INGLÉS INSTRUMENTAL VIII (NIVEL C1)

chevron_left
chevron_right
Todo
Apuntes
Exámenes
chevron_left
chevron_right

He publicado nuevos apuntes de 4º INGLÉS INSTRUMENTAL VIII (NIVEL C1)

Apuntes de Inglés B1

He publicado nuevos apuntes de 4º INGLÉS INSTRUMENTAL VIII (NIVEL C1)

Miniatura no disponible
https://wuolah.com/apuntes/ingles-c1/explorar/creadores/InvisibleBoy?f_course=1&communityId=108312&f_community=108312

Gramática Avanzada

Miniatura no disponible
https://wuolah.com/apuntes/ingles-i/link-10104861?utm_source=wuolah&utm_medium=referral&utm_campaign=file-sharefile&referral=RbR942

He publicado nuevos apuntes de 4º INGLÉS INSTRUMENTAL VIII (NIVEL C1): APUNTES-INGLES-INSTRUMENTAL-VII.pdf

14 páginas

He publicado nuevos apuntes de 4º INGLÉS INSTRUMENTAL VIII (NIVEL C1): Trabajo-final.pdf

56 páginas

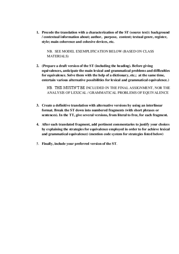
He publicado nuevos examenes de 4º INGLÉS INSTRUMENTAL VIII (NIVEL C1): Translation.pdf

7 páginas

He publicado nuevos apuntes de 4º INGLÉS INSTRUMENTAL VIII (NIVEL C1): FINAL EXAM 2022.pdf

1 página

He publicado nuevos apuntes de 4º INGLÉS INSTRUMENTAL VIII (NIVEL C1): Collocations.pdf

20 páginas

He publicado nuevos apuntes de 4º INGLÉS INSTRUMENTAL VIII (NIVEL C1): Vocabulario-Completo.pdf

32 páginas

He publicado nuevos apuntes de 4º INGLÉS INSTRUMENTAL VIII (NIVEL C1): GRAMATICA-INGLESA.pdf

18 páginas
¡Estás al día!

¡Estás al día!

Has visto todos los archivos