chevron_left
chevron_right
Todo
Exámenes
Trabajos
chevron_left
chevron_right

He publicado nuevos trabajos de 4º Infraestructuras Comunes de Telecomunicaciones: ProyectoICTtrabajo.pdf

3 páginas

examenes

-

de todo Exámenes Resueltos trabajos lab

He publicado nuevos examenes de 4º Infraestructuras Comunes de Telecomunicaciones: de todo Exámenes Resueltos trabajos lab

GRUPO.pdf
SOLUCION-examen.pdf
LISTADO-Y-DECRIPCION-UNIDADES-apuntes.pdf
curvas-en-edificacion.pdf
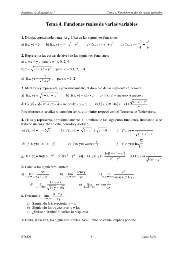
ejs-t2-resueltos.pdf
ejs-t4-resueltos.pdf
¡Estás al día!

¡Estás al día!

Has visto todos los archivos