chevron_left
chevron_right
Todo
Apuntes
Ejercicios
Exámenes
Otros
Prácticas
publication
chevron_left
chevron_right

Examen oficial de Inferencias Estadística (UOC). ¿Necesitas ayuda para preparar esta asignatura? Soy profesor particular de Inferencias Estadística en Barcelona. ? 638 343 626 ? cesarpatino-estadistica.netlify.app

11 páginas

PEC 2 INFERENCIA ESTADÍSITICA UOC

3 páginas

INFERENCIA ESTADÍSTICA - CUESTIONARIO PRÁCTICO 1 - CURSO 2324

Examen Inferencia Estadística UOC

9 páginas

Curso online Inferencia Estadística / Estadística aplicada ADE UOC - ESTADISTIX

Anónimo

@Anónimo

apuntes

-

1 PEC

Apuntes con guías ´para construir Intervalos de confianza

Teoria-1-Intervalos-de-Confianza.pdf
Intervalo-de-confianza-para-la-proporcion.pdf
Anónimo

@Anónimo

Formulas para calcular intervalos de confianza paso a paso

1 página

He publicado nuevos apuntes de 2º Inferencia Estadística

Miniatura no disponible
https://www.youtube.com/watch?v=zvWp_3PYKCY

He publicado nuevos apuntes de 2º Inferencia Estadística: TuAcademiaFacil-Como-son-nuestros-cursos-UOC.mp4

video

He publicado nuevos apuntes de 2º Inferencia Estadística

https://youtu.be/3Iwwa8LxIes

He publicado nuevos apuntes de 2º Inferencia Estadística: TuAcademiaFacil-Como-son-nuestros-cursos-UOC.mp4

video

He publicado nuevos apuntes de 2º Inferencia Estadística

https://youtu.be/F1JfABcejWo

He publicado nuevos apuntes de 2º Inferencia Estadística

Miniatura no disponible
https://t.me/+KfS0LSmv5ng5ZDVk

He publicado nuevos examenes de 2º Inferencia Estadística: PIZARRA-EJERCICIOS-REPASO-M1-INTERVALOS-DE-CONFIANZA-I-2.pdf

7 páginas

He publicado nuevos examenes de 2º Inferencia Estadística: PIZARRA-IE-UOC-CURSO-23-24-S1-CE3-REGRESION-LINEAL-MULTIPLE.pdf

5 páginas

He publicado nuevos practicas de 2º Inferencia Estadística: PIZARRA-IE-UOC-CURSO-23-24-S1-QP3b-REGRESION-LINEAL-MULTIPLEII.pdf

5 páginas

He publicado nuevos examenes de 2º Inferencia Estadística: PIZARRA-IE-UOC-CURSO-23-24-S1-CE1.pdf

7 páginas

He publicado nuevos practicas de 2º Inferencia Estadística: IE-UOC-CURSO-23-24-S1-QP3b-REGRESION-LINEAL-MULTIPLEII.pdf

5 páginas

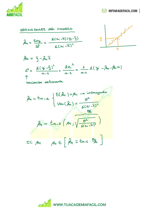
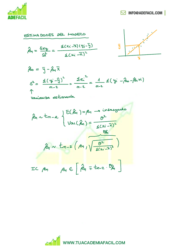
He publicado nuevos apuntes de 2º Inferencia Estadística: MODELO-DE-REGRESION-LINEAL-SIMPLE-INFERENCIA-EN-LA-REGRESION.pdf

3 páginas

He publicado nuevos apuntes de 2º Inferencia Estadística: PIZARRA-IE-UOC-CURSO-23-24-S1-QP2a.-CONTRASTES-DE-HIPOTESISI.pdf

7 páginas

He publicado nuevos practicas de 2º Inferencia Estadística: PIZARRA-IE-UOC-CURSO-23-24-S1-QP1b.-Intervalos-de-confianza-I.pdf

7 páginas

He publicado nuevos apuntes de 2º Inferencia Estadística: PIZARRA-MODELO-DE-REGRESION-LINEAL-SIMPLE-LA-CALIDAD-DEL-AJUSTE.pdf

9 páginas

He publicado nuevos apuntes de 2º Inferencia Estadística: PIZARRA-IE-UOC-CURSO-23-24-S1-QP2b.-CONTRASTES-DE-HIPOTESISII.pdf

6 páginas

He publicado nuevos apuntes de 2º Inferencia Estadística: PIZARRA-IE-UOC-CURSO-23-24-S1-QP4-CONTRASTE-DE-INDEPENDENCIA-Y-ANOVA.pdf

5 páginas

He publicado nuevos apuntes de 2º Inferencia Estadística: PIZARRA-IE-UOC-CURSO-23-24-S1-QP3a-REGRESION-LINEAL-SIMPLE-I.pdf

5 páginas

He publicado nuevos apuntes de 2º Inferencia Estadística: PIZARRA-IE-UOC-CURSO-23-24-S1-QP1a-Practica-con-la-distribucion-normal.pdf

7 páginas

He publicado nuevos otros de 2º Inferencia Estadística

Miniatura no disponible
Curso online Inferencia est. UOC - ESTADISTIX - https://youtu.be/_waS-Xl02aA.be/DdJhVV5bHs0
Anónimo

@Anónimo

He publicado nuevos apuntes de 2º Inferencia Estadística: Inferencia-estadistica.pdf

46 páginas
Anónimo

@Anónimo

He publicado nuevos otros de 2º Inferencia Estadística: Graficos-de-correlacion.pdf

2 páginas
Anónimo

@Anónimo

He publicado nuevos practicas de 2º Inferencia Estadística: Resum PACs.rar

rar
Anónimo

@Anónimo

He publicado nuevos apuntes de 2º Inferencia Estadística: Estadistica Aplicada Resumenes.rar

Miniatura no disponible
rar
¡Estás al día!

¡Estás al día!

Has visto todos los archivos