chevron_left
chevron_right
Todo
Apuntes
Ejercicios
Exámenes
Prácticas
Trabajos
chevron_left
chevron_right

apuntes

-

APUNTES BLOQUE 3

He publicado nuevos apuntes de 3º Ingeniería Térmica: APUNTES BLOQUE 3

TEMA-2-REPASO-TERMODINAMICA-Y-CONCEPTOS-PREVIOS.pdf
TEMA-3-CICLO-DE-RANKINE.pdf
TEMA-4-CICLO-DE-BRAYTON.pdf

He publicado nuevos apuntes de 3º Ingeniería Térmica: APUNTES-POR-TEMAS-BLOQUE-1-Y-2.pdf

15 páginas
Anónimo

@Anónimo

He publicado nuevos practicas de 3º Ingeniería Térmica: Practica-2-Resuelta-Round-Around.pdf

11 páginas

He publicado nuevos apuntes de 3º Ingeniería Térmica: Informe-Practica-2-Round-Around.pdf

17 páginas

ejercicios

-

Ejercicios resueltos bloque 2

He publicado nuevos ejercicios de 3º Ingeniería Térmica: Ejercicios resueltos bloque 2

Ejercicios-resueltos-Intercambiadores.pdf

ejercicios

-

Ejercicios resueltos bloque 1

He publicado nuevos ejercicios de 3º Ingeniería Térmica: Ejercicios resueltos bloque 1

Ejercicios-Conduccion.pdf
Ejercicios-resueltos-Conveccion.pdf
Ejercicios-resueltos-Mecanismos-Combinados.pdf

Formulario/Apuntes del primer bloque de la asignatura: Transmisión de Calor Curso 2025/2026 Profesora: Teresa Rocio Palomo Amores

6 páginas

He publicado nuevos ejercicios de 3º Ingeniería Térmica: Ejercicios-Intercambiadores-Resueltos.pdf

7 páginas

parara pachin parará papá

4 páginas

hola

9 páginas

He publicado nuevos ejercicios de 3º Ingeniería Térmica: EJERCICIOS-CONDUCCION.pdf

13 páginas

He publicado nuevos apuntes de 3º Ingeniería Térmica: TEMA-2-TRANSMISION-DE-CALOR-POR-CONDUCCION.pdf

4 páginas

He publicado nuevos apuntes de 3º Ingeniería Térmica: TEMA-1-INTRODUCCION-A-LA-TRANSMISION-DE-CALOR.pdf

2 páginas

apuntes

-

Resúmenes por temas

He publicado nuevos apuntes de 3º Ingeniería Térmica: Resúmenes por temas

T1.-Introduccion Transmisión de Calor.pdf
T2.Transmisión de Calor por Conducción.pdf
T3.Transmisión de Calor por Convección.pdf
T4.Transmisión de Calor por Radiación.pdf
T6.Intercambiadores de Calor.pdf
Anónimo

@Anónimo

ejercicios

-

TAREAS VOLUNTARIAS RESUELTAS

He publicado nuevos ejercicios de 3º Ingeniería Térmica: TAREAS VOLUNTARIAS RESUELTAS

Tarea-voluntaria-MECANISMOS-COMBINADOS.pdf
Tarea-voluntaria-CONDUCCION.pdf
Anónimo

@Anónimo

He publicado nuevos ejercicios de 3º Ingeniería Térmica: MECANISMOS-COMBINADOS-EJERCICIOS-RESUELTOS.pdf

10 páginas
Anónimo

@Anónimo

He publicado nuevos ejercicios de 3º Ingeniería Térmica: CONDUCCION-FORMULARIO-Y-EJERCICIOS-RESUELTOS.pdf

14 páginas

He publicado nuevos apuntes de 3º Ingeniería Térmica: Formulario-Bloque-I-y-II.pdf

6 páginas

He publicado nuevos apuntes de 3º Ingeniería Térmica: ciclos-de-potenciateoria-y-problemas-examen.pdf

15 páginas

He publicado nuevos apuntes de 3º Ingeniería Térmica: Formulario-intercambiadores.pdf

1 página

He publicado nuevos apuntes de 3º Ingeniería Térmica: Temario-Primer-Parcial.pdf

13 páginas

He publicado nuevos apuntes de 3º Ingeniería Térmica: ColecciontablasgraficasTC.pdf

48 páginas

He publicado nuevos apuntes de 3º Ingeniería Térmica: EJERCICIOEXAMEN.pdf

4 páginas

He publicado nuevos apuntes de 3º Ingeniería Térmica: Tarea-1-termica.pdf

1 página

He publicado nuevos apuntes de 3º Ingeniería Térmica: ENTREGA1.pdf

2 páginas

He publicado nuevos apuntes de 3º Ingeniería Térmica: P2.pdf

4 páginas

He publicado nuevos apuntes de 3º Ingeniería Térmica: PRACTICA-2.pdf

4 páginas

He publicado nuevos apuntes de 3º Ingeniería Térmica: PRACTICA1.pdf

8 páginas

He publicado nuevos apuntes de 3º Ingeniería Térmica: TEMARIO-COMPLETO-TERMICA.pdf

pdf

apuntes

-

Ingeniería térmica

He publicado nuevos apuntes de 3º Ingeniería Térmica: Ingeniería térmica

Tema-1.-Intro-transmision-de-calor.pdf

He publicado nuevos apuntes de 3º Ingeniería Térmica: Formulario-2Parcial-Termica.pdf

4 páginas

apuntes

-

Ciclo Rankine

He publicado nuevos apuntes de 3º Ingeniería Térmica: Ciclo Rankine

Bloque3-II.pdf

En el titulo pone practica 3 por equivocación

6 páginas

He publicado nuevos apuntes de 3º Ingeniería Térmica: Problemas-Intercambiadores.pdf

10 páginas

He publicado nuevos apuntes de 3º Ingeniería Térmica: Apuntes-Segunda-Parte.pdf

19 páginas

He publicado nuevos apuntes de 3º Ingeniería Térmica: Bloc-de-notas-sin-titulo-1.pdf

3 páginas

He publicado nuevos ejercicios de 3º Ingeniería Térmica: Problemas-MC.pdf

20 páginas

He publicado nuevos apuntes de 3º Ingeniería Térmica: Formulario-1er-Parcial-Termica.pdf

6 páginas

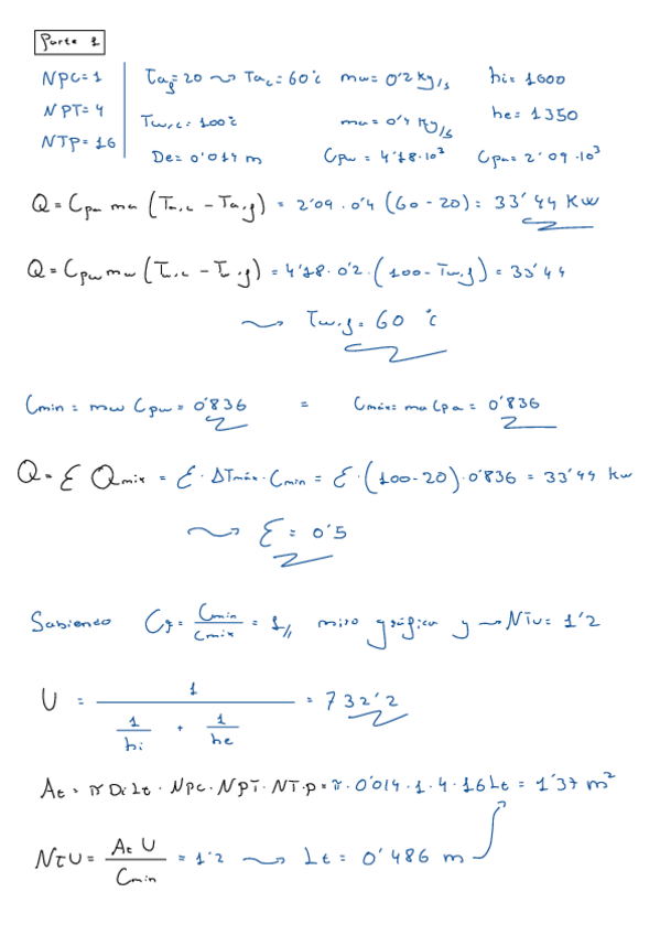
He publicado nuevos ejercicios de 3º Ingeniería Térmica: EESEntrega3.pdf

2 páginas
Anónimo

@Anónimo

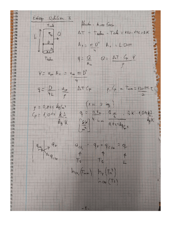
He publicado nuevos ejercicios de 3º Ingeniería Térmica: Planteamiento-Entrega-Optativa-3.pdf

4 páginas

He publicado nuevos ejercicios de 3º Ingeniería Térmica: Entrega-optativa-2-Conveccion.pdf

5 páginas

He publicado nuevos ejercicios de 3º Ingeniería Térmica: ACTIVIDAD-VOLUNTARIA-2-.pdf

6 páginas

Primera Entrega de Ejercicios Voluntarios: Segunda Opción

3 páginas

practicas

-

Prácticas IT

He publicado nuevos practicas de 3º Ingeniería Térmica: Prácticas IT

Memoria-P1-IT.pdf
Memoria-P2-IT.pdf

ejercicios

-

Tareas IT

He publicado nuevos ejercicios de 3º Ingeniería Térmica: Tareas IT

Tarea-4-Obligatoria.pdf
Tarea-3-Obligatoria.pdf
Tarea-2-Optativa.pdf
Tarea-2-Obligatoria.pdf
Tarea-1-Obligatoria.pdf

examenes

-

Parciales 21_22

He publicado nuevos examenes de 3º Ingeniería Térmica: Parciales 21_22

1erParcial.pdf
3erParcial.pdf
2oParcial.pdf

He publicado nuevos examenes de 3º Ingeniería Térmica: 1o-Parcial.pdf

3 páginas

He publicado nuevos apuntes de 3º Ingeniería Térmica: ENTREGAS-4-voluntaria-.pdf

2 páginas

He publicado nuevos apuntes de 3º Ingeniería Térmica: ENTREGA-4-yincana.pdf

3 páginas

He publicado nuevos apuntes de 3º Ingeniería Térmica: 3-Entrega-de-yincana-voluntario.pdf

2 páginas

He publicado nuevos trabajos de 3º Ingeniería Térmica: 3-Entrega-de-yincana.pdf

2 páginas

He publicado nuevos apuntes de 3º Ingeniería Térmica: Entregavoluntaria2Yincaca.pdf

4 páginas

He publicado nuevos trabajos de 3º Ingeniería Térmica: EntregaObligatoria2THERMOBOT-.pdf

4 páginas

He publicado nuevos trabajos de 3º Ingeniería Térmica: Entregavoluntaria1Gincana.pdf

3 páginas

He publicado nuevos trabajos de 3º Ingeniería Térmica: EntregaObligatoria1Gincana.pdf

3 páginas

He publicado nuevos practicas de 3º Ingeniería Térmica: Practica-2.pdf

3 páginas

He publicado nuevos practicas de 3º Ingeniería Térmica: Practica-1.pdf

5 páginas

He publicado nuevos examenes de 3º Ingeniería Térmica: ExamenBloque32022.pdf

pdf

He publicado nuevos examenes de 3º Ingeniería Térmica: ExamenParcial12022.pdf

pdf

He publicado nuevos apuntes de 3º Ingeniería Térmica: Tema-1-Ciclo-Rankine.pdf

pdf