Ingeniería Ambiental
He publicado nuevos ejercicios de 2º Ingeniería Ambiental: ACTIVIDAD-DE-EVALUACION-CONTINUA-1.pdf
Ejercicios Seminario 1 de Ingenieria ambiental 2026. Espero que sean de utilidad :D
INICIO CURSO INGENIERÍA AMBIENTAL Resumen de cada tema. Resolución de ejercicios y exámenes de convocatorias anteriores. Clases grabadas hasta el día del examen. Profesor a tu disposición en cualquier momento para dudas. INFÓRMATE SIN COMPROMISO Y DA UNA CLASE DE PRUEBA EN GRUPO.

He publicado nuevos apuntes de 2º Ingeniería Ambiental: Tipo-test-Ingenieria-bien-corregido-y-justificado.pdf
He publicado nuevos ejercicios de 2º Ingeniería Ambiental: EjercicioFinalGrupalIngenieriaAmbiental.pdf
He publicado nuevos examenes de 2º Ingeniería Ambiental: Examen-ingenieria-2024-25.pdf
He publicado nuevos ejercicios de 2º Ingeniería Ambiental: Ejercicio-Propuesto-Seminario-3.pdf
He publicado nuevos ejercicios de 2º Ingeniería Ambiental: Seminario-3.pdf
He publicado nuevos ejercicios de 2º Ingeniería Ambiental: Seminario-1.pdf
apuntes
-
Temas Ingeniería ambiental
He publicado nuevos apuntes de 2º Ingeniería Ambiental: Temas Ingeniería ambiental
He publicado nuevos ejercicios de 2º Ingeniería Ambiental: Seminario-1Magnitudes-y-unidades.pdf
He publicado nuevos apuntes de 2º Ingeniería Ambiental: Ingenieria-Ambiental-TODO-Temario--Problemas.pdf
He publicado nuevos test de 2º Ingeniería Ambiental: PREGUNTAS-TIPO-TEST-INGENIERIA.pdf
He publicado nuevos apuntes de 2º Ingeniería Ambiental: DEFINICIONES-INGENIERIA.pdf
He publicado nuevos apuntes de 2º Ingeniería Ambiental: RELACIONES-COMPLETAS-1-13.pdf
He publicado nuevos apuntes de 2º Ingeniería Ambiental: RELACIONES-COMPLETAS-14-23.pdf
He publicado nuevos apuntes de 2º Ingeniería Ambiental: ESQUEMAS-TEORIA.pdf
He publicado nuevos apuntes de 2º Ingeniería Ambiental: EJERCICIO-DE-EXAMEN-COMPLETO.pdf
INTENSIVO CURSO DE INGENIERÍA AMBIENTAL
ACADEMIA UNIVERSITARIA INICIO DE CURSO INGENIERÍA AMBIENTAL Resolución paso a paso de todos tus ejercicios y exámenes de años anteriores. TODAS TUS CLASES GRABADAS Y EN PDF HASTA EL DÍA DEL EXAMEN. Clases online y presenciales. Horario de mañana y tarde.

He publicado nuevos apuntes de 2º Ingeniería Ambiental: Formulario-de-ingenieria.pdf
ejercicios
-
Todos los problemas resueltos
Están todos los problemas resueltos con anotaciones
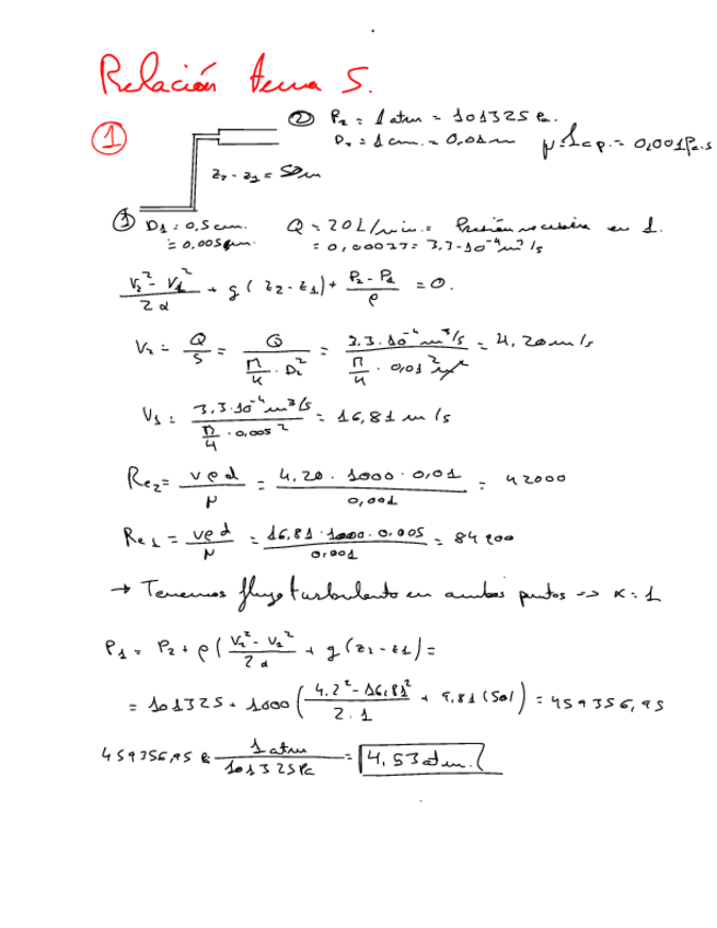
He publicado nuevos ejercicios de 2º Ingeniería Ambiental: Problemas-tema-5.pdf
He publicado nuevos ejercicios de 2º Ingeniería Ambiental: Problemas-tema-4.pdf
He publicado nuevos ejercicios de 2º Ingeniería Ambiental: Relacion-tema-3-resuelta.pdf
He publicado nuevos ejercicios de 2º Ingeniería Ambiental: Problemas-tema-3-resueltos.pdf
He publicado nuevos ejercicios de 2º Ingeniería Ambiental: TEMA-5-RELACION-6.pdf
He publicado nuevos ejercicios de 2º Ingeniería Ambiental: TEMA-3-RELACION-4.pdf
He publicado nuevos ejercicios de 2º Ingeniería Ambiental: TEMA-4-RELACION-5.pdf
He publicado nuevos ejercicios de 2º Ingeniería Ambiental: TEMA-3-RELACION-3.pdf
He publicado nuevos ejercicios de 2º Ingeniería Ambiental: TEMA-3-RELACION-2.pdf
He publicado nuevos ejercicios de 2º Ingeniería Ambiental: TEMA-3-RELACION-1.pdf
He publicado nuevos ejercicios de 2º Ingeniería Ambiental: Relacion-1-B.M-1-unid.-Resuelta.pdf
He publicado nuevos examenes de 2º Ingeniería Ambiental: Examen-ingenieria-2021.pdf
He publicado nuevos apuntes de 2º Ingeniería Ambiental: Informe-Ingenieria-Practicas-2223.pdf
He publicado nuevos practicas de 2º Ingeniería Ambiental: Seminario-2-Ingenieria-Excel.pdf
He publicado nuevos ejercicios de 2º Ingeniería Ambiental: SEMINARIO-1-ejercicios-propuestos.pdf
He publicado nuevos ejercicios de 2º Ingeniería Ambiental: Ejercicios-importantes-EXAMEN-ING.pdf
ACADEMIA INICIO DE CURSO INGENIERÍA AMBIENTAL
INICIO DE CURSO INGENIERÍA AMBIENTAL PARA CIENCIAS AMBIENTALES Resolución de todos tus ejercicios paso a paso y exámenes de años anteriores. Clases online y presenciales. Horario de mañana y de tarde. Prueba con nosotros una clase en grupo.

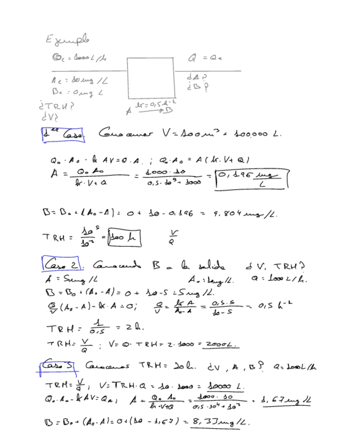
He publicado nuevos ejercicios de 2º Ingeniería Ambiental: BALANCES-DE-MATERIA-INGENIERIA-AMBIENTAL.pdf
He publicado nuevos ejercicios de 2º Ingeniería Ambiental: relacion-2-resuelta.pdf
trabajos
-
Actividades propuestas
He publicado nuevos trabajos de 2º Ingeniería Ambiental: Actividades propuestas
trabajos
-
Trabajo ingeniería Residuos Sanitarios
He publicado nuevos trabajos de 2º Ingeniería Ambiental: Trabajo ingeniería Residuos Sanitarios
He publicado nuevos examenes de 2º Ingeniería Ambiental: TIPO-TEST-corregido.pdf
He publicado nuevos ejercicios de 2º Ingeniería Ambiental: Ejercicio-1-Trabajo-grupal-2022.pdf
He publicado nuevos examenes de 2º Ingeniería Ambiental: TEORIA-TIPO-TEST-.pdf
ejercicios
-
RELACIONES DE PROBLEMAS COMPLETAS
He publicado nuevos ejercicios de 2º Ingeniería Ambiental: RELACIONES DE PROBLEMAS COMPLETAS
apuntes
-
Apuntes clase TEORIA T.1 y T.2
He publicado nuevos apuntes de 2º Ingeniería Ambiental: Apuntes clase TEORIA T.1 y T.2
He publicado nuevos examenes de 2º Ingeniería Ambiental: EXAMEN-EXTRAORDINARIO-JULIO-2020.pdf
He publicado nuevos ejercicios de 2º Ingeniería Ambiental: Ejercicios-5.pdf