Inferencia Estadística

chevron_left
chevron_right
Todo
Apuntes
Ejercicios
Exámenes
Otros
Trabajos
chevron_left
chevron_right

He publicado nuevos apuntes de 2º Inferencia Estadística: Relacion-4-Clase.pdf

10 páginas

He publicado nuevos apuntes de 2º Inferencia Estadística: Relacion-4-Ejercicios-explicados.pdf

2 páginas

He publicado nuevos apuntes de 2º Inferencia Estadística: Tema-5-Esquema.pdf

3 páginas

He publicado nuevos apuntes de 2º Inferencia Estadística: Tema-6-Resumen.pdf

7 páginas

He publicado nuevos apuntes de 2º Inferencia Estadística: Tema-5-Resumen.pdf

8 páginas

He publicado nuevos apuntes de 2º Inferencia Estadística: Tema-6-Esquema.pdf

3 páginas

He publicado nuevos apuntes de 2º Inferencia Estadística: Tema-7-Apuntes-clase.pdf

10 páginas

He publicado nuevos apuntes de 2º Inferencia Estadística: Tema-7-Esquema.pdf

2 páginas

He publicado nuevos apuntes de 2º Inferencia Estadística: Tema-9-Apuntes-clase.pdf

2 páginas

He publicado nuevos apuntes de 2º Inferencia Estadística: Relacion-1.pdf

5 páginas

He publicado nuevos apuntes de 2º Inferencia Estadística: Tema-1.pdf

14 páginas

Continuación del tema 1

2 páginas

He publicado nuevos apuntes de 2º Inferencia Estadística: Tema-3.pdf

11 páginas

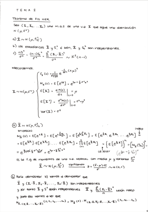
He publicado nuevos apuntes de 2º Inferencia Estadística: Tema-2.pdf

11 páginas

He publicado nuevos apuntes de 2º Inferencia Estadística: Tema-4.pdf

13 páginas

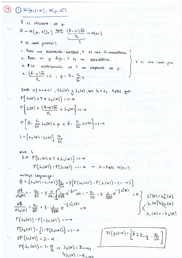
He publicado nuevos apuntes de 2º Inferencia Estadística: Intervalos.confianza.pdf

16 páginas

ejercicios

-

Repaso

He publicado nuevos ejercicios de 2º Inferencia Estadística: Repaso

TEMA-567-IE.pdf
1oCuatri-1oParte.pdf

apuntes

-

Apuntes 2 cuatri

Algunos exámenes tienen ejercicios hechos y ejemplos

Tema-6-IE.pdf
Tema-5-IE-3.pdf

He publicado nuevos apuntes de 2º Inferencia Estadística: AnexoTema5.pdf

5 páginas

He publicado nuevos apuntes de 2º Inferencia Estadística: AnexoTema4.pdf

7 páginas

He publicado nuevos apuntes de 2º Inferencia Estadística: AnexoTema3.pdf

7 páginas

He publicado nuevos ejercicios de 2º Inferencia Estadística: Relacion1.pdf

7 páginas

He publicado nuevos apuntes de 2º Inferencia Estadística: Tema2.pdf

14 páginas

He publicado nuevos apuntes de 2º Inferencia Estadística: Tema1.pdf

19 páginas

He publicado nuevos apuntes de 2º Inferencia Estadística: ResumenTema4IE.pdf

13 páginas

He publicado nuevos ejercicios de 2º Inferencia Estadística: Relacion2-IE.pdf

7 páginas

He publicado nuevos ejercicios de 2º Inferencia Estadística: Relacion-1-IE.pdf

10 páginas

He publicado nuevos apuntes de 2º Inferencia Estadística: Tema-2-IE.pdf

10 páginas

He publicado nuevos apuntes de 2º Inferencia Estadística: Tema-1IE.pdf

13 páginas

apuntes

-

teoría inferencia

He publicado nuevos apuntes de 2º Inferencia Estadística: teoría inferencia

Inferencia-Estadistica.pdf

He publicado nuevos apuntes de 2º Inferencia Estadística: Resumen-Tema-9-Inferencia.pdf

4 páginas

He publicado nuevos apuntes de 2º Inferencia Estadística: Tema-8-INFERENCIA-con-Intervalos-de-confianza.pdf

24 páginas

He publicado nuevos apuntes de 2º Inferencia Estadística: Tema-7-inferencia.pdf

7 páginas

He publicado nuevos apuntes de 2º Inferencia Estadística: Tema-5-Inferencia.pdf

12 páginas

He publicado nuevos apuntes de 2º Inferencia Estadística: Tema-6-Inferencia.pdf

10 páginas

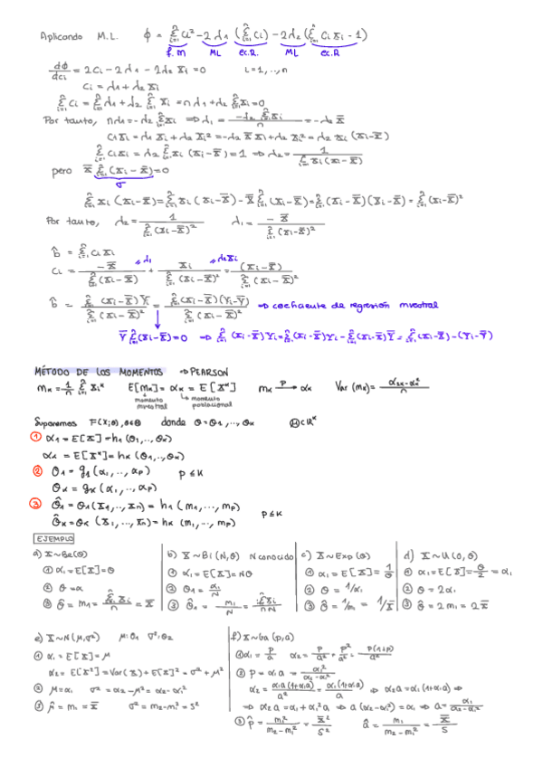
He publicado nuevos apuntes de 2º Inferencia Estadística: Tema-4-Parte-2-Cantidad-de-Informacion-de-Fisher.pdf

10 páginas

He publicado nuevos apuntes de 2º Inferencia Estadística: Tema-6-Inferencia.pdf

8 páginas

He publicado nuevos apuntes de 2º Inferencia Estadística: Tema-5-inferencia.pdf

10 páginas

He publicado nuevos apuntes de 2º Inferencia Estadística: Tema-4-Inferencia-Estadistica.pdf

21 páginas

He publicado nuevos apuntes de 2º Inferencia Estadística: Tema-2-Inferencia.pdf

11 páginas

He publicado nuevos apuntes de 2º Inferencia Estadística: Tema-1-Inferencia.pdf

12 páginas

He publicado nuevos apuntes de 2º Inferencia Estadística: Tema-3-Inferencia.pdf

10 páginas

He publicado nuevos apuntes de 2º Inferencia Estadística: Tema-4-Inferencia.pdf

11 páginas

He publicado nuevos ejercicios de 2º Inferencia Estadística: Ejercicios-tema-3-y-4-Inferencia.pdf

3 páginas

He publicado nuevos ejercicios de 2º Inferencia Estadística: Relacion-2-Inferencia-Tema-3.pdf

8 páginas

He publicado nuevos apuntes de 2º Inferencia Estadística: Tema-3-inferencia.pdf

8 páginas

He publicado nuevos apuntes de 2º Inferencia Estadística: Tema-1-inferencia.pdf

10 páginas

He publicado nuevos ejercicios de 2º Inferencia Estadística: Relacion-1-inferencia.pdf

6 páginas

He publicado nuevos apuntes de 2º Inferencia Estadística: Apuntes-tema-2-inferencia.pdf

8 páginas
Anónimo

@Anónimo

He publicado nuevos apuntes de 2º Inferencia Estadística: Tema 8.pdf

12 páginas
Anónimo

@Anónimo

apuntes

-

Temas segundo cuatri

He publicado nuevos apuntes de 2º Inferencia Estadística: Temas segundo cuatri

tema5.pdf
tema6.pdf
tema7.pdf
tema8.pdf
tema9.pdf
Anónimo

@Anónimo

He publicado nuevos examenes de 2º Inferencia Estadística: Examenes-segundo-cuatri.pdf

3 páginas

apuntes

-

INFERENCIA ESTADISTICA 2021-2022

Los ejercicios de clase para entregar estan en las relaciones

Apuntes-completos.pdf
IE-2021-22-Parciales.pdf
IE-2021-22-Relacion1SucioLimpio.pdf
IE-2021-22-Relacion2SucioLimpio.pdf
IE-2021-22-Relacion3SucioLimpio.pdf
IE-2021-22-Relacion4SucioLimpio.pdf
Anónimo

@Anónimo

apuntes

-

Temas primer cuatri

He publicado nuevos apuntes de 2º Inferencia Estadística: Temas primer cuatri

tema-1.pdf
tema-2.pdf
tema-3.pdf
tema-4.pdf

He publicado nuevos apuntes de 2º Inferencia Estadística: ejercicio-inferencia-propuesto-2020.pdf

1 página

He publicado nuevos apuntes de 2º Inferencia Estadística: ejercicio-propuesto-2020.pdf

1 página

ejercicios

-

RELACIONES RESUELTAS IE 2022-23

He publicado nuevos ejercicios de 2º Inferencia Estadística: RELACIONES RESUELTAS IE 2022-23

RELACION-No2-IE-2022-23.pdf
RELACION-No3-IE-2022-23.pdf

apuntes

-

TEMAS 5-9

He publicado nuevos apuntes de 2º Inferencia Estadística: TEMAS 5-9

Tema-8.pdf
Tema-9.pdf
Tema-5.pdf
Tema-6-y-BLUE.pdf
Tema-7.pdf

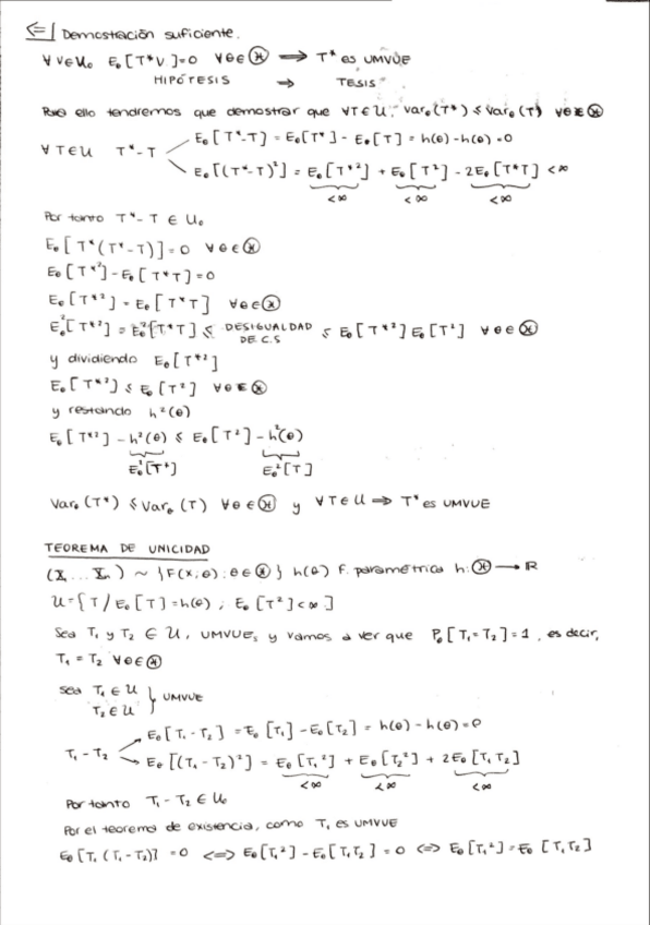
He publicado nuevos apuntes de 2º Inferencia Estadística: Tema-6-Estimadores-UMVUE.pdf

9 páginas

He publicado nuevos apuntes de 2º Inferencia Estadística: Tema-1-IE.pdf

20 páginas