chevron_left
chevron_right
Todo
Apuntes
Ejercicios
Prácticas
chevron_left
chevron_right

ejercicios

-

EXAMENES Y EJERCICIOS RESUELTOS

He publicado nuevos ejercicios de 3º Ingeniería Térmica: EXAMENES Y EJERCICIOS RESUELTOS

Teoria-y-PROBLEMAS-RESUELTOS-COMPLETO.pdf
Ejercicios-Resueltos-2o-Parcial.pdf
2020P1ExamenSol.pdf

practicas

-

TRABAJOS y PRACTICAS RESUELTOS

He publicado nuevos practicas de 3º Ingeniería Térmica: TRABAJOS y PRACTICAS RESUELTOS

TCUguion2021.pdf
GuionBCABalanceBombadeCalor.pdf
Tarea-4Intercambiadores-calculos.pdf
Practica-2PTS.pdf
Tarea-3-Radiacion-RESUELTA.pdf
Tarea-2-conduccion-calculos.pdf

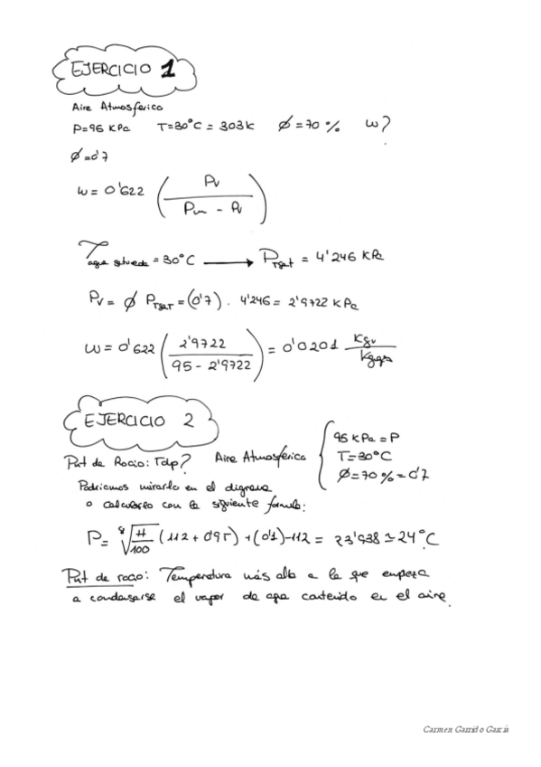
He publicado nuevos apuntes de 3º Ingeniería Térmica: psicrometria-carmen-garrdio-1.pdf

6 páginas
¡Estás al día!

¡Estás al día!

Has visto todos los archivos