Todo
Apuntes
Preguntas
Ejercicios
Exámenes
Otros
Prácticas
publication
Test
Trabajos
chevron_left
chevron_right
Anónimo

@Anónimo

He publicado nuevos examenes de 2º Ingeniería Eléctrica: pregunta-tipo-test2.png

Imagen
Anónimo

@Anónimo

He publicado nuevos examenes de 2º Ingeniería Eléctrica: pregunta-tipo-test1.png

Imagen
Anónimo

@Anónimo

He publicado nuevos examenes de 2º Ingeniería Eléctrica: SolucionParcialP2modA.html

Miniatura no disponible
Anónimo

@Anónimo

Hecho con Google Notebook

15 páginas

apuntes

-

EXÁMENES 2025-26

Recopilación y resolución de los exámenes del curso 2025-26.

PEI-1-2025-26.pdf
ORDINARIO-2025-26-resolucion-PARTE-2.pdf
ORDINARIO-2025-26-parte-1.pdf

He publicado nuevos examenes de 2º Ingeniería Eléctrica: P2-ORDI-2023.pdf

5 páginas

examenes

-

RECOPILACIÓN DE EXAMENES 2018-2026 CON SOLUCIÓN

He publicado nuevos examenes de 2º Ingeniería Eléctrica: RECOPILACIÓN DE EXAMENES 2018-2026 CON SOLUCIÓN

Examenes-2023-24.pdf
Examenes-2022-23.pdf
Examenes-2021-22.pdf
Examenes-2020-21.pdf
Examenes-2019-20.pdf
Examenes-2018-19.pdf

apuntes

-

APUNTES completos Vicky iPad

Apuntes completos eléctrica para 10

TEMA-3-FASORES.pdf
TEMA-2-Ondas.pdf
TEMA-1-Introduccion.pdf
TEMA-4-POTENCIAS-para-10.pdf
TEMA-6-SIST-TRIFASICO.pdf
TEMA-7-INDUCTORES.pdf

apuntes

-

FORMULARIOS PARTE 2

He publicado nuevos apuntes de 2º Ingeniería Eléctrica: FORMULARIOS PARTE 2

FORMULARIO-T8-TRANSFORMADORES-para-10.pdf
FORMULARIO-T-7-INDUCTORES.pdf
FORMULARIO-T-6-TRIFASICA.pdf
RECOPILACION-TEST-T-9-MAQUINAS.pdf

He publicado nuevos examenes de 2º Ingeniería Eléctrica: P2-ORDI-2022.pdf

5 páginas

He publicado nuevos examenes de 2º Ingeniería Eléctrica: Ordinario-resuelto-parte-2-2023-2024.pdf

2 páginas

He publicado nuevos apuntes de 2º Ingeniería Eléctrica: HP-Prime-segunda-parte.txt

word

examenes

-

TODOS los EXAMENES con SOLUCION 2018-2024

He publicado nuevos examenes de 2º Ingeniería Eléctrica: TODOS los EXAMENES con SOLUCION 2018-2024

Examenes-2023-24.pdf
Examenes-2022-23.pdf
Examenes-2021-22.pdf
Examenes-2019-20.pdf
Examenes-2020-21.pdf
Examenes-2018-19.pdf

examenes

-

EXÁMENES RESUELTOS TOP PARTE 2

Exámenes de años variados por tema + exámenes de los últimos años

6.-SISTEMAS-TRIFASICOS-(PROBLEMAS).pdf
ORDINARIO-24-25.pdf

apuntes

-

APUNTES TOP

Apuntes para sacar un 10 a la primera, a partir de trifásica los apuntes suben de nivel.

1.-CORRIENTE-CONTINUA-Y-KIRCHOFF.pdf
2.-ANALISIS-DE-ONDAS-PERIODICAS.pdf
3.-TEORIA-DE-FASORES-Y-CORRIENTE-ALTERNA.pdf
4.-POTENCIA-ELECTRICA.pdf
5.-TEOREMAS-GENERALES-DE-CIRCUITOS.pdf
6.-TRIFÁSICA.pdf

apuntes

-

Apuntes de Ingeniería Eléctrica

Apuntes de la asignatura de Ingeniería Eléctrica. Están subidos todos los temas que entran en el ordinario (del 1 al 9)

INGELECTT1-5.pdf
INGELECTT6-9.pdf

He publicado nuevos examenes de 2º Ingeniería Eléctrica: P2-ORDI-2024-RESUELTO.pdf

6 páginas

He publicado nuevos examenes de 2º Ingeniería Eléctrica: Ordinario-parte-2-O2-2024-2025.pdf

3 páginas

He publicado nuevos examenes de 2º Ingeniería Eléctrica: P2-ORDI-2025-RESUELTO.pdf

6 páginas

examenes

-

EXAMENES TABLET PEI 2

He publicado nuevos examenes de 2º Ingeniería Eléctrica: EXAMENES TABLET PEI 2

ORDINARIO-23-24.pdf
ORDINARIO-24-25.pdf
EXTRA-23-24.pdf
ORDINARIO-22-23.pdf
EXTRA-22-23.pdf

examenes

-

EXÁMENES ORDINARIOS/EXTRA (2019-26)

Recopilación de todos los exámenes desde 2019-2025. Se subirá también la solución en iPad.

ORDINARIO-2023-24-PARTE-2-resolucion.pdf
EXTRA-2023-24-resolucion-completa.pdf
ORDINARIO-2022-23-resolucion-completa.pdf
EXAMENES-2019-20.pdf
EXAMENES-2020-21.pdf
EXAMENES-2021-22.pdf.pdf

examenes

-

ORDINARIOS/EXTRA 2 PARTE RESUELTOS

He publicado nuevos examenes de 2º Ingeniería Eléctrica: ORDINARIOS/EXTRA 2 PARTE RESUELTOS

ORD-23-24-RESUELTO-PASO-A-PASO.pdf
ORD-24-25-RESUELTO-PASO-A-PASO.pdf
EXTRA-23-24-COMPLETO-RESUELTO-PASO-A-PASO.pdf
ORD-22-23-RESUELTO-PASO-A-PASO.pdf
EXTRA-22-23-COMPLETO-RESUELTO-PASO-A-PASO.pdf
ORD-21-22-RESUELTO-PASO-A-PASO.pdf

ejercicios

-

PROBLEMAS TODOS LOS TEMAS PEI 2 RESUELTOS

He publicado nuevos ejercicios de 2º Ingeniería Eléctrica: PROBLEMAS TODOS LOS TEMAS PEI 2 RESUELTOS

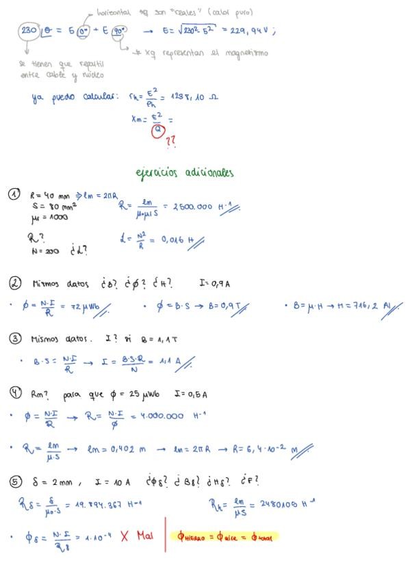
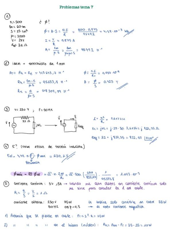
PROBLEMAS-TEMA-7-INDUCTORES-RESUELTOS.pdf
PROBLEMAS-EXAMEN-T6-TRIFASICA-RESUELTOS-PASO-A-PASO.pdf
PROBLEMAS-T.6-TRIFASICA-RESUELTOS-paso-a-paso.pdf
PROBLEMAS-ADICIONALES-T7-INDUCTORES.pdf
PROBLEMAS-T8-TRANSFORMADORES-RESUELTOS.pdf
PROBLEMAS-DE-EXAMEN-TRANSFORMADORES-19-2021-22.pdf

examenes

-

EXÁMENES PEI 1 RESUELTOS PASO A PASO (2019-2026)

Incluyen el PEI 25 26

PEI-1-24-25-RESUELTO-PASO-A-PASO-ipad.pdf
PEI-1-23-24-RESUELTO-PASO-A-PASO-IPAD.pdf
ORD-23-24-RESUELTO-PASO-A-PASO-IPAD.pdf
EXTRA-23-24-RESUELTO-PASO-A-PASO-ipad.pdf
PEI-1-22-23-RESUELTO-PASO-A-PASO-IPAD.pdf
ORD-22-23-RESUELTO-PASO-A-PASO-IPAD.pdf

ejercicios

-

EJERCICIOS MOODLE RESUELTOS TOP

TODOS los ejercicios de Moodle resueltos

1.-CORRIENTE-CONTINUA-Y-KIRCHOFF.pdf
3.1.-TEORIA-DE-FASORES-Y-CORRIENTE-ALTERNA.pdf
3.2-TEORIA-DE-FASORES-Y-CORRIENTE-ALTERNA.pdf
4.-POTENCIA-ELECTRICA.pdf
5.-TEOREMAS-GENERALES-DE-CIRCUITOS.pdf
6.-TRIFÁSICA.pdf

He publicado nuevos examenes de 2º Ingeniería Eléctrica: teoriaTESTparte2.pdf

14 páginas

Formulario con resolución paso a paso de todos los tipos de problemas para el parcial dos

4 páginas

examenes

-

PARCIAL-1-25-26

He publicado nuevos examenes de 2º Ingeniería Eléctrica: PARCIAL-1-25-26

PARCIAL-25.pdf
SOLUCIONESPARCIAL.pdf

examenes

-

EXAMENES PEI 1 para 10

He publicado nuevos examenes de 2º Ingeniería Eléctrica: EXAMENES PEI 1 para 10

Miniatura no disponible
PARCIAL-2024/25-iPad-resolucion-para-10.pdf.pdf
PEI-2023/24-iPad-para-10.pdf.pdf
ORDINARIO-2024/25-iPad-para-10.pdf.pdf
ORDINARIO-2023/24-iPad-paso-a-paso.pdf.pdf
PARCIAL-2021/22-iPad-paso-a-paso.pdf.pdf
EXTRA-2023/24-iPad-PASO-A-PASO.pdf.pdf

examenes

-

EXÁMENES RESUELTOS TOP PARTE 1

Exámenes de los últimos años resueltos

ORDINARIO 24-25.pdf
PEI-24-25.pdf
PEI-25-26-GITA.pdf

ejercicios

-

Ejercicios Moodle Resueltos

Iré subiendo los ejercicios de Moodle de eléctrica :)

cap-7-problemas-circuitos-magneticos.pdf.pdf
cap-6-problemas-sistemas-trifasicos.pdf
cap-8-problemas-transformadores.pdf

apuntes

-

Teoría Eléctrica

He publicado nuevos apuntes de 2º Ingeniería Eléctrica: Teoría Eléctrica

Tema-1-Magnitudes-elementos-y-leyes-de-los-circuitos-electricos.pdf
Tema-2-Repre-de-las-magnitudes-sinusoidales.pdf
Tema-3-metodos-de-analisis-de-circuitos-lineales.pdf
Tema-4-teoremas-de-circuitos-lineales.pdf
Tema-5-circuitos-trifasicos-lineales.pdf
Tema-6-Transformadores-electricos.pdf

apuntes

-

APUNTESipad PEI 1

He publicado nuevos apuntes de 2º Ingeniería Eléctrica: APUNTESipad PEI 1

Tema-1-completo.pdf
apuntes-tema-2-ipad.pdf
APUNTES-tema-3-COMPLETO-ipad.pdf
APUNTES-TEMA-4-COMPLETOS-ipad.pdf
APUNTES-TEMA-5-COMPLETOS-iPad-Vicky-y-academia.pdf

ejercicios

-

EJERCICIOS MOODLE iPad para 10

Todos los ejercicios de moodle resueltos tema por tema para 10 en iPad .

Ejercicios-CAPITULO-3-parte-1-iPad-para-10.pdf
Ejercicios-capitulo-1-iPad-para-10.pdf
CAPITULO-4-todos-los-ejercicios.pdf.pdf
CAPITULO-3.2-iPad-todos-hechos.pdf
PROBLEMAS-TEMA-6-TRIFASICA.pdf
PROBLEMAS-EXAMEN-TRIFASICA-moodle.pdf

apuntes

-

APUNTES PARTE 2 COMPLETOS ipad

He publicado nuevos apuntes de 2º Ingeniería Eléctrica: APUNTES PARTE 2 COMPLETOS ipad

APUNTES-TEMA-6-COMPLETOS--mini-resumen.pdf.pdf
APUNTES-TEMA-7-COMPLETOS.pdf
APUNTES-TEMA-8-TRANSFORMADORES-COMPELTOS.pdf

apuntes

-

PROGRAMAS HP PRIME G2 TOP

Programas para cálculo de potencias eléctricas y transformaciones entre impedancias triángulo y estrella, permitidos para los exámenes.

TUTORIAL-FÁCIL-PROGRAMAS-HP-PRIME-G2.pdf
1.-CALCULO-DE-POTENCIAS-ELECTRICAS.pdf
2.-TRANSFORMACION-TRIANGULO-A-ESTRELLA.pdf
3.-TRANSFORMACION-ESTRELLA-A-TRIANGULO.pdf
POTENCIA-TRIFASICA-HP-PRIME-G2.pdf
AeroTrabuco | Grado en Ingeniería Aeroespacial - UPM

Examen ordinario parte 2 2021 2022 resuelto paso a paso

3 páginas

Examen extra 2022 2023 resuelto paso a paso

3 páginas

Examen ordinario 2022 2023 parte 2 resuelto paso a paso

3 páginas

apuntes

-

Apuntes Ingeniería Eléctrica

He publicado nuevos apuntes de 2º Ingeniería Eléctrica: Apuntes Ingeniería Eléctrica

TEMA-6SistemasTrifasicos.pdf
Tema-4-potencia-electrica.pdf
Tema-5-teoremas.pdf
Tema-8-TRANSFORMADORES.pdf

Examen extraordinario 2023 2024 Parte 2 resuelto paso a paso

3 páginas

Examen ordinario 2024 2025 Resuelto paso a paso

3 páginas

problemas moodle resueltos tema 7 inductores

3 páginas

He publicado nuevos apuntes de 2º Ingeniería Eléctrica: Problemas-tema7+adicionales_moodle.pdf.pdf

3 páginas

apuntes

-

problemas propuestos RESUELTOS ipad PEI 1

He publicado nuevos apuntes de 2º Ingeniería Eléctrica: problemas propuestos RESUELTOS ipad PEI 1

PROBLEMAS-RESUELTOS-TEMA-1.pdf
problemas-TEMA-2-RESUELTOS-PASO-A-PASO-ipad.pdf
PROBLEMAS-RESUELTOS-Tema3-ipad.pdf.pdf
PROBLEMAS-TEMA-3-parte-2-RESUELTOS-ipad.pdf
PROBLEMAS-TEMA-4-RESUELTOS-PASO-A-PASO-iPad.pdf
PROBLEMAS-TEMA-5-RESUELTOS-PASO-A-PASO.pdf

problemas resueltos moodle tema7 circuitos magnéticos

2 páginas

examenes

-

SOL EXAMENES 2º PARCIAL

He publicado nuevos examenes de 2º Ingeniería Eléctrica: SOL EXAMENES 2º PARCIAL

SOL-EXAMEN-2023-2024-2PARCIAL.pdf
SOL-EXAMEN-2019-2020-2PARCIAL.pdf
Examenes-Electrica-2PARCIAL.pdf

apuntes

-

APUNTES ELECTRICS ENGLISH

He publicado nuevos apuntes de 2º Ingeniería Eléctrica: APUNTES ELECTRICS ENGLISH

APUNTES-CHAPTER-1-ELECTRICS.pdf
APUNTES-CHAPTER-2-ELECTRICS.pdf
Apuntes-Primer-Parcial-Electrica.pdf

examenes

-

SOL EXAMENES 1º PARCIAL

He publicado nuevos examenes de 2º Ingeniería Eléctrica: SOL EXAMENES 1º PARCIAL

SOL-EXAMEN-2018-2019-1PARCIAL.pdf
SOL-EXAMEN-2023-2024-1PARCIAL.pdf
Examenes-Electrica-1PARCIAL.pdf

apuntes

-

APUNTES PEI 2 VICKY

He publicado nuevos apuntes de 2º Ingeniería Eléctrica: APUNTES PEI 2 VICKY

SISTEMAS-TRIFASICOS.pdf
MAQUINAS.pdf
INDUCTORES.pdf
TRANSFORMADOR-MONOFASICO.pdf

ejercicios

-

Ejercicios

He publicado nuevos ejercicios de 2º Ingeniería Eléctrica: Ejercicios

T1-electrica-ejercicios.pdf
T2-electrica-ejercicios.pdf
T3-electrica-ejercicios.pdf
T4-electrica-ejercicios.pdf
Teoremas-mallas.pdf
T5-electrica-ejercicios.pdf

examenes

-

Parcial 2

Exámenes resueltos del parcial 2

2o-parcial-2425.pdf
2o-parcial-2324.pdf
2o-parcial-2223.pdf
2o-parcial-2122.pdf
2o-parcial-2021.pdf
2o-parcial-1920.-1.pdf

examenes

-

Exámenes Ingeniería Eléctrica

Exámenes de Ingeniería Eléctrica de otros años resueltos en español

Examen-Electrica-Parcial-I-19-20.pdf
Examen-Electrica-Parcial-I-20-21.pdf
Examen-Electrica-Parcial-I-21-22.pdf
Examen-Electrica-Parcial-I-22-23.pdf
Examen-Electrica-Parcial-I-23-24.pdf
Examen-Electrica-Parcial-I-24-25.pdf

apuntes

-

Apuntes Ingeniería Eléctrica

Apuntes de todos los temas de Ingeniería Eléctrica en español

Tema-1-Introduccion-a-los-circuitos-electricos.pdf
Tema-2-Corriente-alterna-sinusoidal.pdf
Tema-3-Metodos-de-analisis-de-circuitos-lineales.pdf
Tema-4-Teoremas-de-circuitos-lineales.pdf
Tema-5-Circuitos-lineales-trifasicos.pdf
Tema-6-Transformadores-electricos.pdf
Anónimo

@Anónimo

He publicado nuevos examenes de 2º Ingeniería Eléctrica: SOLOrdinarioP12122-3.pdf

8 páginas
Anónimo

@Anónimo

He publicado nuevos examenes de 2º Ingeniería Eléctrica: ParcialP22223Solucion-problema-1-1.pdf

1 página
Anónimo

@Anónimo

He publicado nuevos examenes de 2º Ingeniería Eléctrica: Parcial-P22122solucion-1.pdf

8 páginas
Anónimo

@Anónimo

He publicado nuevos examenes de 2º Ingeniería Eléctrica: OrdinarioP22122Solucion.pdf

12 páginas
Anónimo

@Anónimo

He publicado nuevos examenes de 2º Ingeniería Eléctrica: OrdinarioP12021-1.pdf

2 páginas
Anónimo

@Anónimo

He publicado nuevos examenes de 2º Ingeniería Eléctrica: OrdinarioP22021.pdf

2 páginas