.docx

word

apuntes

-

VOCABULARY

He publicado nuevos apuntes de 1º Idioma Moderno: VOCABULARY

canvas-1.png
canvas.png

apuntes

-

VOCABULARIO IDIOMA MODERNO

He publicado nuevos apuntes de 1º Idioma Moderno: VOCABULARIO IDIOMA MODERNO

VOCABULARY-UNIT-8.pdf
VOCABULARY-UNIT-5.pdf
VOCABULARY-UNIT-2.pdf
VOCABULARY-UNIT-7.pdf
VOCABULARY-UNIT-6.pdf
VOCABULARY-UNIT-1.pdf

apuntes

-

IDIOMA MODERNO VOCAB

He publicado nuevos apuntes de 1º Idioma Moderno: IDIOMA MODERNO VOCAB

companies.pdf
brands-prods-markets-marketing.pdf
buying-and-selling.pdf
banking-vocab.pdf
advertising-and-acronyms.pdf
work.pdf

He publicado nuevos apuntes de 1º Idioma Moderno: VOCABULARIO-MONEY-COMPLETO.pdf

2 páginas

He publicado nuevos apuntes de 1º Idioma Moderno: VOCABULARIO-TEMA-1-AL-5.pdf

3 páginas

He publicado nuevos apuntes de 1º Idioma Moderno: VOCABULARIO-COMPLETO-WORK.pdf

3 páginas

apuntes

-

VOCABULARIO

He publicado nuevos apuntes de 1º Idioma Moderno: VOCABULARIO

VOCABULARIO-MONEY-PARTE-1.pdf
VOCABULARIO-MONEY-2.pdf

He publicado nuevos apuntes de 1º Idioma Moderno: EJERCICIO-PRODUCTS-AND-BRANDS.pdf

1 página

He publicado nuevos apuntes de 1º Idioma Moderno: PRODUCTS-ADJETIVES.pdf

1 página

He publicado nuevos apuntes de 1º Idioma Moderno: GRAMATICA-CONDICIONALES.pdf

3 páginas

He publicado nuevos apuntes de 1º Idioma Moderno: GRAMATICA-PASIVA.pdf

1 página

He publicado nuevos apuntes de 1º Idioma Moderno: GRAMATICA-FUTURO.pdf

1 página

He publicado nuevos apuntes de 1º Idioma Moderno: VERBS-DESCRIBING-TRENDS.pdf

1 página

apuntes

-

gramática inglés

He publicado nuevos apuntes de 1º Idioma Moderno: gramática inglés

grammar.pdf
In-on-at.docx
Tabla-verbo-nombre.docx
PASSIVES.docx
RELATIVE-CLAUSES-Explanation.docx

apuntes

-

vocabulario inglés

He publicado nuevos apuntes de 1º Idioma Moderno: vocabulario inglés

DESCRIBING-GRAPHS.docx
example-of-graph-description.docx
vocabulario-examen-final.pdf
Collocations-with-JOB-WORK-WORKING.docx
siglas-work-vs-job-saying-numbers.pdf

apuntes

-

idioma moderno

He publicado nuevos apuntes de 1º Idioma Moderno: idioma moderno

WORD-FORMATION.pdf
VOCABULARY.pdf
grammar.pdf

He publicado nuevos apuntes de 1º Idioma Moderno: Vocabulary-final-exam-2021.pdf

7 páginas

He publicado nuevos apuntes de 1º Idioma Moderno: VOCABULARY-PG.pdf

3 páginas

apuntes

-

apuntes y ejercicios

He publicado nuevos apuntes de 1º Idioma Moderno: apuntes y ejercicios

Review9and12.pdf
Multiplechoice-1.pdf
GRAMMAR.doc
textbanku04.pdf
textbank12.pdf
Internationalmarket.pdf

He publicado nuevos otros de 1º Idioma Moderno: Libro de Iglés.pdf

176 páginas

otros

-

GRAMÁTICA

No es contenido del curso. Son tiempos verbales y sus usos.

Present simple.pdf
Present simple.pdf
Present Continuous.pdf
Past Simple.pdf
PAST CONTINUOUS.pdf
CONDITIONALS.pdf

He publicado nuevos apuntes de 1º Idioma Moderno: Past Perfect..pdf

1 página

He publicado nuevos apuntes de 1º Idioma Moderno: Giáo-trình-Market-Leader-Intermediate-3rd-edition.pdf

176 páginas

He publicado nuevos apuntes de 1º Idioma Moderno: GOING TO FOR FUTURE.pdf

4 páginas

He publicado nuevos apuntes de 1º Idioma Moderno: Expressions_connected_with_work.pdf

1 página

He publicado nuevos apuntes de 1º Idioma Moderno: new_market_leader_intermediate_course_book (1).pdf

176 páginas

He publicado nuevos apuntes de 1º Idioma Moderno: Irregular_verbs.pdf

1 página

He publicado nuevos apuntes de 1º Idioma Moderno: Unit 5 vocab.pdf

2 páginas

He publicado nuevos apuntes de 1º Idioma Moderno: Unit 9 vocab.pdf

1 página

He publicado nuevos apuntes de 1º Idioma Moderno: VOCAB UNIT 1.pdf

1 página

He publicado nuevos apuntes de 1º Idioma Moderno: Unit 4 vocab.pdf

2 páginas

He publicado nuevos apuntes de 1º Idioma Moderno: unit 3 vocab.pdf

1 página

He publicado nuevos apuntes de 1º Idioma Moderno: Market Leader Intermediate.pdf

169 páginas
¡Estás al día!

¡Estás al día!

Has visto todos los archivos