Todo
Apuntes
Ejercicios
Trabajos
chevron_left
chevron_right

He publicado nuevos trabajos de 1º Ingeniería Hidráulica: ENTREGABLES-ING-HIDRAULICA-PRIMERO.pdf

42 páginas

He publicado nuevos ejercicios de 1º Ingeniería Hidráulica: EJERCICIOS-RESUELTOS-ING-HIDRAULICA-PRIMERO.pdf

53 páginas

He publicado nuevos apuntes de 1º Ingeniería Hidráulica: Tema-10-Hidrometria.pdf

4 páginas

He publicado nuevos apuntes de 1º Ingeniería Hidráulica: TEMA-9-LAS-DOS-PARTES-CORRIENTES-LIBRES.pdf

6 páginas

He publicado nuevos apuntes de 1º Ingeniería Hidráulica: TEMA-8-PARTE-2.pdf

5 páginas

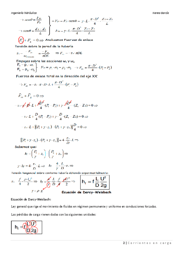
He publicado nuevos apuntes de 1º Ingeniería Hidráulica: TEMA-8-CORRIENTES-EN-CARGA.pdf

6 páginas

He publicado nuevos apuntes de 1º Ingeniería Hidráulica: Tema-7-Dinamica-del-fluido-real.pdf

6 páginas

He publicado nuevos apuntes de 1º Ingeniería Hidráulica: Tema-6-Hidrodinamica.pdf

6 páginas

He publicado nuevos apuntes de 1º Ingeniería Hidráulica: POSIBLES-PREGUNTAS-PARCIAL-HIDRAULICA.pdf

3 páginas

He publicado nuevos apuntes de 1º Ingeniería Hidráulica: Tema-5-Cinematica-de-fluidos.pdf

5 páginas

He publicado nuevos apuntes de 1º Ingeniería Hidráulica: Tema-4-Empujes.pdf

7 páginas

He publicado nuevos apuntes de 1º Ingeniería Hidráulica: Tema-3-hidrostatica.pdf

8 páginas

He publicado nuevos apuntes de 1º Ingeniería Hidráulica: Tema-2-el-agua.pdf

7 páginas

He publicado nuevos apuntes de 1º Ingeniería Hidráulica: Tema-1-Introduccion-hidra.pdf

2 páginas
¡Estás al día!

¡Estás al día!

Has visto todos los archivos