Inglés

chevron_left
chevron_right
Todo
Apuntes
Ejercicios
Exámenes
Otros
Prácticas
Trabajos
chevron_left
chevron_right

Ejercicio conversación dándole la bienvenida a una nueva empleada en inglés.

1 página

He publicado nuevos examenes de Inglés: Examen-de-Verbos-Irregulares.pdf

2 páginas

Verbos Irregulares con su significado al lado en español

2 páginas

Solucionario de ejercicios de verbos irregulares de ingles parte 1

2 páginas

Ejercicios para practicar verbos irregulares de ingles parte 1

2 páginas

video perfecto para mejorar pronunciación y repaso de verbos

https://www.youtube.com/watch?v=dZMxk0DoZWQ

He publicado nuevos apuntes de Inglés: verbos-irregulares.pdf

1 página

Apuntes basicos de ingles de nivel administrativo.

3 páginas

He publicado nuevos apuntes de Inglés: VOCABULARY-CV-INGLES..pdf

4 páginas

He publicado nuevos apuntes de Inglés: VOCABULARY-AND-GRAMMAR-INGLES..pdf

5 páginas

He publicado nuevos apuntes de Inglés: Present--vocabulario-colores.pdf

3 páginas

He publicado nuevos apuntes de Inglés: Vocabulario-administrativo-basico.pdf

3 páginas

He publicado nuevos apuntes de Inglés: Present-simple-present-continuous.pdf

2 páginas

apuntes

-

APUNTES DE CADA TEMA

He publicado nuevos apuntes de Inglés: APUNTES DE CADA TEMA

Unit-1-WHOS-WHO-IN-THE-OFFICE.pdf
Unit-5-Photocopying.pdf
Unit-6-Handling-Incoming-Mail.pdf

He publicado nuevos apuntes de Inglés: VOCABULARIO-INGLES-ACTUALIZABLE.pdf.pdf

5 páginas

He publicado nuevos apuntes de Inglés: TEMA-3456-INGLES.pdf

4 páginas

He publicado nuevos apuntes de Inglés: UNIT-8-PLANNING-MEETING.pdf

2 páginas

He publicado nuevos apuntes de Inglés: UNIT-7-SCHEDULING-A-MEETING.pdf

2 páginas

He publicado nuevos apuntes de Inglés: UNIT-20-PREPARE-A-CV.pdf

2 páginas

He publicado nuevos apuntes de Inglés: VOCABULARY-INGLES.pdf

2 páginas

He publicado nuevos apuntes de Inglés: PresenteSimpleInglesSinTabla.pdf

1 página
Anónimo

@Anónimo

He publicado nuevos apuntes de Inglés: workbook-answer-key-burlintong-books-1o-gestion-administrativa.pdf

18 páginas

He publicado nuevos ejercicios de Inglés: Past-Simple-activities.pdf

3 páginas

He publicado nuevos ejercicios de Inglés: present-simplegrammar-activities.pdf

3 páginas

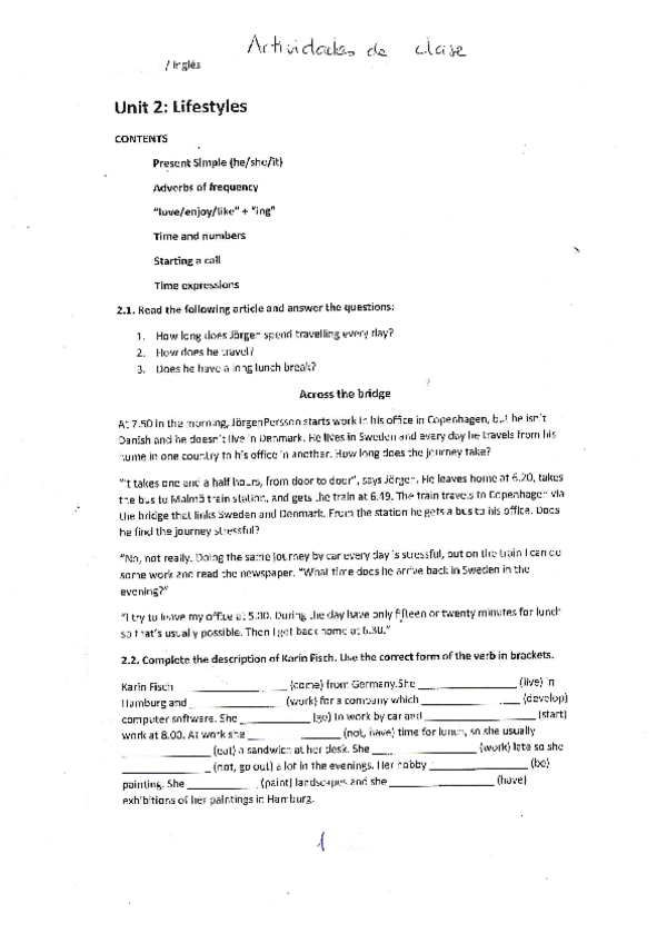
He publicado nuevos ejercicios de Inglés: Unit-2-Lifestyles.pdf

7 páginas

He publicado nuevos ejercicios de Inglés: Unidad-1-Getting-to-Know-People.pdf

4 páginas

He publicado nuevos apuntes de Inglés: the-time.pdf

2 páginas

Contents: Present Continuous; Present trends; word partners; making and changing arrangements.

5 páginas

He publicado nuevos ejercicios de Inglés: Present-SimpleContinuo.pdf

1 página

He publicado nuevos ejercicios de Inglés: Present-Continuous.pdf

2 páginas

He publicado nuevos apuntes de Inglés: El-Plural.pdf

2 páginas

He publicado nuevos ejercicios de Inglés: unit-4-administrativo-workplaces.pdf

5 páginas

Para realizar las actividades mirar la teoria sobre los plurales en ingles en mi perfil

5 páginas

He publicado nuevos apuntes de Inglés: PAST-SIMPLE-OF-TO-BEexplicacion.pdf

1 página

He publicado nuevos ejercicios de Inglés: Unit-5-Administrativo-The-road-to-success.pdf

4 páginas

He publicado nuevos apuntes de Inglés: PAST-SIMPLEexplicacion.pdf

1 página

He publicado nuevos ejercicios de Inglés: Unit-6-Administrativo-Developing-a-Company.pdf

4 páginas

He publicado nuevos ejercicios de Inglés: Unit-6-grammar-activities.pdf

4 páginas

He publicado nuevos apuntes de Inglés: Present-Perfect.pdf

1 página

He publicado nuevos apuntes de Inglés: Yet-already-etc.pdf

2 páginas

He publicado nuevos ejercicios de Inglés: REVIEW-5-UNIT-15-16.pdf

2 páginas

He publicado nuevos ejercicios de Inglés: REVIEW-6-UNIT-15-16.pdf

1 página

He publicado nuevos ejercicios de Inglés: REVIEW-4-UNIT-15-16.pdf

2 páginas

He publicado nuevos ejercicios de Inglés: REVIEW-3-UNIT-15-16.pdf

1 página

He publicado nuevos ejercicios de Inglés: REVIEW-2-UNIT-15-16.pdf

2 páginas

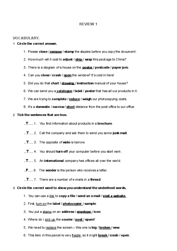
He publicado nuevos ejercicios de Inglés: REVIEW-1-UNIT-15-16.pdf

2 páginas

He publicado nuevos ejercicios de Inglés: REVIEW-4-UNIT-13-14.pdf

2 páginas

He publicado nuevos ejercicios de Inglés: REVIEW-3-UNIT-13-14.pdf

2 páginas

He publicado nuevos ejercicios de Inglés: REVIEW-2-UNIT-13-14.pdf

2 páginas

He publicado nuevos ejercicios de Inglés: REVIEW-1-UNIT-13-14.pdf

2 páginas

He publicado nuevos ejercicios de Inglés: REVIEW-4-UNIT-11-12.pdf

3 páginas

He publicado nuevos ejercicios de Inglés: REVIEW-3-UNIT-11-12.pdf

2 páginas

He publicado nuevos ejercicios de Inglés: REVIEW-2-UNIT-11-12.pdf

3 páginas

He publicado nuevos ejercicios de Inglés: REVIEW-1-UNIT-11-12.pdf

2 páginas

He publicado nuevos ejercicios de Inglés: REVIEW-6-UNIT-9-10.pdf

1 página

He publicado nuevos ejercicios de Inglés: REVIEW-5-UNIT-9-10.pdf

3 páginas

He publicado nuevos ejercicios de Inglés: REVIEW-3-UNIT-9-10.pdf

1 página

He publicado nuevos ejercicios de Inglés: REVIEW-4-UNIT-9-10.pdf

2 páginas

He publicado nuevos ejercicios de Inglés: REVIEW-2-UNIT-9-10.pdf

3 páginas

He publicado nuevos ejercicios de Inglés: REVIEW-1-UNIT-9-10.pdf

2 páginas