chevron_left
chevron_right
Todo
Apuntes
Ejercicios
Exámenes
Prácticas
chevron_left
chevron_right

He publicado nuevos apuntes de 3º Ingeniería Fluidomecánica: Problemas-5678-Tema-3-Fluidomecanica.pdf

6 páginas

He publicado nuevos apuntes de 3º Ingeniería Fluidomecánica: Problemas-1234-Tema3-Fluidomecanica.pdf

7 páginas

He publicado nuevos apuntes de 3º Ingeniería Fluidomecánica: ResT2.pdf

6 páginas

apuntes

-

APUNTES TEMAS + EJERCICIOS RESUELTOS

He publicado nuevos apuntes de 3º Ingeniería Fluidomecánica: APUNTES TEMAS + EJERCICIOS RESUELTOS

Tema5.pdf
Tema4.pdf
TEMA1-Fm.pdf
Tema9.pdf
Tema6DPG.pdf
Tema7.pdf

He publicado nuevos apuntes de 3º Ingeniería Fluidomecánica: Resumenes-top-toda-la-asignatura.pdf

10 páginas

He publicado nuevos ejercicios de 3º Ingeniería Fluidomecánica: Coleccion-problemas-toda-la-asignatura.pdf

43 páginas

He publicado nuevos apuntes de 3º Ingeniería Fluidomecánica: RESUMEN-COMPLETO-FLUIDOMECANICA.pdf

26 páginas

apuntes

-

Fluidomecánica

He publicado nuevos apuntes de 3º Ingeniería Fluidomecánica: Fluidomecánica

Fluidos-Examen-2011-2012-E.pdf
Fluidos-Problemas-10.pdf
Apuntes-de-Ingenieria-Fluidomecanica.pdf
Fluidos-Problemas-8.pdf
Fluidos-Examen-2011-2012-O.pdf
Fluidos-Problemas-4-a-7.pdf

apuntes

-

Fluidomecánica

He publicado nuevos apuntes de 3º Ingeniería Fluidomecánica: Fluidomecánica

Fluidos-Examen-2.pdf
Fluidos-Examen-1.pdf
Fluidos-Problemas-4-a-7.pdf
Fluidos-Problemas-1-a-3.pdf
Fluidos-Examen-2011-2012-O.pdf
Fluidos-Problemas-8.pdf

apuntes

-

Boletines resueltos

He publicado nuevos apuntes de 3º Ingeniería Fluidomecánica: Boletines resueltos

problemas-tema-6.pdf
boletin-1-resuelto.pdf
formulario-fluidos-primer-parcial.pdf
formulario-segundo-parcial.pdf
boletin-tema-3-fluidos-resuelto.pdf
problemas-bombas.pdf

ejercicios

-

Problemas Resueltos

GITI

Ejercicios Fluidostática.pdf
Problemas de Examen.pdf
Ejercicios Turbulento.pdf
Ejercicios Gases.pdf
Ejercicios de Examen.pdf
Ejercicios Viscosidad Dominante.pdf

apuntes

-

Apuntes

GITI

08. Movimientos Casi Unidireccionales de Líquidos Dominados por Viscosidad.pdf
09. Movimiento Turbulento de Líquidos en Conductos.pdf
05. Ecuación de Cantidad de Movimiento Incluyendo los Esfuerzos Viscosos.pdf
03. Ecuación de Continuidad.pdf
04. Ecuación de Cantidad de Movimiento Despreciando los Esfuerzos Viscosos.pdf
01. Nociones Básicas. Hipótesis del Medio Continuo y Magnitudes Intensivas.pdf

examenes

-

Exámenes Resueltos

GITI

2017 Junio Teoría S WLA.pdf
2016 Noviembre Teoría WLA.pdf
2015 Junio Teoría S WLA.pdf
2017 Junio Problemas WLA.pdf
2016 Septiembre WLA.pdf
2017 Junio Teoría WLA.pdf

GITI

3 páginas

GITI

13 páginas

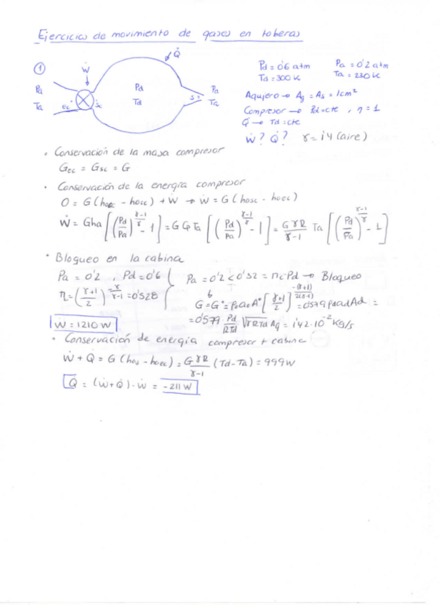
He publicado nuevos apuntes de 3º Ingeniería Fluidomecánica: Gases.pdf

2 páginas

GITI

6 páginas

He publicado nuevos apuntes de 3º Ingeniería Fluidomecánica: MECANICA DE FLUIDOS INCOMPRESIBLES Y TURBOMAQUINAS HIDRAULICAS. PROBLEMAS RESUELTOS.pdf

344 páginas
¡Estás al día!

¡Estás al día!

Has visto todos los archivos