Todo
Apuntes
Preguntas
Ejercicios
Exámenes
Otros
Prácticas
publication
Test
Trabajos
chevron_left
chevron_right

Ejercicios y apuntes 1r trimestre 2 bachillerato

6 páginas

ejercicios

-

Reading PAU

Reading para practicar el examen de inglés de la PAU con las respuestas.

2.-READING-Article-about-DANA-and-Climate-change.docx
Respostes-reading.pdf

He publicado nuevos apuntes de 2º Inglés II: INGLES-2oBACH-PASIVAS.pdf

2 páginas

apuntes

-

ENGLISH 2ºBACH

He publicado nuevos apuntes de 2º Inglés II: ENGLISH 2ºBACH

ENGLISH-UNIT-1-2-and-3.pdf

Estructura y ejemplo de for and against

1 página

Apuntes de Gramàtica sobre los relativos, pasiva, report speech. Más otros tips para sacar un 10 en el examen de PAU 2026.

6 páginas

examenes

-

Modelos PAU, Madrid

He publicado nuevos examenes de 2º Inglés II: Modelos PAU, Madrid

PAU-2013-2014-ingles.pdf
PAU-EVAU-2007-2008-INGLES.pdf
PAU-EVAU-2024-25-ingles.pdf
PAU-EVAU-2019-2020-ingles.pdf
PAU-EVAU-2013-2014-INGLES.pdf

Aquí tienes una prueba de examen de inglés para la EBAU.

2 páginas

He publicado nuevos apuntes de 2º Inglés II: PHRASAL-VERBS-2o-DE-BACHILLERATO.pdf

6 páginas

He publicado nuevos apuntes de 2º Inglés II: Tema-1-El-relieve.pdf

8 páginas

He publicado nuevos apuntes de 2º Inglés II: EXAMEN-TEXTO-INGLES-2.pdf

2 páginas

He publicado nuevos apuntes de 2º Inglés II: EJERCICIOS-CONDICIONALES.pdf

2 páginas

He publicado nuevos apuntes de 2º Inglés II: TEXTO-INGLES.pdf

2 páginas

He publicado nuevos apuntes de 2º Inglés II: MODAL-VERBS.pdf

2 páginas

He publicado nuevos apuntes de 2º Inglés II: CONDICIONALES.pdf

2 páginas

He publicado nuevos apuntes de 2º Inglés II: EXAMEN-TEXTO-INGLES.pdf

2 páginas

Todo el vocabulario de 2o bachillerato en inglés

9 páginas

Toda la gramática de 2o bachillerato en inglés

5 páginas

He publicado nuevos apuntes de 2º Inglés II: Estructura-de-writing.pdf

2 páginas

Vocabulary from unit 2 in Burlington's book (2nd Bachillerato)

1 página

He publicado nuevos apuntes de 2º Inglés II: DESCRIPTION-OF-AN-EVENT.docx.pdf

2 páginas

He publicado nuevos apuntes de 2º Inglés II: A-FILM-OR-A-BOOK-REVIEW.docx.pdf

4 páginas

He publicado nuevos apuntes de 2º Inglés II: vocab.-2nd-bach.pdf

15 páginas

He publicado nuevos ejercicios de 2º Inglés II: REPHRASING-ANSWER-KEY.pdf

3 páginas

He publicado nuevos apuntes de 2º Inglés II: SO-SUCHTOO-ENOUGH.pdf

1 página

He publicado nuevos apuntes de 2º Inglés II: Schwa-Sound-Word-Lists-Underlined.pdf

2 páginas

He publicado nuevos apuntes de 2º Inglés II: IDRATHER-PREFER--ALTHOUGH-DESPITE.pdf

1 página

He publicado nuevos apuntes de 2º Inglés II: Wish-clauses-If-only.pdf

1 página

He publicado nuevos apuntes de 2º Inglés II: GRAMMAR-2BACH.pdf

34 páginas

He publicado nuevos apuntes de 2º Inglés II: CONDITIONALS.pdf

1 página

He publicado nuevos apuntes de 2º Inglés II: Tiempos-verbales.pdf

1 página

resumen sobre el libro de The great Gatsby por capitulos

7 páginas

He publicado nuevos apuntes de 2º Inglés II: RELATIVE-PASSIVE-CAUSATIVE.docx

word

He publicado nuevos apuntes de 2º Inglés II: Gramatica B2.pdf

39 páginas

apuntes

-

INGLÉS II

He publicado nuevos apuntes de 2º Inglés II: INGLÉS II

gramatica.pdf
WRITING-STRUCTURE.pdf
exercises.pdf

apuntes

-

2º Bachillerato

He publicado nuevos apuntes de 2º Inglés II: 2º Bachillerato

UNIT-1.-Sports-and-leisure.docx
UNIT-2.-Health-and-diet.docx
UNIT-3.-Economy-work-and-politics.docx
UNIT-4.-Communication-and-education.docx
UNIT-5.-Relationships-feelings-personality-and-appearance.docx

He publicado nuevos ejercicios de 2º Inglés II: Ejercicios-causative-resueltos.pdf

Miniatura no disponible
1 página

He publicado nuevos apuntes de 2º Inglés II: VOCABULARIO-RESUMEN.pdf

18 páginas

He publicado nuevos apuntes de 2º Inglés II: speaking.docx

word

He publicado nuevos apuntes de 2º Inglés II: opinion-essay.docx

word

He publicado nuevos apuntes de 2º Inglés II: 1.docx

word

He publicado nuevos apuntes de 2º Inglés II: UNIT-5-Its-about-time.docx

word

He publicado nuevos apuntes de 2º Inglés II: UNIT-4-NEAR-AND-DEAR.docx

word

He publicado nuevos apuntes de 2º Inglés II: Unit-6-Decisions-decisions.pdf

1 página

He publicado nuevos apuntes de 2º Inglés II: Unit-5-Time-is-money.pdf

2 páginas

He publicado nuevos apuntes de 2º Inglés II: temas-0-1-y-2.pdf

4 páginas

He publicado nuevos apuntes de 2º Inglés II: Tema-4-living-together.pdf

2 páginas

He publicado nuevos apuntes de 2º Inglés II: Tema-3.pdf

2 páginas

apuntes

-

EBAU Preparation

He publicado nuevos apuntes de 2º Inglés II: EBAU Preparation

REPHRASING-REPHRASING-I-WISH-IF-ONLY.pdf
REPHRASING-REPHRASING-CONDITIONALS.pdf

apuntes

-

Vocabulary

He publicado nuevos apuntes de 2º Inglés II: Vocabulary

1o-BACH-VERBS-NOUNS-ADJECTIVES--PREPOSITIONS.pdf
2o-BACH-VERB-ADJ-NOUN--PREPOSITION.pdf
THEORY-VERBS-FOLLOWED-BY-GERUND-INFINITIVE.pdf
UNIT-1-CULTURE-2o-BACH.pdf
UNIT-1-EDUCATION-1o-BACH.pdf
UNIT-2-SAFETY-2o-BACH.pdf

apuntes

-

Writing

He publicado nuevos apuntes de 2º Inglés II: Writing

COMPOSITIONS-A-DESCRIPTION.pdf
COMPOSITIONS-A-FORMAL-E-MAIL.pdf
COMPOSITIONS-A-REPORT-OF-AN-EVENT.pdf
COMPOSITIONS-A-REVIEW.pdf
COMPOSITIONS-A-STORY.pdf
COMPOSITIONS-AN-E-MAIL-FOR-A-JOB-APPLICATION.pdf

apuntes

-

Grammar · Verb Tenses

He publicado nuevos apuntes de 2º Inglés II: Grammar · Verb Tenses

Activity-Present-Simple-or-Present-Continuous.pdf
ALL-TENSES-CHANGING-FROM-ONE-VERBAL-TENSE-TO-ANOTHER.pdf
ALL-TENSES-Exercises-of-all-the-tenses-to-practise-for-the-exam-1o-EVAL.-2025-26.pdf
ALL-TENSES-FILL-IN-THE-GAPS-WITH-A-CORRECT-FORM-OF-THE-VERB-IN-BRACKETS-EBAU-Key-answer.pdf
ALL-TENSES-FILL-IN-THE-GAPS-WITH-A-CORRECT-FORM-OF-THE-VERB-IN-BRACKETS-EBAU.pdf
ALL-TENSES-GIVE-A-QUESTION-FOR-THE-UNDERLINED-WORDS-answer-key-ejercicio-resuelto-EBAU.pdf

apuntes

-

Grammar · Sentence Types

He publicado nuevos apuntes de 2º Inglés II: Grammar · Sentence Types

CONTRAST-THEORY-AND-EXERCISES-OF-CONNECTORS-OF-CONTRAST.pdf
REASON-THEORY-AND-EXERCISES-OF-SENTENCES-AND-PREPOSITIONAL-PHRASES-EXPRESSING-REASON.pdf
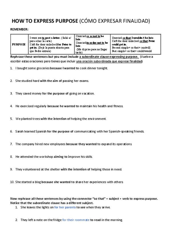
SUMMARY-EXERCISE-EXPRESSING-PURPOSE.pdf
SUMMARY-Key-Answer-Rephrasing-exercise.pdf
SUMMARY-Opinion-essay-with-mistakes.pdf
SUMMARY-OUTLINE-OF-TYPES-OF-SENTENCES.pdf

apuntes

-

Grammar · Reported Speech

He publicado nuevos apuntes de 2º Inglés II: Grammar · Reported Speech

ANSWERS-TO-THE-EXERCISE-OF-SELECTIVIDAD-TURN-INTO-DIRECT-SPEECH.pdf
ANSWERS-TO-THE-EXERCISE-OF-SELECTIVIDAD-TURN-INTO-REPORTED-SPEECH.pdf
EXERCISE-REPORTED-SPEECH-QUESTIONS.pdf
EXERCISE-I-REPORTED-SPEECH-MIXED-SENTENCES--STATEMENTS-QUESTIONS-AND-FUNCTIONS.pdf
EXERCISE-I-REPORTED-SPEECH-II-MIXED-SENTENCES--STATEMENTS-QUESTIONS-AND-FUNCTIONS.pdf
EXERCISE-OF-SELECTIVIDAD-TURN-INTO-DIRECT-SPEECH.pdf

apuntes

-

Grammar · Relative Clauses

He publicado nuevos apuntes de 2º Inglés II: Grammar · Relative Clauses

EXERCISE-III-DEFINING-OR-NON-DEFINING-RELATIVE-CLAUSES.pdf
SELECTIVIDAD-EXERCISE-IV-DEFINING-OR-NON-DEFINING-RELATIVE-CLAUSES.pdf
EXERCISE-I-I-DEFINING-OR-NON-DEFINING-RELATIVE-CLAUSES.pdf
EXERCISE-I-DEFINING-OR-NON-DEFINING-RELATIVE-CLAUSES.pdf
EXERCISE-NON-DEFINING-RELATIVE-CLAUSES.pdf
THEORY-NON-DEFINING-RELATIVE-CLAUSES.pdf