Ingeniería de la Reacción Química II

chevron_left
chevron_right
Todo
Apuntes
Ejercicios
publication
chevron_left
chevron_right

apuntes

-

Deducción de expresiones

He publicado nuevos apuntes de 3º Ingeniería de la Reacción Química II: Deducción de expresiones

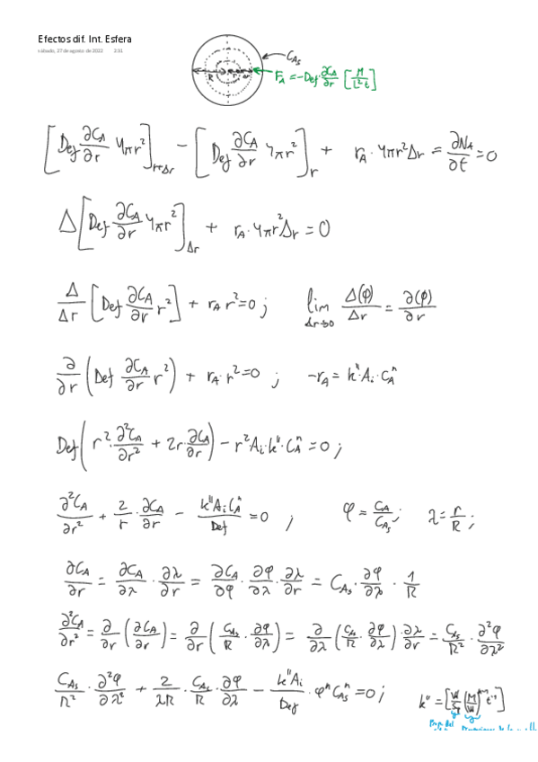
Efectos-Dif-Int-Esfera.pdf
Efectos-Dif-Int-Lamina-Plana.pdf
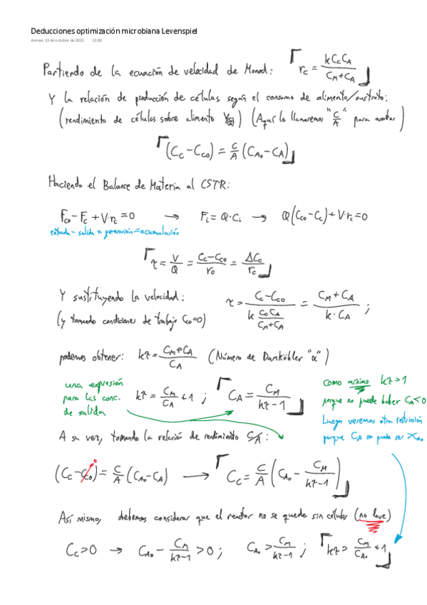
Optimizacion-microbiana-Levenspiel.pdf
optim-microbios-fogler.pdf

IRQ2

Ya están todos los apuntes/ejercicios de IRQ subidos. Un poco tarde lo del tema 4 lo sé... pero bueno para los que se la habían dejado para sep. Tambien me queda por subir un examen de 2018 resuelto (yo creo que bien)

apuntes

-

Apuntes y ejercicios

He publicado nuevos apuntes de 3º Ingeniería de la Reacción Química II: Apuntes y ejercicios

Problemas-T1-IRQ2-(sin microbiana).pdf
Apuntes-T1-IRQ2.pdf
Apuntes-T3-IRQ2.pdf
Problemas-T2-IRQ-2.pdf
Apuntes-T2-IRQ2.pdf
Apuntes-T5-IRQ2.pdf

Ejercicios de reactores microbianos del Omnilibro de los Reactores Químicos de O. Levenspiel, resueltos con su nomenclatura

24 páginas

apuntes

-

Resúmenes IRQ2

He publicado nuevos apuntes de 3º Ingeniería de la Reacción Química II: Resúmenes IRQ2

T0-Y-T1.pdf

He publicado nuevos ejercicios de 3º Ingeniería de la Reacción Química II: Cineticas.pdf

1 página

He publicado nuevos ejercicios de 3º Ingeniería de la Reacción Química II: ejercicio.pdf

1 página

Cuidado, quizá no te suene este tipo de ejercicios, pero han caído en exámenes.

2 páginas

He publicado nuevos ejercicios de 3º Ingeniería de la Reacción Química II: Ejercicios-resueltos.pdf

16 páginas

Ejercicios resueltos de clase y de examen.

2 páginas
¡Estás al día!

¡Estás al día!

Has visto todos los archivos