chevron_left
chevron_right
Todo
Apuntes
chevron_left
chevron_right

apuntes

-

Apuntes y Problemas 2do Parcial

He publicado nuevos apuntes de 3º Inferencia Estadística: Apuntes y Problemas 2do Parcial

Resumenes-2do-Parcial.pdf
Problemas-INFEST-2do-Parcial.pdf

He publicado nuevos apuntes de 3º Inferencia Estadística: Ejercicios-y-problemas-Tema-3.pdf

8 páginas

He publicado nuevos apuntes de 3º Inferencia Estadística: Tema-7.-Otras-tecnicas-de-Inferencia-Estadistica.pdf

5 páginas

He publicado nuevos apuntes de 3º Inferencia Estadística: Tema-6.-Inferencia-estadistica-para-variables-categoricas.pdf

5 páginas

He publicado nuevos apuntes de 3º Inferencia Estadística: Tema-5.-ANOVA.-Analisis-de-la-varianza..pdf

6 páginas

He publicado nuevos apuntes de 3º Inferencia Estadística: Tema-4.-Comparacion-de-dos-poblaciones.pdf

8 páginas

He publicado nuevos apuntes de 3º Inferencia Estadística: Tema-3.-Contrastes-de-hipotesis-sobre-una-poblacion.pdf

7 páginas

He publicado nuevos apuntes de 3º Inferencia Estadística: Tema-2.-Estimacion-puntual-y-por-intervalos-de-confianza.pdf

12 páginas

He publicado nuevos apuntes de 3º Inferencia Estadística: Tema-1.-Introduccion-a-la-Inferencia-Estadistica.pdf

6 páginas

He publicado nuevos apuntes de 3º Inferencia Estadística: Ejercicios-y-problemas-Tema-7.pdf

4 páginas

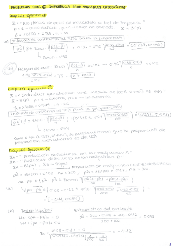
He publicado nuevos apuntes de 3º Inferencia Estadística: Ejercicios-y-problemas-Tema-6.pdf

6 páginas

He publicado nuevos apuntes de 3º Inferencia Estadística: Ejercicios-y-problemas-Tema-5.pdf

6 páginas

He publicado nuevos apuntes de 3º Inferencia Estadística: Ejercicios-y-problemas-Tema-4.pdf

6 páginas

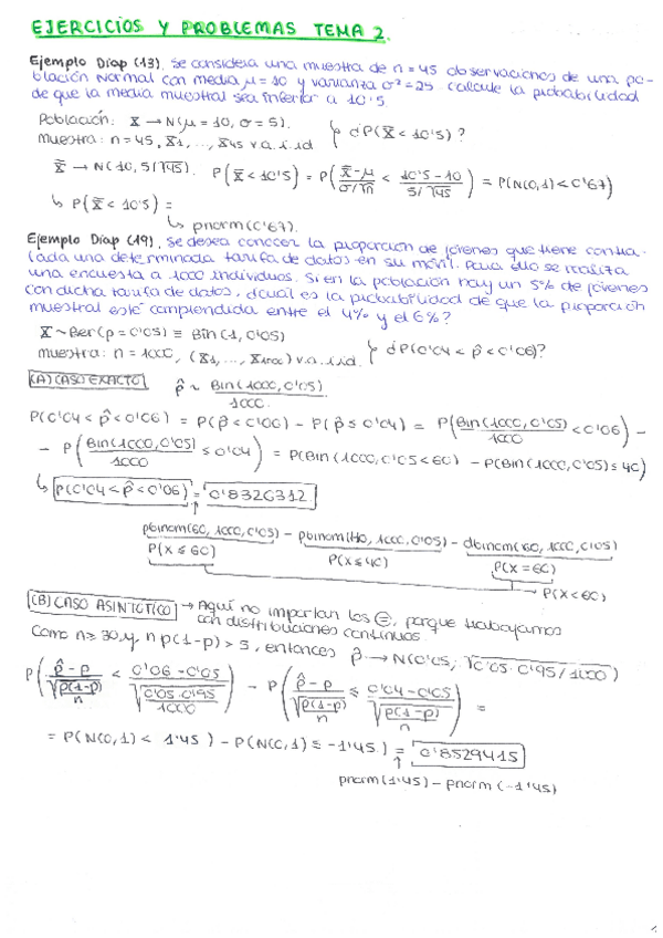
He publicado nuevos apuntes de 3º Inferencia Estadística: Ejercicios-y-problemas-Tema-2.pdf

14 páginas

He publicado nuevos apuntes de 3º Inferencia Estadística: Ejercicios-Repaso-Primer-Parcial.pdf

2 páginas
¡Estás al día!

¡Estás al día!

Has visto todos los archivos