chevron_left
chevron_right
Todo
Apuntes
Ejercicios
Exámenes
chevron_left
chevron_right

ejercicios

-

Hoja 6

Ejercicios de distribuciones separados de los ejercicios de tests

Ejercicios-test.pdf
Ejercicios-distribuciones.pdf

ejercicios

-

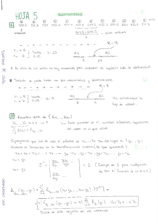
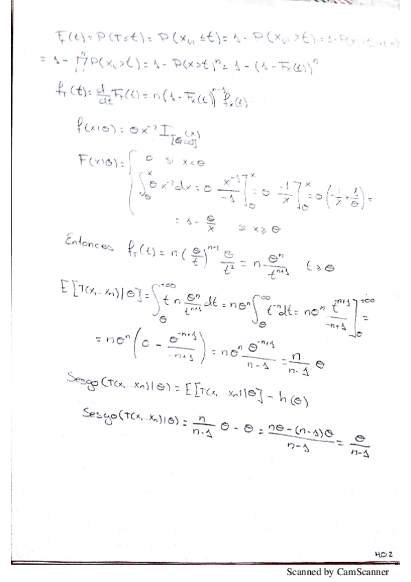
Hoja 5

He publicado nuevos ejercicios de 3º Inferencia Estadística: Hoja 5

Hoja-5-Bayes.pdf
Hoja-5-Parte-1.pdf

examenes

-

Examenes 2020 - 2025

He publicado nuevos examenes de 3º Inferencia Estadística: Examenes 2020 - 2025

Extraordinaria-2023.pdf
Ordinaria-2019.pdf
Ordinaria-2021.pdf
Ordinaria-2022.pdf
Ordinaria-2023.pdf
Ordinaria-2024.pdf

Examen resuelto

12 páginas

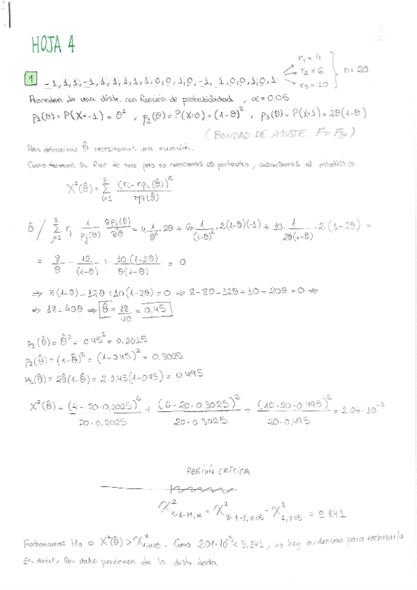
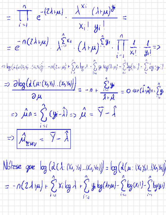
He publicado nuevos ejercicios de 3º Inferencia Estadística: HOJA-4.pdf

43 páginas

ejercicios

-

Hoja 2

He publicado nuevos ejercicios de 3º Inferencia Estadística: Hoja 2

Ejercicio-12.pdf
Hoja-2.pdf

He publicado nuevos examenes de 3º Inferencia Estadística: Parcial-Temas-1-2-y-3-2024.pdf

18 páginas

He publicado nuevos ejercicios de 3º Inferencia Estadística: HOJA-3.pdf

55 páginas

He publicado nuevos ejercicios de 3º Inferencia Estadística: Hoja-1.pdf

48 páginas

He publicado nuevos examenes de 3º Inferencia Estadística: Parcial-2024.pdf

9 páginas

He publicado nuevos examenes de 3º Inferencia Estadística: EXAMEN-ENERO-24.pdf

2 páginas

He publicado nuevos ejercicios de 3º Inferencia Estadística: H4-IE.pdf

7 páginas

He publicado nuevos ejercicios de 3º Inferencia Estadística: H6-IE.pdf

6 páginas

He publicado nuevos examenes de 3º Inferencia Estadística: Examenes-IE.pdf

18 páginas

He publicado nuevos ejercicios de 3º Inferencia Estadística: H3-IE.pdf

8 páginas

He publicado nuevos ejercicios de 3º Inferencia Estadística: H5-IE.pdf

6 páginas

He publicado nuevos ejercicios de 3º Inferencia Estadística: H2-IE.pdf

9 páginas

He publicado nuevos ejercicios de 3º Inferencia Estadística: H1-IE.pdf

3 páginas
Anónimo

@Anónimo

He publicado nuevos ejercicios de 3º Inferencia Estadística: IE(Problemas).pdf

58 páginas
Anónimo

@Anónimo

He publicado nuevos apuntes de 3º Inferencia Estadística: IE(Apuntes).pdf

31 páginas

apuntes

-

Teoría IE (Leandro Pardo)

He publicado nuevos apuntes de 3º Inferencia Estadística: Teoría IE (Leandro Pardo)

IE-T-1.pdf
IE-T-2.pdf
IE-t-3.pdf

He publicado nuevos apuntes de 3º Inferencia Estadística: TEMAS-1-Y-2-INFERENCIA.pdf

17 páginas

He publicado nuevos apuntes de 3º Inferencia Estadística: TEMA-4-INFERENCIA.pdf

14 páginas

He publicado nuevos apuntes de 3º Inferencia Estadística: TEMA-3-INFERENCIA.pdf

13 páginas

He publicado nuevos apuntes de 3º Inferencia Estadística: RESUMEN-INFERENCIA.pdf

13 páginas

He publicado nuevos examenes de 3º Inferencia Estadística: PARCIAL-2223-CORREGIDO-INFERENCIA.pdf

3 páginas

He publicado nuevos ejercicios de 3º Inferencia Estadística: HOJA-6-INFERENCIA.pdf

13 páginas

He publicado nuevos ejercicios de 3º Inferencia Estadística: HOJA-5-INFERENCIA.pdf

24 páginas

He publicado nuevos ejercicios de 3º Inferencia Estadística: HOJA-4-INFERENCIA.pdf

27 páginas

He publicado nuevos ejercicios de 3º Inferencia Estadística: HOJA-3-INFERENCIA.pdf

16 páginas

He publicado nuevos ejercicios de 3º Inferencia Estadística: HOJA-1-INFERENCIA.pdf

11 páginas

He publicado nuevos ejercicios de 3º Inferencia Estadística: HOJA-2-INFERENCIA.pdf

19 páginas

He publicado nuevos examenes de 3º Inferencia Estadística: EXAMENES-RESUELTOS-INFERENCIA.pdf

46 páginas

He publicado nuevos ejercicios de 3º Inferencia Estadística: EJERCICIO-TEORICO-INFERENCIA.pdf

7 páginas
Anónimo

@Anónimo

ejercicios

-

Ejercicios ie

He publicado nuevos ejercicios de 3º Inferencia Estadística: Ejercicios ie

Hoja-1.pdf
Hoja-2.pdf
Hoja-3.pdf
Hoja-4.pdf
Hoja-5.pdf
Hoja-6.pdf
Anónimo

@Anónimo

examenes

-

Examenes resueltos

He publicado nuevos examenes de 3º Inferencia Estadística: Examenes resueltos

12-2-2021-1.pdf
Examen21-01-2022.pdf
ExamenSoluciones2023.pdf
Junio.pdf
Anónimo

@Anónimo

He publicado nuevos examenes de 3º Inferencia Estadística: EXAMEN-ENERO-2023.pdf

2 páginas

ejercicios

-

Hojas de ejercicios

He publicado nuevos ejercicios de 3º Inferencia Estadística: Hojas de ejercicios

Hoja1.pdf
Hoja2.pdf
Hoja3.pdf
Hoja0.pdf

He publicado nuevos apuntes de 3º Inferencia Estadística: WhatsApp-Image-2020-10-23-at-13.jpg

Imagen

apuntes

-

INFERENCIA ESTADISTICA

He publicado nuevos apuntes de 3º Inferencia Estadística: INFERENCIA ESTADISTICA

HOJA1.pdf
HOJA2.pdf
HOJA5.pdf
HOJADecision.pdf
HOJA4.pdf
ResumenesIE.pdf

He publicado nuevos apuntes de 3º Inferencia Estadística: taie-inferencia-robusta.pdf

16 páginas

He publicado nuevos apuntes de 3º Inferencia Estadística: resumenes-taie.pdf

18 páginas

He publicado nuevos apuntes de 3º Inferencia Estadística: 21335.pdf

11 páginas

He publicado nuevos apuntes de 3º Inferencia Estadística: Ie_h3.pdf

13 páginas

He publicado nuevos apuntes de 3º Inferencia Estadística: ie_t4.pdf

10 páginas

He publicado nuevos apuntes de 3º Inferencia Estadística: Ie_3.pdf

22 páginas

He publicado nuevos apuntes de 3º Inferencia Estadística: Ie_t2.pdf

15 páginas

He publicado nuevos apuntes de 3º Inferencia Estadística: TeoDecisión.pdf

29 páginas

He publicado nuevos apuntes de 3º Inferencia Estadística: Noparazmetrica.pdf

22 páginas

He publicado nuevos apuntes de 3º Inferencia Estadística: taie5.pdf

11 páginas

He publicado nuevos apuntes de 3º Inferencia Estadística: taie6.pdf

3 páginas

He publicado nuevos apuntes de 3º Inferencia Estadística: taie2.pdf

5 páginas

He publicado nuevos apuntes de 3º Inferencia Estadística: taie3.pdf

5 páginas

He publicado nuevos apuntes de 3º Inferencia Estadística: Taie1.pdf

6 páginas

He publicado nuevos apuntes de 3º Inferencia Estadística: taie4.pdf

4 páginas

He publicado nuevos apuntes de 3º Inferencia Estadística: Ie_t1c.pdf

16 páginas

He publicado nuevos ejercicios de 3º Inferencia Estadística: Ie_Hoja0.pdf

16 páginas

He publicado nuevos apuntes de 3º Inferencia Estadística: Ie_t1.pdf

8 páginas
¡Estás al día!

¡Estás al día!

Has visto todos los archivos