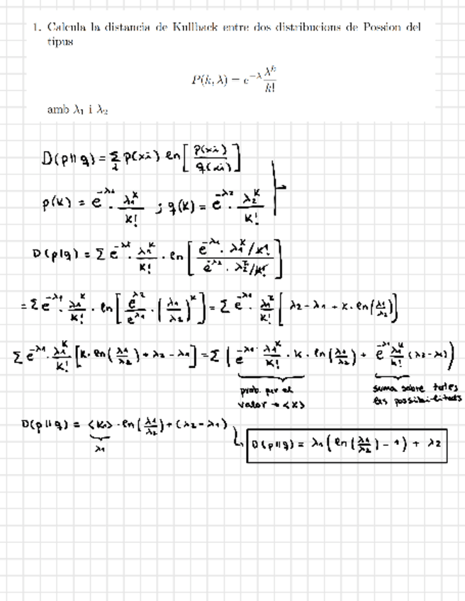
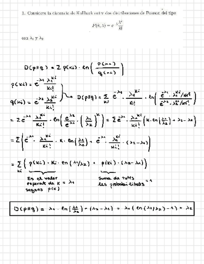
Informació Quàntica
Todo
Exámenes
chevron_left
chevron_right
examenes
-
Finales informació quantica
He publicado nuevos examenes de 4º Informació Quàntica: Finales informació quantica
¡Estás al día!
Has visto todos los archivos
examenes
-
Finales informació quantica
He publicado nuevos examenes de 4º Informació Quàntica: Finales informació quantica
¡Estás al día!
Has visto todos los archivos