Inglés II

chevron_left
chevron_right
Todo
Apuntes
Preguntas
Ejercicios
Exámenes
Otros
Prácticas
publication
Test
Trabajos
chevron_left
chevron_right

He publicado nuevos apuntes de 2º Inglés II: gramatica-ingles.pdf

8 páginas

Todo lo que tienes que saber sobre rephrasing para PAU 2026. Estas son las estructuras más probables. Comprueba con los ejercicios de mi perfil!!

4 páginas

He publicado nuevos apuntes de 2º Inglés II: Apuntes-ingles-PAU-2026-ANDALUCIA.pdf

6 páginas

He publicado nuevos ejercicios de 2º Inglés II: REPHRASING-INGLES-PAU-2026-ANDALUCIA.pdf

13 páginas

He publicado nuevos apuntes de 2º Inglés II: Apuntes-formas-verbales-ingles-PAU-2026.pdf

2 páginas

Inglés

En las PAU para inglés, como recomendáis estudiar. Hay alguna pauta para los writings?

Resumen de todos los contenidos de inglés para bachillerato y PAU CLM (phonetics, rephrasings, writing, connectors) - Inglés II 2º Bachillerato - PAU CLM

51 páginas

Documento con ejercicios de "Rephrasing" para practicar inglés. Las soluciones están en el otro documento.

1 página

Documento con las soluciones del "Rephrasing" para practicar la gramática de inglés.

1 página

trabajos

-

Inglés

Entregas inglés 2 Bachillerato

Reading-UD1.pdf
Writing-UD6.pdf
Grammar-and-vocabulary-UD6.pdf
Reading-UD5.pdf
Grammar-and-vocabulary-UD5.pdf
Writing-UD4.pdf

He publicado nuevos examenes de 2º Inglés II: Textos-PAU-Ingles-Andalucia--modelo-examen-2.pdf

22 páginas

He publicado nuevos examenes de 2º Inglés II: Textos-PAU-Ingles-Andalucia--modelo-examen-1.pdf

41 páginas

Documento con las soluciones del "Rephrasing" para practicar inglés.

1 página

Documento con ejercicios de "Rephrasing" para practicar inglés. Las respuestas están en el otro documento.

1 página

He publicado nuevos apuntes de 2º Inglés II: EJERCICIOS-CON-RESPUESTA-USEFUL-VERBS-in-the-field-of-healthcare.pdf

2 páginas

He publicado nuevos apuntes de 2º Inglés II: Actividades-corregidas-de-reprhasing.pdf

2 páginas

He publicado nuevos apuntes de 2º Inglés II: ANSWER-KEY-PASSIVE-WORKSHEET-2-1.pdf

2 páginas

Resumen de todos los tiempos verbales de inglés

6 páginas

He publicado nuevos apuntes de 2º Inglés II: APUNTES-INGLES-PAU-EVAUPAU-ARAGON.pdf

8 páginas

apuntes

-

Importante para la Pau de inglés

He publicado nuevos apuntes de 2º Inglés II: Importante para la Pau de inglés

THE-NARRATIVE-TEXTab47c5f912b348a6709b01473dea7654.pdf
CONNECTORS-IN-ENGLISHfbc822d5b94658d5e19279cb070ecf7a.pdf
dosier-2Ao-Bachillerato-7-272c28e46cd01c6c63f57a6f0bc846c3bc.pdf
Conditionals9fecb9bf0d85f195818ecdb2ea7019a5.pdf
Reported-speechfbcd4e741a8072dc8c7340d72c47194c.pdf
visualsummariespart1-13c2fef07e065ce526e58c901f210f906.pdf

Actividades de rephrasing para la PAU 2026 inglés, las respues en el otro documento ??

7 páginas

He publicado nuevos apuntes de 2º Inglés II: Rephrasing-IIwatermark.pdf

7 páginas

He publicado nuevos ejercicios de 2º Inglés II: Rephrasing-PAU--EXPLICACIONES-2026.pdf

17 páginas

He publicado nuevos ejercicios de 2º Inglés II: REPHRASING-PAU-2026-500-SENTENCES.pdf

48 páginas

Defining + non-defining relative clauses

Imagen

apuntes

-

Inglés II

Estructuras de los Writings de inglés

Ingles-PAU.docx
FOR-AND-AGAINST-ESSAYS.docx
FORMAL-LETTER-EMAIL.docx
COMPLAINT-FORMAL-LETTER.docx
Opinion-essay.docx
Writing-a-story.docx

apuntes

-

Ingles Bachi 2

He publicado nuevos apuntes de 2º Inglés II: Ingles Bachi 2

C1-Writing-Structures.pdf
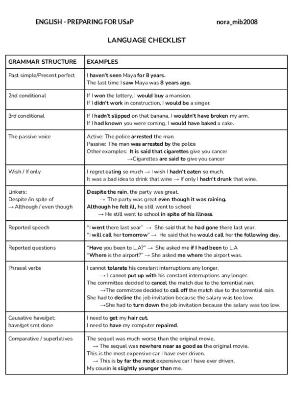
LANGUAGE-CHECKLIST.pdf
Phrasal-Verbs.pdf
Conditionals.pdf
Words-to-use-instead....pdf
IDIOMS-FOR-USaP-or-also-for-B2C1.pdf

Guía Examen Inglés Completa, 2º Bachiller

2 páginas

Vocabulario COMPLETO Inglés, 2º Bachillerato

9 páginas

He publicado nuevos apuntes de 2º Inglés II: APUNTES-Reprhasing-para-la-PAU.pdf

5 páginas

He publicado nuevos apuntes de 2º Inglés II: APUNTES-GRAMATICA-INGLES-PAU-acmxurr22.pdf

21 páginas
Anónimo

@Anónimo

resumen de todos los tiempos verbales de ingles que sirven para 1 de bachillerato como para 2 de bachillerato

1 página

He publicado nuevos apuntes de 2º Inglés II: CONECTORES-WRITING-INGLES-PAU.pdf

7 páginas

He publicado nuevos apuntes de 2º Inglés II: Apuntes-guia-writing-ingles-PAU.pdf

6 páginas

apuntes

-

RECURSOS PAU INGLÉS

He publicado nuevos apuntes de 2º Inglés II: RECURSOS PAU INGLÉS

connectors-list.pdf
Miniatura no disponible
https://www.wordreference.com/es/

Ejercicios de rephrasing para rellenar ?

4 páginas
Anónimo

@Anónimo

conectores para writings

3 páginas

He publicado nuevos ejercicios de 2º Inglés II: 200-REPHRASING-INGLES-PAU.pdf

25 páginas

Apuntes completos de la asignatura Inglés II impartida por Carolina Rodríguez y Gina Oxbrow. 3 unidades con gramática, vocabulario y lenguaje funcional

18 páginas

Verbos irregulares comunes pau

1 página

apuntes

-

inglés

He publicado nuevos apuntes de 2º Inglés II: inglés

writingsPAU.pdf

He publicado nuevos apuntes de 2º Inglés II: Simple-Present-Ingles-APUNTES-PAU.pdf

3 páginas

He publicado nuevos apuntes de 2º Inglés II: Pasado-Simple-y-continuo-Ingles-APUNTES-PAU.pdf

4 páginas

He publicado nuevos apuntes de 2º Inglés II: Formas-Pasivas-Ingles-APUNTES-PAU.pdf

1 página

He publicado nuevos apuntes de 2º Inglés II: APUNTES-MODAL-VERBS-PAU-INGLES.pdf

7 páginas

He publicado nuevos apuntes de 2º Inglés II: Conditionals-if-only-PAU-INGLES.pdf

9 páginas

He publicado nuevos apuntes de 2º Inglés II: PAUAndaluciaIngles2026.pdf

6 páginas

apuntes

-

Writings

Estructuras para un writing perfecto. (Nota:10)

Narrative-plantilla.pdf
Opinion-essay.pdf
for-and-agaisnt.pdf

Vendo exámenes de Inglés 2ºBachillerato Burlington Book y solucionario libro. Más info al privado.

apuntes

-

INGLÉS 2 BACH

Recursos PAU 2 Bachillerato

for-and-against.pdf
Writing-an-informal-email-1.pdf
Writing-a-story-1.pdf
OPINION-ESSAY.pdf
Dialogue.pdf
05.-Describing-a-picture-Bach.pdf

Explicación con ejercicios resueltos de rephrasing

4 páginas

He publicado nuevos apuntes de 2º Inglés II: Vocabulario-y-Estructura-Writing-Final.pdf

4 páginas

Actividades de rephrasing de inglés resuelto para la PAU 2026, como mucho potencial de caer en el examen ✅️✅️

5 páginas

Resumen Gramática ingles Pau

2 páginas

Cuaderno de apuntes de inglés de 2º de Bachillerato perfecto para la PAU 2026 de Castilla-La Mancha. Faltan los use of english resueltos del final del libro.

39 páginas

He publicado nuevos apuntes de 2º Inglés II: LINKERS-conectores.pdf

1 página