chevron_left
chevron_right
Todo
Apuntes
Exámenes
chevron_left
chevron_right

He publicado nuevos apuntes de 4º Ingeniería de Requisitos: apuntes-IR-2025.docx

word

Resumen de los contenidos de teoría

8 páginas

Ejemplos y ejercicios de cada seminario

49 páginas

Todo el contenido teórico de los seminarios, sin ejemplos ni ejercicios

42 páginas

He publicado nuevos examenes de 4º Ingeniería de Requisitos: Teoria-DICIEMBRE2024-IR.txt

Miniatura no disponible
word

He publicado nuevos examenes de 4º Ingeniería de Requisitos: Teoria-JUNIO2024-IR.txt

Miniatura no disponible
word

He publicado nuevos apuntes de 4º Ingeniería de Requisitos: Apuntes-Teoria-IR-2024.pdf

21 páginas

He publicado nuevos examenes de 4º Ingeniería de Requisitos: ExamenLab4IR2024.pdf

1 página

He publicado nuevos examenes de 4º Ingeniería de Requisitos: EXAMEN-1-LAB.docx

word

He publicado nuevos apuntes de 4º Ingeniería de Requisitos: PreguntasExamenesIRResueltas.pdf

13 páginas
Anónimo

@Anónimo

la pregunta de definición de línea base cayó en algún examen. las demás son inventadas.

9 páginas
Anónimo

@Anónimo

He publicado nuevos examenes de 4º Ingeniería de Requisitos: Examenes-Lab-preguntas.pdf

1 página
Anónimo

@Anónimo

He publicado nuevos apuntes de 4º Ingeniería de Requisitos: Ingenieria-de-Requisitos-RESUMEN-19-24.pdf

6 páginas
Anónimo

@Anónimo

He publicado nuevos apuntes de 4º Ingeniería de Requisitos: Ingenieria-de-Requisitos-RESUMEN-25-31.pdf

7 páginas
Anónimo

@Anónimo

He publicado nuevos examenes de 4º Ingeniería de Requisitos: Examen-IR.pdf

12 páginas
Anónimo

@Anónimo

He publicado nuevos examenes de 4º Ingeniería de Requisitos: PREGUNTASEXAMENES.pdf

2 páginas
Anónimo

@Anónimo

He publicado nuevos examenes de 4º Ingeniería de Requisitos: Junio2020-conSolucion.pdf

4 páginas
Anónimo

@Anónimo

He publicado nuevos examenes de 4º Ingeniería de Requisitos: Julio2020-conSolucion.pdf

3 páginas
Anónimo

@Anónimo

He publicado nuevos apuntes de 4º Ingeniería de Requisitos: EXAMENIRJUNIO2017-resuelto.pdf

4 páginas
Anónimo

@Anónimo

He publicado nuevos examenes de 4º Ingeniería de Requisitos: EXAMENIRENERO2020-resuelto.pdf

2 páginas
Anónimo

@Anónimo

He publicado nuevos apuntes de 4º Ingeniería de Requisitos: Ingenieria-de-Requisitos-RESUMEN.pdf

41 páginas
Anónimo

@Anónimo

He publicado nuevos examenes de 4º Ingeniería de Requisitos: Recopilacion-preguntas-IR.pdf

6 páginas
Anónimo

@Anónimo

He publicado nuevos examenes de 4º Ingeniería de Requisitos: PREGUNTASEXAMENES.pdf

2 páginas
Anónimo

@Anónimo

He publicado nuevos examenes de 4º Ingeniería de Requisitos: ExamenIRDiciembre2020-Solucion-y-criterios.pdf

6 páginas
Anónimo

@Anónimo

He publicado nuevos examenes de 4º Ingeniería de Requisitos: EXAMENIRJUNIO2017.pdf

4 páginas
Anónimo

@Anónimo

He publicado nuevos examenes de 4º Ingeniería de Requisitos: EXAMENIRENERO2020.pdf

2 páginas
Anónimo

@Anónimo

examenes

-

Examen Julio 2020

He publicado nuevos examenes de 4º Ingeniería de Requisitos: Examen Julio 2020

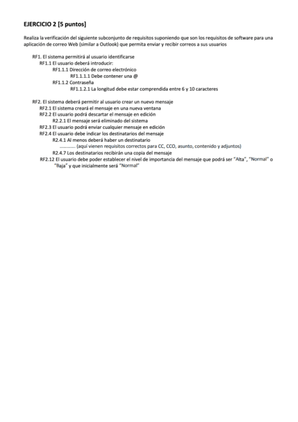
EJERCICIO1ExamenIR17Junio2020.pdf
Miniatura no disponible
Contrasenas.txt
EJERCICIO2ExamenIR17Junio2020.pdf
soluciones.zip
Anónimo

@Anónimo

examenes

-

Examen Julio 2020

He publicado nuevos examenes de 4º Ingeniería de Requisitos: Examen Julio 2020

ExamenIR15Julio2020Pregunta2.pdf
ExamenIR15Julio2020Pregunta1.pdf
Miniatura no disponible
Contrasenas.txt

He publicado nuevos apuntes de 4º Ingeniería de Requisitos: Ingenieria-de-Requisitos.pdf

33 páginas
¡Estás al día!

¡Estás al día!

Has visto todos los archivos