Informática y Comunicaciones Industriales

chevron_left
chevron_right
Todo
Apuntes
Ejercicios
Exámenes
Prácticas
publication
Trabajos
chevron_left
chevron_right

apuntes

-

Proyecto 2025-2026

He publicado nuevos apuntes de 4º Informática y Comunicaciones Industriales: Proyecto 2025-2026

Miniatura no disponible
ElenaLopezBarreraCubeIDEDesdeCubeIDE.zip
Miniatura no disponible
ElenaLopezBarreraVisualStudio.rar
Miniatura no disponible
ElenaLopezBarreraVisualStudio.rar

apuntes

-

Preguntas Teoría

1 archivo con solo enunciados 1 archivo con enunciados y soluciones 1 archivo con enunciados, soluciones y apuntes

Miniatura no disponible
Preguntas-Teoria.zip

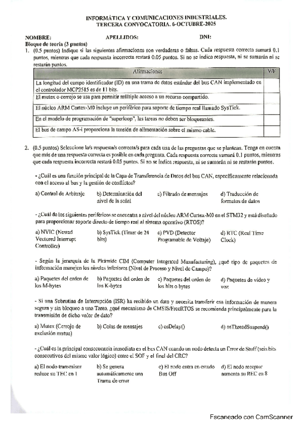
He publicado nuevos examenes de 4º Informática y Comunicaciones Industriales: Examen Tercera Convocatoria 24-25.pdf.pdf

3 páginas

examenes

-

Exámenes teoría

Solución de la teoría de los exámenes. Los ejercicios de tareas están corregidos por el profesor, al igual que los mini problemas (los de números)

Examen-Alternativa-24-25-Teoria-Solucion.pdf
Examen-Primera-Convocatoria-24-25-Teoria-Solucion.pdf
Examen-Segunda-Convocatoria-24-25-Teoria-Solucion.pdf

examenes

-

Exámenes problemas

Problemas de exámenes solucionados, corregidos por el profesor. En algunos exámenes se hacen cambios para mayor ampliación, también corregidos por el profesor

Examen-Primera-Convocatoria-24-25-sol2.pdf
Examen-Segunda-Convocatoria-24-25-con-cambios.pdf
Examen-Segunda-Convocatoria-24-25-solucion.pdf
Examen-Alternativa-24-25-con-cambios.pdf
Examen-Alternativa-24-25-solucion.pdf
Examen-Primera-Convocatoria-24-25-sol1.pdf

Tabla resumen para el ejercicio de tareas de los exámenes, siempre cae este tipo de ejercicios

1 página

Resumen de todos los temas de ICI

19 páginas

He publicado nuevos apuntes de 4º Informática y Comunicaciones Industriales: Preguntas-de-teoria.pdf

2 páginas

He publicado nuevos apuntes de 4º Informática y Comunicaciones Industriales: Examen-enero-2020-1.pdf

3 páginas

He publicado nuevos apuntes de 4º Informática y Comunicaciones Industriales: Ayuda-practicas-ICI.pdf

19 páginas

He publicado nuevos apuntes de 4º Informática y Comunicaciones Industriales: VISUAL-STUDIO-2425.pdf

5 páginas

He publicado nuevos apuntes de 4º Informática y Comunicaciones Industriales: STM32-PROYECTO-2425.pdf

24 páginas

He publicado nuevos examenes de 4º Informática y Comunicaciones Industriales: Examen-resuelto-19-Dic-2022.pdf

7 páginas
Anónimo

@Anónimo

He publicado nuevos apuntes de 4º Informática y Comunicaciones Industriales: Visual-studio-trabajo-ici.rar

Miniatura no disponible
rar
Anónimo

@Anónimo

He publicado nuevos apuntes de 4º Informática y Comunicaciones Industriales: TrabajoIci.rar

Miniatura no disponible
rar

practicas

-

Prácticas ICI 22/23

Prácticas resueltas del curso 2022/2023

Codigo-practica-3.pdf
Codigo-practica-4.pdf
Codigo-practica-7.pdf
Codigo practica 5.pdf

examenes

-

Problemas de examen resueltos por el profesor

Problemas de examen resueltos por el profesor

EXFEB2019Problemaconsolucion.pdf
ICIexamenFEB2018.pdf
ICIexamenFEB2020.pdf
SolProbExFeb18.pdf
Clase20enero2021v2.pdf

Evaluación alternativa examen de teoría

2 páginas

He publicado nuevos apuntes de 4º Informática y Comunicaciones Industriales: APUNTES-TEORIA-TEMAS-5-6--RESUMEN.pdf

8 páginas

He publicado nuevos examenes de 4º Informática y Comunicaciones Industriales: Apuntes-Teoria.pdf

6 páginas

He publicado nuevos apuntes de 4º Informática y Comunicaciones Industriales: Preguntas-de-Teoria.pdf

pdf

trabajos

-

Proyecto Final ICI

He publicado nuevos trabajos de 4º Informática y Comunicaciones Industriales: Proyecto Final ICI

ProyectoFinalAtollic-ICI.pdf
ProyectoFinalVS-ICI.pdf

practicas

-

Prácticas resueltas

He publicado nuevos practicas de 4º Informática y Comunicaciones Industriales: Prácticas resueltas

Practica-2.pdf
Practica-3-ICI.pdf
Practica-6-ICI.pdf
Practica-5-ICI.pdf
Practica-4-ICI.pdf
P9-Atollic-ICI.pdf

He publicado nuevos trabajos de 4º Informática y Comunicaciones Industriales: trabajo-ici.pdf

10 páginas

He publicado nuevos practicas de 4º Informática y Comunicaciones Industriales: SESION7.pdf

12 páginas

He publicado nuevos apuntes de 4º Informática y Comunicaciones Industriales: SESION6.pdf

9 páginas

He publicado nuevos practicas de 4º Informática y Comunicaciones Industriales: SESION5.pdf

5 páginas

He publicado nuevos practicas de 4º Informática y Comunicaciones Industriales: SESION3.pdf

9 páginas

PRACTICAS INFORMATICA

Alguien sería tan amable de subir las prácticas resueltas¿ gracias de antemano!

Anónimo

@Anónimo

examenes

-

CONJUNTO DE EXÁMENES RESUELTOS.

He publicado nuevos examenes de 4º Informática y Comunicaciones Industriales: CONJUNTO DE EXÁMENES RESUELTOS.

Ejemplo2-problema-examen1.pdf
Ejemplo-problema-examen1.pdf
ICIexamenALTene2020sol.pdf
SolProbExFeb18.pdf

practicas

-

PROYECTO FINAL (C++ Y VS).

He publicado nuevos practicas de 4º Informática y Comunicaciones Industriales: PROYECTO FINAL (C++ Y VS).

main.pdf
VSICI.pdf

apuntes

-

EXAMENES

He publicado nuevos apuntes de 4º Informática y Comunicaciones Industriales: EXAMENES

ICIexamenEVALT2017solucionprob-1b.pdf
ICIexamenEVALT2015.pdf
ICIexamenFEB2014ysol.pdf
ICIexamenDIC2014.pdf
ICIexamenSEP2014.pdf
ICIexamenFEB2015.pdf

He publicado nuevos apuntes de 4º Informática y Comunicaciones Industriales: ExamICITeoria.pdf

8 páginas

He publicado nuevos apuntes de 4º Informática y Comunicaciones Industriales: ExamICI.pdf

46 páginas

He publicado nuevos examenes de 4º Informática y Comunicaciones Industriales: CCF15052019_00001.jpg

Imagen

He publicado nuevos examenes de 4º Informática y Comunicaciones Industriales: Alternativa2019.pdf

1 página

He publicado nuevos examenes de 4º Informática y Comunicaciones Industriales: febrero2019.pdf

1 página

He publicado nuevos apuntes de 4º Informática y Comunicaciones Industriales: recopilaciondeejcuaderno.pdf

10 páginas

He publicado nuevos examenes de 4º Informática y Comunicaciones Industriales: ici_diciembre_2014.pdf

pdf

He publicado nuevos examenes de 4º Informática y Comunicaciones Industriales: II_examen_1er_cuatrimestre_SEP_2013_sol.pdf

5 páginas

He publicado nuevos examenes de 4º Informática y Comunicaciones Industriales: ici_septiembre_2014.pdf

2 páginas

He publicado nuevos ejercicios de 4º Informática y Comunicaciones Industriales: boletin_problemas_8051_resuelto.pdf

18 páginas

He publicado nuevos examenes de 4º Informática y Comunicaciones Industriales: ici_alternativa_2014.pdf

2 páginas

He publicado nuevos examenes de 4º Informática y Comunicaciones Industriales: ICI_examen_FEB_2014_y_sol.pdf

6 páginas

He publicado nuevos examenes de 4º Informática y Comunicaciones Industriales: ici_febrero_2014.pdf

2 páginas
¡Estás al día!

¡Estás al día!

Has visto todos los archivos